Природа увеличения скорости горения порошковой смеси Ti + C при разбавлении ее инертной добавкой
- Авторы: Сеплярский Б.С.1, Кочетков Р.А.1, Лисина Т.Г.1, Абзалов Н.И.1
-
Учреждения:
- Институт структурной макрокинетики и проблем материаловедения им. А.Г. Мержанова Российской академии наук
- Выпуск: Том 97, № 3 (2023)
- Страницы: 438-446
- Раздел: ФИЗИЧЕСКАЯ ХИМИЯ ПРОЦЕССОВ ГОРЕНИЯ И ВЗРЫВА
- Статья получена: 15.10.2023
- Статья опубликована: 01.03.2023
- URL: https://journals.rcsi.science/0044-4537/article/view/136593
- DOI: https://doi.org/10.31857/S004445372303024X
- EDN: https://elibrary.ru/EADRVH
- ID: 136593
Цитировать
Полный текст
Аннотация
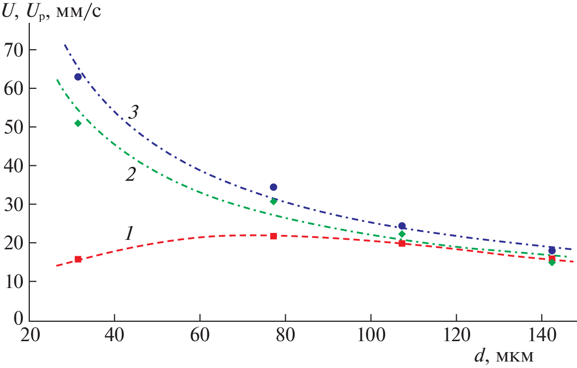
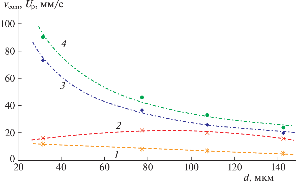
Впервые выполнено сравнительное исследование горения гранулированных и порошковых смесей Ti + C, Ti + C + 20%Ni с гранулами разного размера при варьировании размеров частиц титана от 31 до 142 мкм. Обнаружено, что скорость горения порошковой смеси (Ti + C) + 20%Ni в 2–3 раза выше, чем смеси Ti + C, несмотря на более низкую температуру горения. Результаты объяснены в рамках конвективно-кондуктивной модели горения тормозящим влиянием примесных газов, выделяющихся при прогреве частиц компонентов перед фронтом горения. Используя значения скорости горения гранулированных смесей с гранулами размером от 0.6 до 1.7 мм, рассчитаны значения скорости горения вещества гранул, которую можно рассматривать как скорость горения порошковой смеси, в которой нивелировано влияние примесных газов. Предложена количественная мера влияния примесного газовыделения на процесс горения порошковых смесей: отношение скоростей горения вещества внутри гранул и порошковых смесей.
Ключевые слова
Об авторах
Б. С. Сеплярский
Институт структурной макрокинетики и проблем материаловедения им. А.Г. Мержанова Российской академии наук
Email: seplb1@mail.ru
Россия, Черноголовка
Р. А. Кочетков
Институт структурной макрокинетики и проблем материаловедения им. А.Г. Мержанова Российской академии наук
Email: lisinatg@gmail.com
Россия, Черноголовка
Т. Г. Лисина
Институт структурной макрокинетики и проблем материаловедения им. А.Г. Мержанова Российской академии наук
Email: lisinatg@gmail.com
Россия, Черноголовка
Н. И. Абзалов
Институт структурной макрокинетики и проблем материаловедения им. А.Г. Мержанова Российской академии наук
Автор, ответственный за переписку.
Email: lisinatg@gmail.com
Россия, Черноголовка
Список литературы
- Rogachev A.S., Mukasyan A.S. Combustion for material synthesis. New York, CRC Press, Taylor & Francis Group, 2015.
