Low-Temperature Synthesis of Metal–Organic Coordination Polymers Based on Oxo-centered Iron Complexes: Magnetic and Adsorption Properties
- Авторлар: Baimuratova R.K.1, Zhinzhilo V.A.2, Uflyand I.E.2, Dmitriev A.I.1, Zhidkov M.V.1, Ovanesyan N.S.1, Kugabaeva G.D.1, Dzhardimalieva G.I.1,3
-
Мекемелер:
- Federal Research Center for Problems of Chemical Physics and Medicinal Chemistry, Russian Academy of Sciences
- Southern Federal University
- Moscow Aviation Institute (National Research University)
- Шығарылым: Том 97, № 4 (2023)
- Беттер: 543-558
- Бөлім: PHYSICAL CHEMISTRY OF DISPERSED SYSTEMS AND SURFACE PHENOMENA
- ##submission.dateSubmitted##: 15.10.2023
- ##submission.datePublished##: 01.04.2023
- URL: https://journals.rcsi.science/0044-4537/article/view/136573
- DOI: https://doi.org/10.31857/S0044453723040064
- EDN: https://elibrary.ru/TEBTWC
- ID: 136573
Дәйексөз келтіру
Толық мәтін
Аннотация
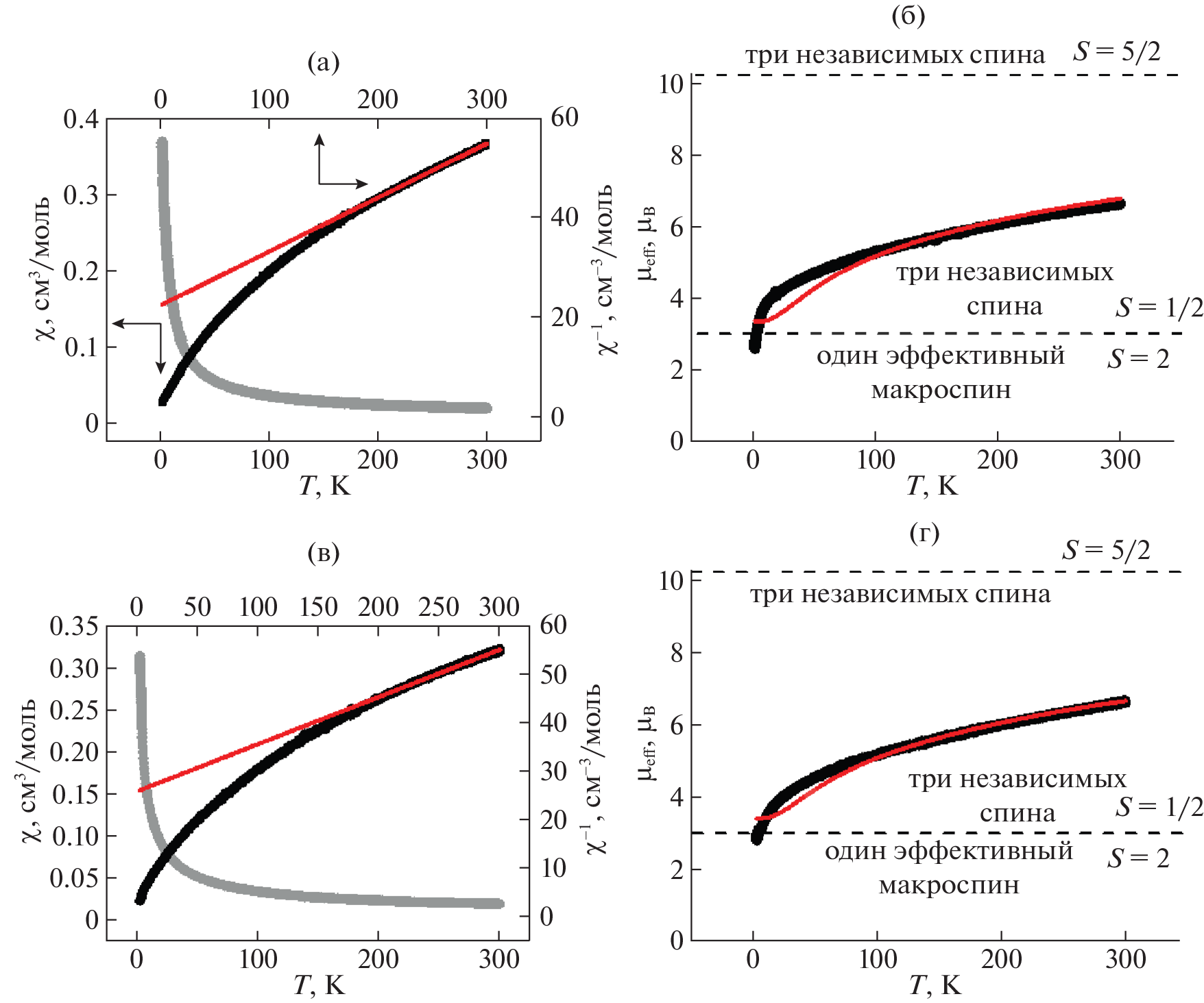
A low-temperature approach is described for preparing mesoporous metal–organic frameworks using nontoxic solvents and pre-synthesized polynuclear iron complexes as secondary building units. The obtained compounds are characterized via IR and Mössbauer spectroscopy, X-ray powder diffraction analysis, thermogravimetric analysis, and differential scanning calorimetry. The specific surface of the obtained compounds and their adsorption capacity for organic dyes methylene blue and Congo red are determined. Particular attention is given to dependences M(T) and M(H) of the magnetic moment of the obtained samples on temperature and strength of the magnetic field, respectively. The dyes’ adsorption characteristics and efficiency of sorption are determined by varying such factors as period of contact, amount of adsorbent, and temperature. The removal of dye at a