Неравновесные оболочки вокруг выделений при распаде трехкомпонентного сплава
- Авторы: Разумов И.К.1
-
Учреждения:
- Институт физики металлов им. М.Н. Михеева УрО РАН
- Выпуск: Том 97, № 3 (2023)
- Страницы: 426-433
- Раздел: ФИЗИЧЕСКАЯ ХИМИЯ ДИСПЕРСНЫХ СИСТЕМ И ПОВЕРХНОСТНЫХ ЯВЛЕНИЙ
- Статья получена: 15.10.2023
- Статья опубликована: 01.03.2023
- URL: https://journals.rcsi.science/0044-4537/article/view/136590
- DOI: https://doi.org/10.31857/S0044453723030238
- EDN: https://elibrary.ru/DYETOA
- ID: 136590
Цитировать
Полный текст
Аннотация
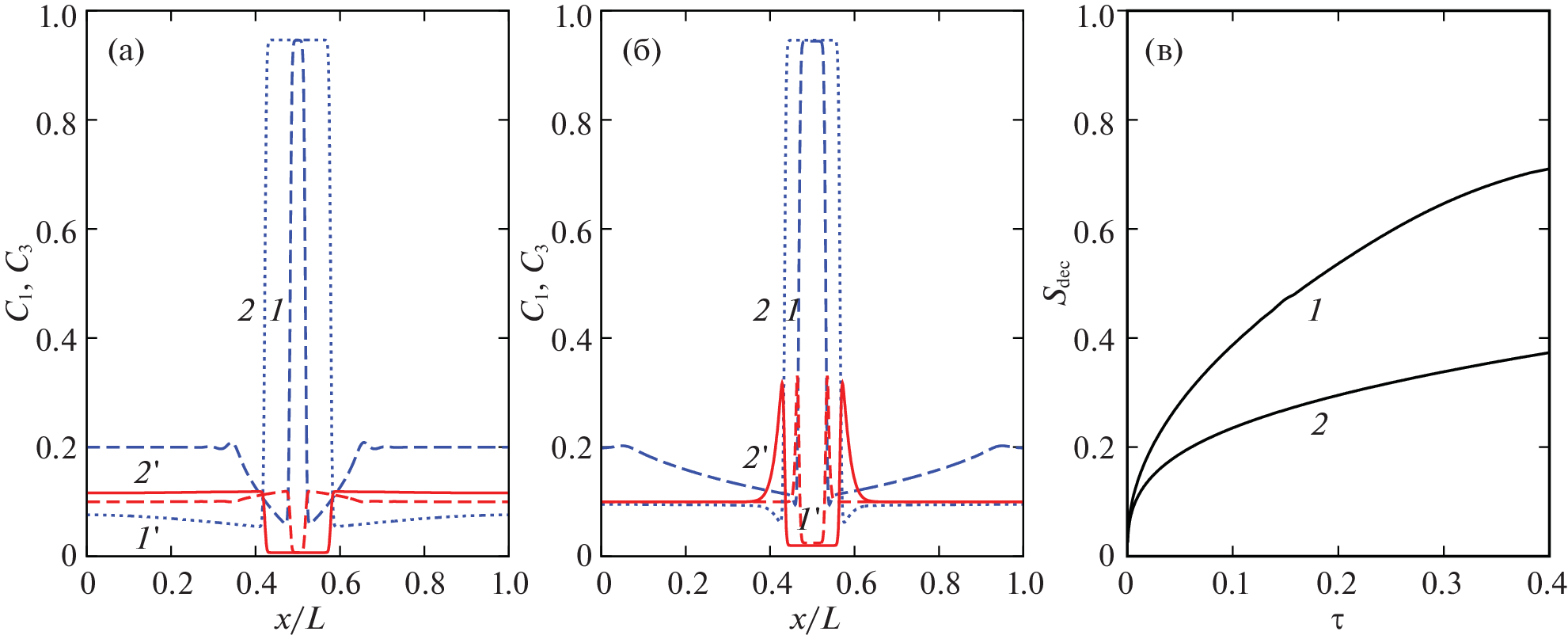
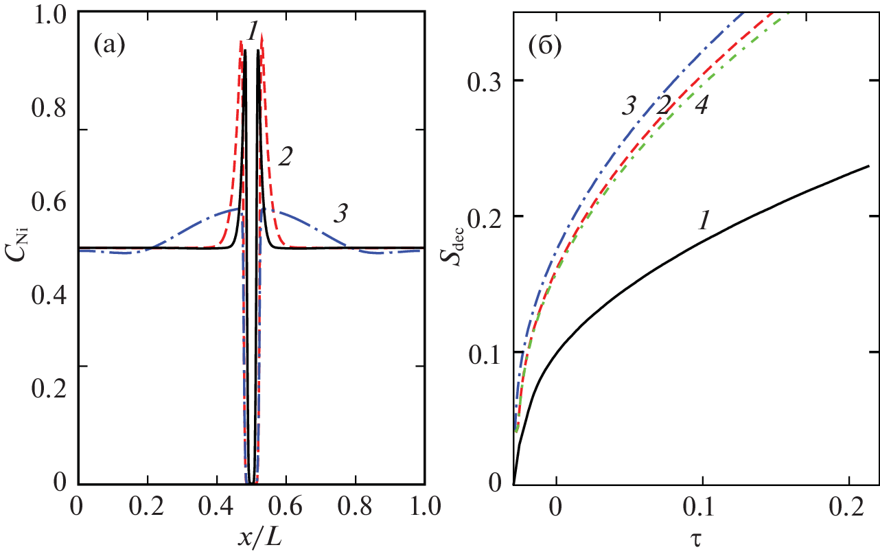