- Jie-Cai H., Zhang X-H., Wood J.V. // Mater. Sci. Eng. A. 2000. V. 280. P. 328. https://doi.org/10.1016/S0921-5093(99)00606-1
- Huang L., Wang H.Y., Qiu F. et al. // Ibid. 2006. V. 422. P. 309. https://doi.org/10.1016/j.msea.2006.02.019
- Li Y., Bai P., Wang Y. et al. // Mater. Des. 2009. V. 30. P. 1409. https://doi.org/10.1016/j.matdes.2008.06.046
- Liu G., Li J., Chen K. // Int. J. Refr. Met. Hard Mater. 2013. V. 39. P. 90; https://doi.org/10.1016/j.ijrmhm.2012.09.002
- André B., Levin E., Jansson U. et al. // Wear. 2011. V. 270. P. 555; https://doi.org/10.1016/j.wear.2010.12.006
- Kiryukhantsev-Korneev P., Sytchenko A., Sheveyko A. et al. // Coatings. 2019. V. 9. P. 230. https://doi.org/10.3390/coatings9040230
- Sahoo C.K., Masanta M. // J. Mater. Process. Technol. 2017. V. 240. P. 126. https://doi.org/10.1016/j.jmatprotec.2016.09.018
- Merzhanov A.G. // Comb. Sci. Technol. 1994. V. 98. P. 307. https://doi.org/10.1080/00102209408935417
- Вершинников В.И., Филоненко А.К. // ФГВ. 1978. Т. 14. № 5. С. 42–47. https://doi.org/10.1007/BF00789716
- Dunmead S.D., Readey D.W., Semler C.E. // J. Amer. Ceram. Soc. 1989. V. 72. P. 2318.
- Varma A., Rogachev A.S., Mukasyan A.S. et al. // Adv. Chem. Eng. 1998. V. 24. P. 79.https://doi.org/10.1080/00102209408935417
- Rogachev A.S. // Int. J. Self-Propag. High-Temp. Synth. 1997. V. 6. № 2. P. 215.
- Алдушин А.П., Мартемьянова Т.М., Мержанов А.Г. и др. // ФГВ. 1972. Т. 8. № 2. С. 202.
- Азатян Т.С., Мальцев В.М., Мержанов А.Г. и др. // Там же. 1997. Т. 13. № 2. С. 186.
- Kachelmayer C.L., Varma A., Rogachev A.S. et al. // Ind. Eng. Chem. Res. 1988. V. 37. P. 2246.
- Щербаков В.А., Сычев А.Е., Штейнберг А.С. // ФГВ. 1986. Т. 22. № 4. С. 55.
- Merzhanov A.G., Rogachev A.S., Umarov L.M. et al. // Taм жe. 1997. T. 33. № 4. C. 439.
- Мукасьян А.С., Шугаев В.А., Кирьяков Н.И. // Там же. 1993. Т. 29. № 1. С. 9.
- Камынина О.К., Рогачев А.С., Умаров Л.М. // ФГВ. 2003. Т. 39. № 5. С. 69.
- Сеплярский Б.С., Вадченко С.Г. // Докл. АН. 2004. Т. 398. № 1. С. 72.
- Vadchenko S.G. // Int. J. Self-Propag. High-Temp. Synth. 2010. V. 19. P. 206. https://doi.org/10.3103/S1061386210030064
- Сеплярский Б.С. // Докл. АН. 2004. Т. 396. № 5. С. 640.
- Rubtsov N.M., Seplyarskii B.S., Alymov M.I. Ignition and Wave Processes in Combustion of Solids, Springer International Publishing AG, Cham, Switzerland, 2017.
- Seplyarskii B.S., Kochetkov R.A. // Int. J. Self-Propag. High-Temp. Synth. 2017. V. 26. P. 134. https://doi.org/10.3103/S106138621702011X
- Amosov A.P., Makarenko A.G., Samboruk A.R. et al. // Int. J. Self-Propag. High-Temp. Synth. 2010. V. 19. P. 70.
- Сеплярский Б.С., Кочетков Р.А. // Хим. физика. 2017. Т. 36. № 9. С. 23. https://doi.org/10.7868/S0207401X17090126
- Сеплярский Б.С., Кочетков Р.А., Лисина Т.Г. и др. // Неорган.материалы. 2019. Т. 55. № 11. С. 1169.https://doi.org/10.1134/S0002337X19110113
- Vorotilo S., Kiryukhantsev-Korneev Ph.V., Seplyarskii B.S. et al. // Crystals. 2020. V. 10. P. 412.https://doi.org/10.3390/cryst10050412
- Сеплярский Б.С., Кочетков Р.А., Лисина Т.Г. и др. // Журн. физ. химии. 2022. Т. 96. № 5. С. 660.https://doi.org/10.31857/S0044453722050272
- Сеплярский Б.С., Кочетков Р.А., Лисина Т.Г. и др. // ФГВ. 2021. Т. 57. № 1. С. 65. https://doi.org/10.15372/FGV20210107
- Зенин А.А., Мержанов А.Г., Нерсисян Г.А. // Там же. 1981. Т. 17. № 1. С. 79.
- Slezak T., Zmywaczyk J., Koniorczyk P. // AIP Conference Proceedings 2170, 020019 (2019). https://doi.org/10.1063/1.5132738
- Корольченко И.А., Казаков А.В., Кухтин А.С. и др. // Пожаровзрывобезопасность веществ и материалов. 2004. Т. 13. № 4. С. 36.
Дополнительные файлы