concentration above 90% is observed as early as 20–30 min after the beginning of adsorption. Langmuir and Freundlich isotherms are used to describe the experimental data. It is shown that the process of adsorption at the initial concentration of the dye is described most accurately by the Langmuir adsorption isotherm. The rate constants of adsorption are calculated using pseudo-second order kinetic equations.
Негізгі сөздер
Авторлар туралы
R. Baimuratova
Federal Research Center for Problems of Chemical Physics and Medicinal Chemistry, Russian Academy of Sciences
Email: dzhardim@icp.ac.ru
142432, Chernogolovka, Moscow oblast, Russia
V. Zhinzhilo
Southern Federal University
Email: dzhardim@icp.ac.ru
344006, Rostov-on-Don, Russia
I. Uflyand
Southern Federal University
Email: dzhardim@icp.ac.ru
344006, Rostov-on-Don, Russia
A. Dmitriev
Federal Research Center for Problems of Chemical Physics and Medicinal Chemistry, Russian Academy of Sciences
Email: dzhardim@icp.ac.ru
142432, Chernogolovka, Moscow oblast, Russia
M. Zhidkov
Federal Research Center for Problems of Chemical Physics and Medicinal Chemistry, Russian Academy of Sciences
Email: dzhardim@icp.ac.ru
142432, Chernogolovka, Moscow oblast, Russia
N. Ovanesyan
Federal Research Center for Problems of Chemical Physics and Medicinal Chemistry, Russian Academy of Sciences
Email: dzhardim@icp.ac.ru
142432, Chernogolovka, Moscow oblast, Russia
G. Kugabaeva
Federal Research Center for Problems of Chemical Physics and Medicinal Chemistry, Russian Academy of Sciences
Email: dzhardim@icp.ac.ru
142432, Chernogolovka, Moscow oblast, Russia
G. Dzhardimalieva
Federal Research Center for Problems of Chemical Physics and Medicinal Chemistry, Russian Academy of Sciences; Moscow Aviation Institute (National Research University)
Хат алмасуға жауапты Автор.