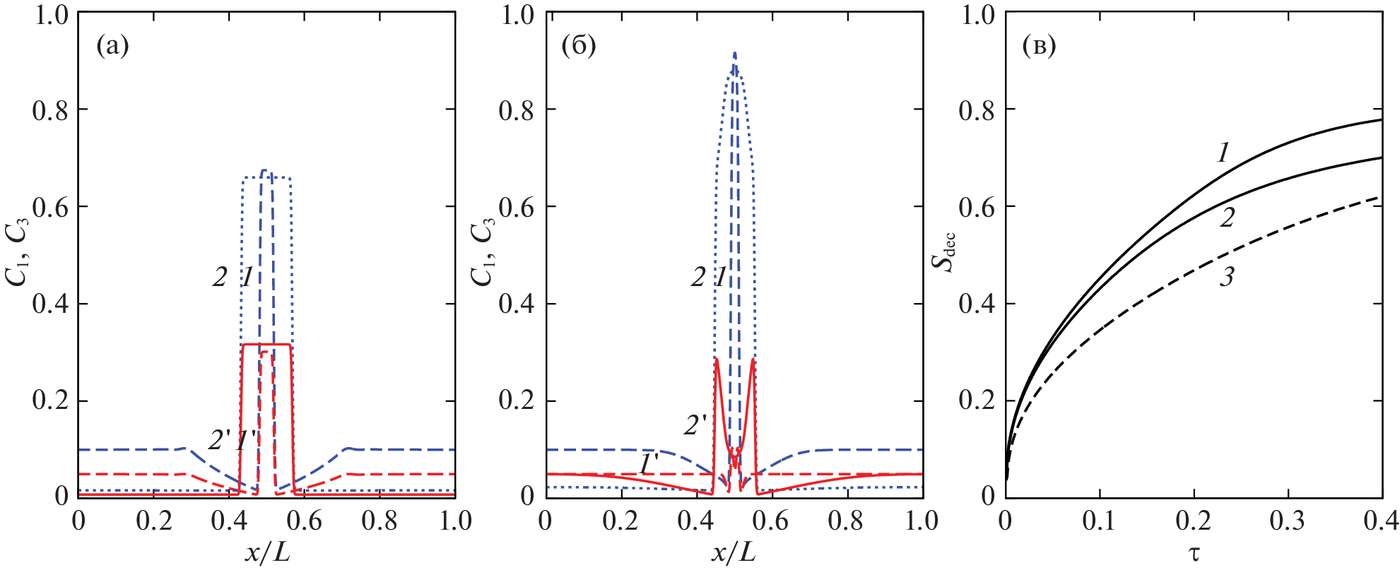
В рамках кинетической теории диффузии по вакансиям (“метод дырочного газа”) получены выражения для потоков атомов в трехкомпонентном сплаве, позволяющие из микроскопических соображений выразить кинетические коэффициенты через коэффициенты диффузии меченых атомов. При исследовании кинетики распада с привлечением этих выражений выявлены условия формирования неравновесных примесных оболочек, которые могут существенно затормаживать рост выделений и изменять свойства сплава.
Об авторах
И. К. Разумов
Институт физики металлов им. М.Н. Михеева УрО РАН
Автор, ответственный за переписку.
