Physicochemical Properties of Lignocellulosic Materials from Ozonized Wood
- Authors: Mamleeva N.A.1, Kharlanov A.N.1, Kuznetsova M.V.2, Kosyakov D.S.2
- 
							Affiliations: 
							- Faculty of Chemistry, Moscow State University
- Northern (Arctic) Federal University
 
- Issue: Vol 97, No 4 (2023)
- Pages: 580-591
- Section: БИОФИЗИЧЕСКАЯ ХИМИЯ И ФИЗИКО-ХИМИЧЕСКАЯ БИОЛОГИЯ
- Submitted: 15.10.2023
- Published: 01.04.2023
- URL: https://journals.rcsi.science/0044-4537/article/view/136586
- DOI: https://doi.org/10.31857/S0044453723040222
- EDN: https://elibrary.ru/TGEQDM
- ID: 136586
Cite item
Full Text
Abstract
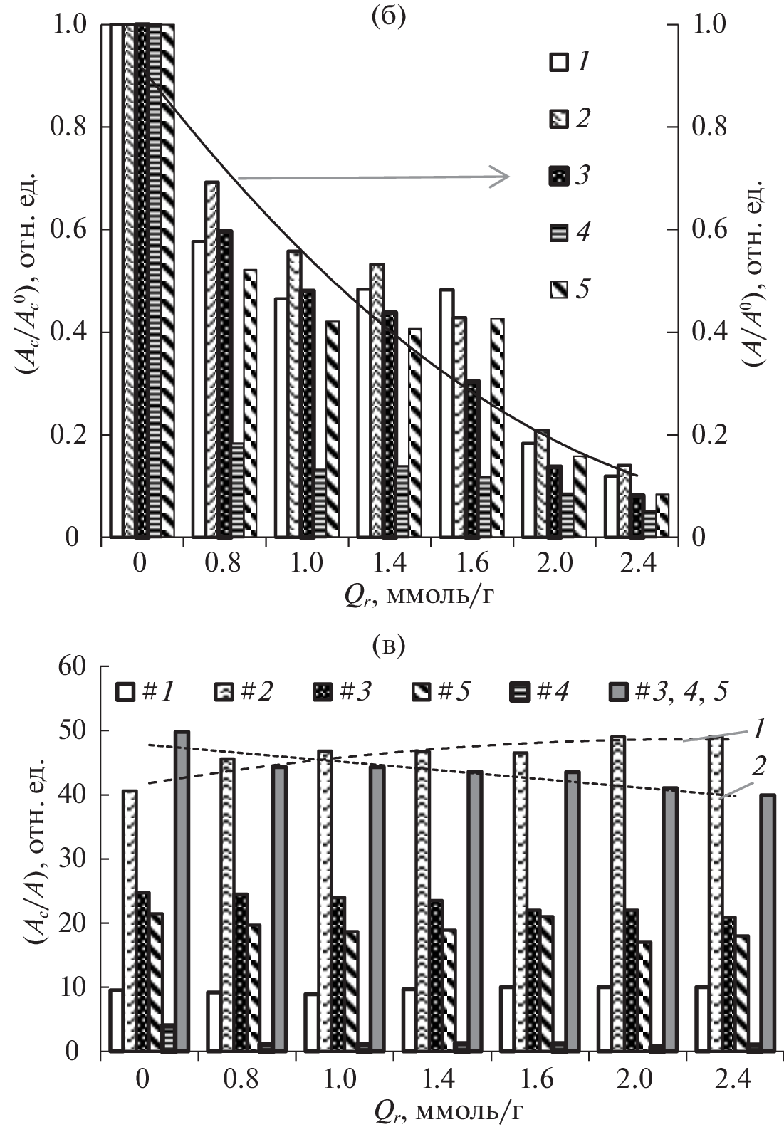
Lignocellulosic materials (LCMs) obtained after an ozone treatment of pine wood are studied via diffuse reflectance ultraviolet (DRUV) spectroscopy, Raman spectroscopy, and fluorescence spectroscopy. The Raman spectra show that ozonation degrades lignin and hemicelluloses and lowers the content of amorphous cellulose. The Raman spectra of ozonized LCMs are deconvoluted to individual components for the first time. Based on results from analyzing the Raman and DRUV spectra, it is concluded that the aromatic structures of biomass with conjugated –С=С– and >С=О bonds simply degrade, while delignification with ozone is accompanied by a multiple increase in the fluorescence of the LCMs. It is shown that the luminescence spectral characteristics of LCMs are governed by the absorption of ozone, allowing us to identify the ranges of ozone consumption corresponding to the dominant degradation of lignin and polysaccharides in the biomaterial.
Keywords
About the authors
N. A. Mamleeva
Faculty of Chemistry, Moscow State University
														Email: mamleevana@bk.ru
				                					                																			                												                								119992, Moscow, Russia						
A. N. Kharlanov
Faculty of Chemistry, Moscow State University
														Email: mamleevana@bk.ru
				                					                																			                												                								119992, Moscow, Russia						
M. V. Kuznetsova
Northern (Arctic) Federal University
														Email: mamleevana@bk.ru
				                					                																			                												                								163002, Arkhangelsk, Russia						
D. S. Kosyakov
Northern (Arctic) Federal University
							Author for correspondence.
							Email: mamleevana@bk.ru
				                					                																			                												                								163002, Arkhangelsk, Russia						
References
- Самойлович В.Г., Ткаченко С.Н., Ткаченко И.С., Лунин В.В. / Теория и практика получения и применения озона. Ред. В.В. Лунин. М.: Изд-во Моск. ун-та, 2016. 432 с.
- Мамлеева Н.А., Бенько Е.М., Лунин В.В. / Методы обезвреживания сточных вод, газовых выбросов и отходов производства и потребления. Ред. В.В. Лунин. М.: Изд-во Моск. ун-та, 2019. 359 с.
- Perrone O.M., Colombari F., Rossi J. et al. // Bioresour. Technol. 2016. V. 218. P. 69.
- García-Cubero M.T., Palacín L.G., González-Benito G. et al. // Ibid. 2012. V. 107. P. 229.
- Li C., Wang L., Chen Z., Li Y. et al. // Ibid. 2015. V. 183. P. 240.