Email: dzhardim@icp.ac.ru
142432, Chernogolovka, Moscow oblast, Russia; 125993, Moscow, Russia
Әдебиет тізімі
- Batten S.R., Champness N.R., Chen X.M. et al. // Pure Appl. Chem. 2013. V. 85. № 8. P. 1715. https://doi.org/10.1351/PAC-REC-12-11-20
- Lin R.-B., Xiang S., Xing H. et al. // Coord. Chem. Rev. 2017. V. 378. P. 87. https://doi.org/10.1016/j.ccr.2017.09.027
- Pariichuk M.Y., Kopytin K.A., Onuchak L.A. et al. // Russ. J. Phys. Chem. A. 2021. V. 95. P. 806. https://doi.org/10.1134/S0036024421040208
- Lázaro I.A., Forgan R.S. // Coord. Chem. Rev. 2019. V. 380. P. 230. https://doi.org/10.1016/j.ccr.2018.09.009
- Lee S., Kapustin E.A., Yaghi O.M. // Science. 2017. V. 353. № 630. P. 808. https://doi.org/10.1126/science.aaf9135
- Kustov L.M., Isaeva V.I., Přech J., Bisht K.K. // Mendeleev Commun. 2019. V. 29. № 4. P. 361. https://doi.org/10.1016/j.mencom.2019.07.001
- Isaeva V.I., Nefedov O.M., Kustov L.M. // Catalysts. 2018. V. 8. № 9. P. 1. https://doi.org/10.3390/catal8090368
- Golovashova E.S., Kulev V.A., Kudrik E.V. et al. // Russ. J. Phys. Chem. A. 2020. V. 94. № 3. P. 638. https://doi.org/10.1134/S0036024420030115
- Hu H., He Y.P., Zhang Y.L. et al. // Russ. J. Phys. Chem. A. 2022. V. 96. P. S44. https://doi.org/10.1134/S0036024422140138
- Jabarian S., Ghaffarinejad A. // J. Inorg. Organomet. Polym. 2019. V. 29. P. 1565. https://doi.org/10.1007/s10904-019-01120-4
- Chen D., Zhao J., Zhang P., Dai S. // Polyhedron. 2019. V. 162. P. 59–64. https://doi.org/10.1016/j.poly.2019.01.024
- Khan N.A., Jhung S.H. // Coord. Chem. Rev. 2015. V. 285. P. 11. https://doi.org/10.1016/j.ccr.2014.10.008
- Sargazi G., Afzali D., Mostafavi A. // Ultrason. Sonochem. 2018. V. 41. P. 234. https://doi.org/10.1016/j.ultsonch.2017.09.046
- Burgaz E., Erciyes A., Andac M., Andac O. // Inorg. Chim. Acta. 2019. V. 485. P. 118. https://doi.org/10.1016/j.ica.2018.10.014
- Chen Y., Li S., Pei X. et al. // Angew. Chem. Int. Ed. 2016. V. 55. № 10. P. 3419. https://doi.org/10.1002/anie.201511063
- Zhang R., Ji S., Wang N. et al. // Angew. Chem. Int. Ed. 2014. V. 53. № 37. P. 9775. https://doi.org/10.1002/anie.201403978
- Kalmutzki M.J., Hanikel N., Yaghi O.M. // Sci. Adv. 2018. V. 4. № 10. P. eaat9180. https://doi.org/10.1126/sciadv.aat9180
- Feng L., Wang K.-Y., Powell J., Zhou H.-C. // Matter. 2019. V. 1. P. 801. https://doi.org/10.1016/j.matt.2019.08.022
- Xue Y., Zheng S., Xue H., Pang H. // J. Mater. Chem. A. 2019. V. 7. P. 7301. https://doi.org/10.1039/c8ta12178h
- Baumann A.E., Burns D.A., Liu B., Thoi V.S. // Commun. Chem. V. 2. № 1. P. 86. https://doi.org/10.1038/s42004-019-0184-6
- Wu H., Chua Y.S., Krungleviciute V. // J. Am. Chem. Soc. 2013. V. 135. № 28. P. 10525. https://doi.org/10.1021/ja404514r
- Dzhardimalieva G.I., Baimuratova R.K., Knerelman E.I. et al. // Polymers. 2020. V. 12. P. 1024. https://doi.org/10.3390/polym12051024
- Chen Y., Ma S. // Dalton Trans. 2016. V. 45. P. 9744. https://doi.org/10.1039/C6DT00325G
- Cheetham A.K., Rao C.N.R., Feller R.K. // Chem. Commun. 2006. V. 46. P. 4780–4795. https://doi.org/10.1039/B610264F
- Baimuratova R.K., Golubeva N.D., Dzhardimalieva G.I. et al. // KEM. 2019. V. 816. P. 108. https://doi.org/10.4028/www.scientific.net/KEM.816.108
- Au V.K.-M. // Front. Chem. 2020. V. 8. https://doi.org/10.3389/fchem.2020.00708
- Khan N.A., Hasan Z., Jhung S.H. // J. Hazard. Mater. 2013. V. 244–245. P. 444. https://doi.org/10.1016/j.jhazmat.2012.11.011
- Katheresan V., Kansedo J., Lau S.Y. // J. Environ. Chem. Eng. 2018. V. 6. P. 4676. https://doi.org/10.1016/j.jece.2018.06.060
