Inhibition of the Formation of Pyrophoric Corrosion Deposits
- Authors: Reformatskaya I.I.1, Begishev I.R.1, Ascheulova I.I.1, Podobayev A.N.2, Petrilin D.A.1, Baburin A.V.1
-
Affiliations:
- Academy of the State Fire Service of the Ministry of Emergency Situations of Russia
- Moscow Polytechnic University
- Issue: Vol 97, No 4 (2023)
- Pages: 570-574
- Section: ФИЗИЧЕСКАЯ ХИМИЯ ПРОЦЕССОВ ГОРЕНИЯ И ВЗРЫВА
- Submitted: 15.10.2023
- Published: 01.04.2023
- URL: https://journals.rcsi.science/0044-4537/article/view/136582
- DOI: https://doi.org/10.31857/S0044453723040246
- EDN: https://elibrary.ru/TGQVEU
- ID: 136582
Cite item
Full Text
Abstract
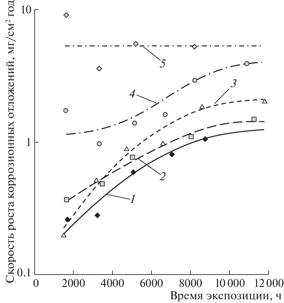
Laboratory studies and field tests identify the presence of a pyrophoric compound (iron disulfide) in the corrosion products of the internal surfaces of the walls as the main cause of spontaneous combustion of the tanks with sulfurous oil. When nitrogen is introduced into the vapor-gas phase, the formation of pyrophore in the tank stops and the probability of spontaneous combustion significantly reduce. This strongly reduces the corrosion rate as well.
Keywords
About the authors
I. I. Reformatskaya
Academy of the State Fire Service of the Ministry of Emergency Situations of Russia
Email: reformir@yandex.ru
Moscow, Russia
I. R. Begishev
Academy of the State Fire Service of the Ministry of Emergency Situations of Russia
Email: reformir@yandex.ru
Moscow, Russia
I. I. Ascheulova
Academy of the State Fire Service of the Ministry of Emergency Situations of Russia
Email: reformir@yandex.ru
Moscow, Russia
A. N. Podobayev
Moscow Polytechnic University
Email: reformir@yandex.ru
Moscow, Russia
D. A. Petrilin
Academy of the State Fire Service of the Ministry of Emergency Situations of Russia
Email: reformir@yandex.ru
Moscow, Russia
A. V. Baburin
Academy of the State Fire Service of the Ministry of Emergency Situations of Russia
Author for correspondence.
Email: reformir@yandex.ru
Moscow, Russia
References
- Мальцев А.В., Кочегаров А.В., Зубков Д.В. // Вестн. Воронежского института ГПС МЧС России (Современные проблемы гражданской защиты). 2017. № 4 (25) С. 128.
- Заседателева Н.А., Реформатская И.И., Подобаев А.Н., Бегишев И.Р. // Материалы 14-й научно-технической конференции “Системы безопасности” – СБ-2005 Международного форума информатизации. 2005. С. 194.
- Шишканов Б.А., Бегишев И.Р., Реформатская И.И. // Материалы 15-й научно-технической конференции “Системы безопасности” – СБ-2006 Международного форума информатизации. 2006. С. 178–180.
- Заседателева Н.А., Шишканов Б.А., Ащеулова И.И. и др. // Материалы 15-й научно-технической конференции “Системы безопасности” – СБ-2006 Международного форума информатизации. 2006. С. 151.
- Нисельсон Л.Н., Бегишев И.Р., Шишканов Б.А. и др. // Практика противокоррозионной защиты. 2008. № 4 (50). С. 8.
- Крикунов А.А., Ленский А.Б., Бегишев И.Р. и др. // Технические газы. 2012. № 1. С. 62.
- Пашкевич К.Л., Шишканов Б.А., Крикунов А.А. и др. // Инженерная практика. 2019. № 10. С. 66.
- Бегишев И.Р., Реформатская И.И., Подобаев А.Н., Ащеулова И.И. // Практика противокоррозионной защиты. 2020. Т. 25. № 1. С. 44.
- Гоник А.А., Калимуллин А.А., Сафонов Е.Н. Защита нефтяных резервуаров от коррозии. Уфа: РИЦАНК “Башнефть”, 1996. 264 с.
- Андреев Н.Н., Гончарова О.А. // Коррозия: материалы, защита. 2012. № 7. С. 26.
- Андреев Н.Н., Гончарова О.А. // Там же. 2012. № 8. С. 23.
- Andreev N.N., Anufriev N.G., Sivokon I.S. // Intern. J. of Corrosion and Scale Inhibition. 2013. V. 2. № 1. P. 17.
- Andreev N.N., Kuznetsov Yu.I. // Ibid. 2013. V. 2. № 1. P. 39.
- Gedvillo I.A., Oleinik S.V., Sivokon I.S., Andreev N.N. // Ibid. 2013. V. 2. № 4. P. 287.
- Андреев Н.Н., Лавринова Н.В., Лебедева Н.А. // Защита металлов. 2007. Т. 43. № 3. С. 276.
- Кузнецов Ю.И., Андреев Н.Н., Гончарова О.А., Агафонкин А.В. // Коррозия: материалы, защита. 2009. № 10. С. 29.
- Розенфельд И.Л., Рубинштейн Ф., Жигалова К. Защита металлов от коррозии лакокрасочными покрытиями. М.: Химия, 2001. 224 с.
- Гоник А.А. Коррозия нефтепромыслового оборудования и меры ее предупреждения – 2-е изд., перераб. и доп. М.: Недра, 1976. 192 с.
- Фахрисламов Р.З. // Строительство: наука и образование. 2014. № 1. С. 4.
- Головин В.А., Ильин А.Б., Щелков В.А. и др. // Коррозия: материалы, защита. 2015. № 1. С. 14.
Supplementary files