- Benko E.V., Chukhchin D.G., Lunin V.V. // Holzforschung, 2020. V. 74. № 12. P. 1157.
- Мамлеева Н.А., Харланов А.Н., Чухчин Д.Г. и др. // Химия растительного сырья. 2019. № 1. С. 85.
- Мамлеева Н.А., Харланов А.Н., Купреенко С.Ю., Чухчин Д.Г. // Журн. физ. химии, 2021. Т. 95. № 11. С. 1658.
- Мамлеева Н.А., Бенько Е.М., Шумянцев А.В. и др. // Там же. 2021. Т. 95. № 3. С. 577.
- Мамлеева Н.А., Харланов А.Н., Лунин В.В. // Там же. 2019. Т. 93. № 12. С. 1901
- Мамлеева Н.А., Харланов А.Н., Кузнецова М.В., Косяков Д.С. https://istina.msu.ru/workers/418035/// Там же. 2022. Т. 96. № 9. С. 2043.
- Billa E., Koutsoula E., Koukios E.G. //Biores. Technol. 67 (1999). C. 25.
- Заказов А.Н., Чупка Э.И. // Химия древесины. 1983. № 2. С. 52.
- Papadopoulos A.N., Hill C.A.S., Gkaraveli A. // Holz als Roh- und Werlag. 2003. V. 61. P. 453.
- Азаров В.И. / Химия древесины и синтетических полимеров. СПб., 1999. 629 с.
- Оболенская А.В., Ельницкая З.П., Леонович А.А. / Лабораторные работы по химии древесины и целлюлозы. М.: Экология, 1991. 320 с.
- Agarwal U.P. // Frontiers in Plant Science. 2014. V. 5. Article 490. https://doi.org/10.3389/fpls.2014.00490
- Zhe Ji, Jianfeng Ma, and Feng Xu // Microsc. Microanal. 2014. V. 20. P. 566.
- Kihara M., Takayama M., Wariishi H., Tanaka H. // Spectrochim. Acta. Part A. 2002. V. 58. P. 2211.
- Lupoi J.S., Singh S., Parthasarathi R. et al. // Renewable and Sustainable Energy Reviews. 2015. V. 49. P. 871.
- Ciolacu D., Ciolacu F., Popa V. // Cellulose Chem. Technol. 2011. V. 45. № 1–2. P. 13.
- Molina-Guerrero C.E., de la Rosa G., Castillo-Michel H. et al. // Chem. Eng. Technol. 2018. V. 41. Is. 7. P. 1350.
- Физическая химия лигнина / Под ред. К.Г. Боголицына, В.В. Лунина. Архангельск: Арханг. гос. технич. ун-т, 2009. 489 с.
- Sadeghifar H., Ragauskas A. // Polymers.2020. V. 12. P. 1134. https://doi.org/10.3390/polym12051134
- Paulsson M., Parkås J. // BioResources. 2012. V. 7 (4). P. 5995.
- Косяков Д.С., Горбова Н.С., Боголицын К.Г., Гусаков Л.В. // Журн. физ. химии. 2007. Т. 81. № 7. С. 1227.
- Чупка Э.И., Бурлаков В.М. // Химия древесины. 1984. № 2. С. 31.
- Albinsson B., Li S., Lundquist K., Stomberg R. // J. Mol. Struct. 1999. V. 508. P. 19.
- Donaldson L. / International Association of Wood Anatomists (IAWA), 2013. Published by Koninklijke Brill NV, Leiden https://doi.org/10.1163/2294193200000002
- Panfilova M.V., Kosyakov D.S., Bogoltsin K.G. / Europe Workshop on Lignocelulosics and Pulp. EWLP. P. 627, 2014. June 24–27. 2014. Seville. Spain.
- Кузнецова М.В., Косяков Д.С., Горбова Н.С., Боголицын К.Г. // Журн. физ. химии. 2020. Т. 94. № 8. С. 1185.
- Разумовский С.Д., Заиков Г.Е. / Озон и его реакции с органическими соединениями. М.: Наука, 1974. С. 219.
- Olkkonen C., Tylli Y., Forsskåhl I. et al. // Holzforschung. 2000. V. 54. P. 397.
- Kaneko H., Hosoya S., Iiyama K., Nakano J. // J. Wood Chem. Technol. 1983. V. 3. P. 399.
- Holladay J.E., Bozell J.J., White J.F., Johnson D / Top Value-Added Chemicals from Biomass. V. II. 2007. USA. http://www.ntis.gov/ordering.htm
Supplementary files
 
				
			 
					 
						 
						 
						 
						 
				
 
  
  
  Email this article
			Email this article 




