Email: rik@imp.uran.ru
Россия, 620990, Екатеринбург
Список литературы
- Gayle F.W., Goodway M. // Sci. 1994. V. 266. P. 1015.
- Suna F., Zhang J.Y., Vermaut P. et al. // Mater. Res. Lett. 2017. V. 5. P. 547.
- Jiang S., Wang H., Wu Y. et al. // Nature. 2017. V. 544 (7651). P. 460.
- Leslie W.C. and Hornbogen E. in Physical Metallurgy / Ed. by R. W. Cahn and P. Haasen. North-Holland, Amsterdam, 1996.
- Vaynman S., Guico R.S., Fine M.E., Manganello S.J. // Metall. Trans. 1997. V. 28A. P. 1274.
- Perez M., Perrard F., Massardier V. et al. // Philos. Mag. 2005. V. 85. P. 2197.
- Mangonon P.L. // Metall. Trans. A. 1976. V. 7A. P. 1389.
- Jiao Z.B., Luan J.H., Miller M.K. et al. // Materials Today. 2017. V. 20. № 3. P. 142.
- Mulholland M.D., Seidman D.N. // Acta Mater. 2011. V. 59. P. 1881.
- Michaud P., Delagnes D., Lamesle P. et al. // Acta Mater. 2007. V. 55. P. 4877.
- Ha D.J., Sung H.K., Park J.W., Lee S. // Metall. Mater. Trans. A. 2009. V. 40A. P. 2568.
- Schemmann L., Zaefferer S., Raabe D. et al. // Acta Mater. 2015. V. 95. P. 386.
- Кристиан Дж. Теория превращений в металлах и сплавах. М.: Мир, 1978. 806 с.
- Becker R. // Proc. Phys. Soc. 1940. V. 52. P. 71–76.
- Cahn J.W. and Hilliard J.E. // J. Chem. Phys. 1958. V. 28. P. 258.
- Cahn J.W. // Acta Metall. 1961. V. 9. P. 795.
- Lifshits I.M., Slyozov V.V. // J. Phys. Chem. Solids. 1961. V. 19. P. 35.
- Chen L.Q. // Acta Metallurgica et Materialia. 1994. V. 42. № 10. P. 3503.
- Clouet E., Lae L., Epicier T. et al. // Nature Materials. 2006. V. 5. P. 482–489.
- Ghosh S., Mukherjeez A., Abinandanan T.A. and Bose S. // Physical Chemistry Chemical Physics. 2017. V. 19. 15424 (10 pp).
- Bhaskar M.S., Abinandanan T.A. // Comp. Materials Science. 2018. V. 146. P. 73.
- Разумов И.К., Горностырев Ю.Н. // ФТТ. 2019. V. 61. P. 2462.
- Гегузин Я.Е. Диффузионная зона. М.: Наука, 1979. 344 с.
- Разумов И.К. // ФТТ. 2022. V. 64. P. 19.
- Smigelskas A.D., Kirkendall E.O. // Trans. Am. Inst. Min. (Metall.) Engrs. 1947. V. 171. P. 130.
- Гапонцев В.Л., Разумов И.К., Горностырев Ю.Н. и др. // ФММ 2005. Т. 99. № 4. С. 26.
- Разумов И.К., Горностырев Ю.Н. Влияние границ зерен на кинетику распада твердых растворов / В сб. научн. тр. IV школы-семинара “Фазовые и структурные превращения в сталях”, Магнитогорск, 2006. С. 99.
- Razumov I.K., Gornostyrev Yu.N., Yermakov A.Ye. // J. Alloys and Compounds. 2007. V. 434–435. P. 535.
- Процессы взаимной диффузии в сплавах / Под ред. К.П. Гурова. М.: Наука, 1973. 359 с.
- Терехов С.В. // ЖТФ. 2007. Т. 77. № 8. С. 36.
- Razumov I.K. // J. Engineering Physics and Thermophysics. 2008. V. 81. № 4. P. 826.
- Iguchi Y., Katona G., Cserhati C. et al. // Acta Materialia. 2018. V. 148. P. 49.
- Xing Jun Liu, Feng Gao, Cui Ping Wang, and Kiyohito Ishida // J. Electronic Matertials. 2008. V. 37. № 2. P. 210.
- Landolt-Börnstein: Numerical Data and Functional Relationships in Science and Technology, New Series, Group III: Crystal and Solid State Physics. V. 26. Diffusion in Metals and Alloys / Ed. by H. Mehrer. – Springer-Verlag, Berlin, 1990. 747 pp.






