Role of the Convective Factor in the Corrosion of Low-Carbon Steel in Solutions of Sulfuric Acid Containing Iron(III) Sulfate
- Authors: Avdeev Y.G.1, Panova A.V.1, Andreeva T.E.1
-
Affiliations:
- Frumkin Institute of Physical Chemistry and Electrochemistry, Russian Academy of Sciences
- Issue: Vol 97, No 5 (2023)
- Pages: 730-746
- Section: ELECTROCHEMISTRY. GENERATION AND STORAGE OF ENERGY FROM RENEWABLE SOURCES
- Submitted: 15.10.2023
- Published: 01.05.2023
- URL: https://journals.rcsi.science/0044-4537/article/view/136602
- DOI: https://doi.org/10.31857/S0044453723050059
- EDN: https://elibrary.ru/MQHVBZ
- ID: 136602
Cite item
Full Text
Abstract
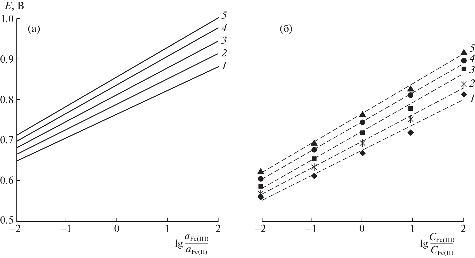
The authors study the corrosion of low-carbon steel in solutions of H2SO4 containing Fe2(SO4)3 with and without additives of individual and mixed corrosion inhibitors. It is established that the oxidizing capacity of the given system (in which the reactions between iron, an acid solution, and Fe(III) salts are thermodynamically allowed), characterized by the redox potential of an Fe(III)/Fe(II) pair, is largely determined by its anionic composition: sulfate anions of a corrosive medium bind Fe(III) cations into complex compounds, reducing their oxidizing ability. Partial reactions of the anodic ionization of iron and the cathodic reduction of H+ and Fe(III) cations are revealed in analyzing the effect convection of the medium has on the electrode reactions of low-carbon steel. The first two reactions are characterized by kinetic control; the third, by diffusion. It is shown that the accelerating effect Fe2(SO4)3 has on the corrosion of steel in a solution with H2SO4 is mainly due to the reduction of Fe(III). In contrast, the accelerating action of Fe(III) cations affects all partial reactions of steel in an inhibited acid. There is a large drop in the apparent coefficient of diffusion of Fe(III) cations (DFe(III)) in inhibited solutions, relative to an uninhibited medium. Data on the corrosion of low-carbon steel in the given media, obtained from the mass loss of metal samples, are in full agreement with results from studying partial electrode reactions. Consideration is given to the accelerating effect Fe2(SO4)3 has on the corrosion of steel in solutions of H2SO4 with and without inhibitors. In these environments, the corrosion of steel is determined by the convective factor, which is typical of processes with diffusion control. The empirical dependence of the rate of steel corrosion on the intensity of the medium’s flow is described by linear dependence k = kst + λw1/2, where kst is the rate of the corrosion of steel in a static environment, w is the rotational speed of the propeller agitator creating the flow of the medium, and λ is an empirical coefficient.
About the authors
Ya. G. Avdeev
Frumkin Institute of Physical Chemistry and Electrochemistry, Russian Academy of Sciences
Email: avdeevavdeev@mail.ru
119071, Moscow, Russia
A. V, Panova
Frumkin Institute of Physical Chemistry and Electrochemistry, Russian Academy of Sciences
Email: avdeevavdeev@mail.ru
119071, Moscow, Russia
T. E. Andreeva
Frumkin Institute of Physical Chemistry and Electrochemistry, Russian Academy of Sciences
Author for correspondence.
Email: avdeevavdeev@mail.ru
119071, Moscow, Russia
References
- Barthel J., Deiss R. // Materials and Corrosion. 2021. V. 72. № 3. P. 434. https://doi.org/10.1002/maco.202011977
- Huang H.-H. // Metals. V. 6. № 1. 23. https://doi.org/10.3390/met6010023
- Perry S.C., Gateman S.M., Stephens L.I. et al. // J. Electrochem. Soc. 2019. V. 166. № 11. P. C3186–C3192.
- Pourbaix M. Atlas of Electrochemical Equilibria in Aqueous Solutions. Second English Edition. Houston: National Association of Corrosion Engineers, 1974. P. 307–321.
