Влияние температуры на термодинамику ступенчатой диссоциации аланил-фенилаланина в водном растворе
- Авторы: Лыткин А.И.1, Черников В.В.1, Крутова О.Н.1, Крутов П.Д.1, Романов Р.А.1
-
Учреждения:
- Ивановский государственный химико-технологический университет
- Выпуск: Том 97, № 3 (2023)
- Страницы: 392-396
- Раздел: ФИЗИЧЕСКАЯ ХИМИЯ РАСТВОРОВ
- Статья получена: 15.10.2023
- Статья опубликована: 01.03.2023
- URL: https://journals.rcsi.science/0044-4537/article/view/136578
- DOI: https://doi.org/10.31857/S0044453723030184
- EDN: https://elibrary.ru/DXUYJB
- ID: 136578
Цитировать
Полный текст
Аннотация
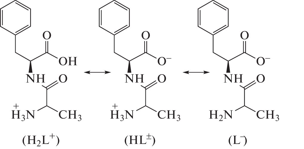
Калориметрическим методом определены теплоты взаимодействия аланил-фенилаланина с растворами азотной кислоты и гидроксида калия при 288.15 К и 308.15 К и значениях ионной силы раствора 0.5, 0.75 и 1.0 в присутствии KNO3. Рассчитаны стандартные термодинамические характеристики (ΔrH°, ΔrG°, ΔrS°, ΔСp°) реакций кислотно-основного взаимодействия в водных растворах аланил-фенилаланина. Рассмотрено влияние температуры на теплоты диссоциации аланил-фенилаланина и взаимосвязь термодинамических характеристик диссоциации дипептида со структурой данного соединения.
Ключевые слова
Об авторах
А. И. Лыткин
Ивановский государственный химико-технологический университет
Email: kdvkonkpd@yandex.ru
Россия, Иваново
В. В. Черников
Ивановский государственный химико-технологический университет
Email: kdvkonkpd@yandex.ru
Россия, Иваново
О. Н. Крутова
Ивановский государственный химико-технологический университет
Email: kdvkonkpd@yandex.ru
Россия, Иваново
П. Д. Крутов
Ивановский государственный химико-технологический университет
Email: kdvkonkpd@yandex.ru
Россия, Иваново
Р. А. Романов
Ивановский государственный химико-технологический университет
Автор, ответственный за переписку.
Email: kdvkonkpd@yandex.ru
Россия, Иваново
Список литературы
- Berkowitz S.A., Engen J.R., Mazzeo J.R., Jones G.B.// Nature reviews Drug discovery. 2012. V. 11. P. 527.
- McGregor D.P. // Current Opinion in Pharmacology. 2008. V. 8. P. 616.
- Zompra A., Galanis A., Werbitzky O., Albericio P. // Future Medicinal Chemistry. 2009. V. 1 (2). P. 361.
- Bak A., Leung D., Barrett S.E. et al. // J. of the American Association of Pharmaceutical Scientists. 2015. V. 17 (1). P. 144.
- Di L. //Ibid. 2015. V. 17 (1). P. 134.
- Fosgerau K., Hoffmann T. // Drug Discovery Today. 2015. V. 20 (1). P. 122.
- Slingluff C.L. // Cancer Journal. 2011. V. 17 (5). P. 343.
- Craik D.J., Fairlie D.P., Liras S., Price D. // Chemical Biology and Drug Design. 2013. V. 81. P. 136.
- Кочергина Л.А., Емельянов А.В., Крутова О.Н. // Изв. вузов. Химия и хим. технология. 2011. Т. 54. № 2. С. 95.
- Лыткин А.И., Крутова О.Н., Черников В.В. и др. // Журн. физ. химии. 2021. V. 95. №. 11. Р. 1674.
- Кочергина Л.А., Баделин В.Г., Крутова О.Н. // Там же. 2012 Т. 86. № 9. С. 1555.
- Bonomo R., Cali R., Cucinotta V. // Inog. Chem. 1986. V. 25. P. 1641.
- Rodante F. et al. // Thermochimica Acta. 1997. V. 296. P. 15.
- Meshkov A.N., Gamov G.A. // Talanta. 2019. V. 198. P. 200.
- Lytkin A.I., Barannikov V.P., Badelin V.G., Krutova O.N. // J. of Thermal Analysis and Calorimetry .2020. V. 139. P. 3683.
- Лыткин А.И., Черников В.В., Крутова О.Н., Смирнова Д.К. // Журн. физ. химии. 2019. Т. 93. № 9. С. 1338.
- Лыткин А.И., Черников В.В., Крутова О.Н. и др. // Там же. 2022. Т. 96. № 8. С. 1155.
- Васильев В.П., Шеханова Л.Д. // Журн. неорган. химии. 1974. Т. 19. № 11. С. 2969.
- Васильев В.П. Термодинамические свойства растворов электролитов, М.: Высш. школа, 1982. С. 200.
- Кочергина Л.А., Васильев В.П., Крутов Д.В., Крутова О.Н. // Журн. физ. химии. 2007. Т. 81. С. 1.
- Кочергина Л.А., Емельянов А.В., Крутова О.Н. // Журн. неорган. химии. 2008. Т. 53. № 9. С. 1628.
- Кочергина Л.А., Васильев В.П., Крутова О.Н. // Журн. физ. химии. 2008. Т. 82. С. 426.
- Кочергина Л.А., Лыткин А.И., Крутова О.Н., Дамрина К.В. // Журн. неорган. химии. 2015. Т. 60. № 5. С. 719.
Дополнительные файлы