- Wermink W.N., Versteeg G.F. // Ind. Eng. Chem. Res. 2017. V. 56. № 14. P. 3775. https://doi.org/10.1021/acs.iecr.6b04606
- Wermink W.N., Versteeg G.F. //Ibid. 2017. V. 56. № 14. P. 3789. https://doi.org/10.1021/acs.iecr.6b04641
- Захаров В.А., Сонгина О.А., Бектурова Г.Б. // Журн. аналит. хим. 1976. Т. 31. № 11. С. 2212.
- Avdeev Ya.G., Andreeva T.E., Panova A.V., Kuznetsov Yu.I. // Int. J. Corros. Scale Inhib. 2019. V. 8. № 1. P. 139. https://doi.org/10.17675/2305-6894-2019-8-1-12
- Кеше Г. Коррозия металлов. Физико-химические принципы и актуальные проблемы / Пер. с нем. под. ред. акад. Я.М. Колотыркина. М.: Металлургия, 1984. С. 76–95, 104–117, 121–132.
- Антропов Л.И. Теоретическая электрохимия. М.: Высшая школа, 1965. С. 348–380.
- Bockris J.O'M., Drazic D., Despic A.R. // Electrochim. Acta. 1961. V. 4. № 2–4. P. 325. https://doi.org/10.1016/0013-4686(61)80026-1
- Florianovich G.M., Sokolova L.A., Kolotyrkin Ya.M. // Ibid. 1967. V. 12. № 7. P. 879. https://doi.org/10.1016/0013-4686(67)80124-5
- Авдеев Я.Г., Андреева Т.Э. // Журн. физ. химии. 2021. Т. 95. № 6. С. 885. https://doi.org/10.31857/S0044453721060029
- Авдеев Я.Г., Андреева Т.Э. // Там же. 2022. Т. 96. № 2. С. 281. https://doi.org/10.31857/S0044453722020030
- Techniques of Electrochemistry: Electrode Processes. V. 1 / Ed. by E. Yeager and A.J. Salkind. New York: Published by John Wiley & Sons Inc, 1972. 592 p.
- Лурье Ю.Ю. Справочник по аналитической химии. М.: Химия, 1971. С. 255–265.
- Casas J.M., Crisóstomo G., Cifuentes L. // Hydrometallurgy. 2005. V. 80. № 4. P. 254. https://doi.org/10.1016/j.hydromet.2005.07.012
- Yue G., Zhao L., Olvera O.G., Asselin E. // Ibid. 2014. V. 147–148. P. 196. https://doi.org/10.1016/j.hydromet.2014.05.008
- Whiteker R.A., Davidson N. // J. Am. Chem. Soc. 1953. V. 75. № 13. P. 3081. https://doi.org/10.1021/ja01109a010
- Sobron P., Rull F., Sobron F. et al. // Spectrochim. Acta. A. Mol. Biomol. Spectrosc. 2007. V. 68. № 4. P. 1138. https://doi.org/10.1016/j.saa.2007.06.044
- Majzlan J., Myneni S.C.B. // Environ. Sci. Technol. 2005. V. 39. P. 188. https://doi.org/10.1021/es049664p
- Плэмбек Дж. Электрохимические методы анализа. Пер. с англ. М.: Мир, 1985. 496 с.
- Решетников С.М. Ингибиторы кислотной коррозии металлов. Л.: Химия, 1986. 144 с.
- Плесков Ю.В., Филиновский В.Ю. Вращающийся дисковый электрод. М.: Наука, 1972. 344 с.
- Du C., Tan Q., Yin G., Zhang J. / In Rotating Electrode Methods and Oxygen Reduction Electrocatalysts. Ed. by W. Xing, G. Yin, J. Zhang, Elsevier B.V. All Rights Reserved. 2014. P. 171. https://doi.org/10.1016/B978-0-444-63278-4.00005-7
- Jia Z., Yin G., Zhang J. / Ibid. 2014. P. 199. https://doi.org/10.1016/B978-0-444-63278-4.00006-9
- Краткий справочник физико-химических величин / Под ред. К.П. Мищенко и А.А. Равделя. Л.: Химия, 1967. С. 103.
- Umoren S.A., Solomon M.M. // J. Ind. and Engin. Chem. 2015. V. 21. P. 81. https://doi.org/10.1016/j.jiec.2014.09.033
- Антропов Л.И., Погребова И.С. Связь между адсорбцией органических соединений и их влиянием на коррозию металлов в кислых средах / Коррозия и защита от коррозии. Т. 2 (Итоги науки и техники). М.: ВИНИТИ, 1973. С. 27–112.
- Кузнецов Ю.И., Андреев Н.Н., Маршаков А.И. // Журн. физ. химии. 2020. Т. 94. № 3. С. 381. https://doi.org/10.31857/S0044453720030152
Supplementary files