- Pakamorė I., Rousseau J., Rousseau C. et al. // Green Chem. 2018. V. 20. P. 5292. https://doi.org/10.1039/C8GC02312C
- Huo S.-H., Yan X.-P. // J. Mater. Chem. 2012. V. 22. № 15. P. 7449. https://doi.org/10.1039/C2JM16513A
- Robson R., Abrahams B.F., Batten S.R. et al. // ACS Symp. Ser. 1992. V. 499. № 19. P. 256. https://doi.org/10.1021/bk-1992-0499.ch019
- Rosi N.L., Eddaoudi M., Kim J. et al. // Cryst. Eng. Comm. 2002. V. 4. № 68. P. 401. https://doi.org/10.1039/B203193K
- Schoedel A., Zaworotko M.J. // Chem. Sci. 2014. V. 5. № 4. P. 1269. https://doi.org/10.1039/C4SC00171K
- Zou M., Dong M., Zhao T. // IJMS. 2022. V. 23. № 16. P. 9396 https://doi.org/10.3390/ijms23169396
- Kuznicki A., Lorzing G.R., Bloch E.D. // Chem. Commun. The Royal Society of Chemistry, 2021. V. 57. № 67. P. 8312. https://doi.org/10.1039/D1CC02104D
- Chen X.Y., Hoang V.-T., Rodrigue D., Kaliaguin, S. RSC Adv. The Royal Society of Chemistry, 2013. V. 5. № 46. P. 24266. https://doi.org/10.1039/C3RA43486A
- Zorainy M.Y., Gar Alalm M., Kaliaguine S., Boffito D.C. // J. Mater. Chem. A. 2021. V. 9. № 39. P. 22159. https://doi.org/10.1039/D1TA06238G
- Carson F., Su J., Platero-Prats A.E. et al. // Crystal Growth & Design. 2013. V. 13. № 11. P. 5036. https://doi.org/10.1021/cg4012058
- Millange F., Guillou N., Walton R.I. et al. // Chem. Commun. The Royal Society of Chemistry. 2008. № 39. P. 4732. https://doi.org/10.1039/B809419E
- Shin J., Kim M., Cirera J. et. al. // J. Mater. Chem. A. 2015. V. 3. № 8. P. 4738. https://doi.org/10.1039/C4TA06694D
- Pham H., Ramos K., Sua A. et al. // ACS Omega. 2020. V. 5. № 7. P. 3418. https://doi.org/10.1021/acsomega.9b03696
- Ma M., Bétard A., Weber I. et al. // Crystal Growth & Design. American Chemical Society. 2013. V. 13. № 6. P. 2286. https://doi.org/10.1021/cg301738p
- Xuan Huynh N.T., Chihaia V., Son D.N. // J Mater Sci. 2019. V. 54. № 5. P. 3994. https://doi.org/10.1007/s10853-018-3140-4
- McKinlay A.C., Morris R.E., Horcajada P. et al. // Angewandte Chemie International Edition. 2010. V. 49. № 36. P. 6260.https://doi.org/10.1002/anie.201000048
- Zheng Y.-Z., Tong M.-L., Xue W. et al. // Angew. Chem. Int. Ed. 2007. V. 46. № 32. P. 6076. https://doi.org/10.1002/anie.200701954
- Laurikėnas A., Barkauskas J., Reklaitis J. et al. // Lith. J. Phys. 2016. V. 56. № 1. P. 35. https://doi.org/10.3952/physics.v56i1.3274
- Simonin J.-P. // Chem. Eng. J. 2016. V. 300. P. 254. https://doi.org/10.1016/j.cej.2016.04.079
- Yuh-Shan H. // Scientometrics. 2004. V. 59. P. 171. https://doi.org/10.1023/B:SCIE.0000013305.99473.cf
- Ho Y.S., Ng J.C.Y., McKay G. // Separation and Purification Methods. 2000. V. 29. P. 189. https://doi.org/10.1081/SPM-100100009
- Osmari T.A., Gallon R., Schwaab M. et al. // Adsorp. Sci. Technol. 2013. V. 31. № 5. P. 433 https://doi.org/10.1260/0263-6174.31.5.433
- Zhang H., Gong X., Song Z. et al. // Optical Materials. 2021. V. 113. P. 110865. https://doi.org/10.1016/j.optmat.2021.110865
- Horcajada P., Salles F., Wuttke S. et al. // J. Am. Chem. Soc. 2011. V. 133. № 44. P. 17839. https://doi.org/10.1021/ja206936e
- Aguiar L.W., Otto G.P., Kupfer V.L. et al. // Materials Letters. 2020. V. 276. P. 128127. https://doi.org/10.1016/j.matlet.2020.128127
- Zorainy M.Y., Kaliaguine S., Gobara M. et al. // J. Inorg Organomet Polym. 2022. V. 32. № 7. P. 2538. https://doi.org/10.1007/s10904-022-02353-6.1
- Guo M., Li H. // Front. Energy Res. 2021. V. 9. P. 781008.https://doi.org/10.3389/fenrg.2021.781008
- Nakamoto K. Infrared and Raman spectra of inorganic and coordination compounds. 6th ed. Hoboken, N.J: Wiley, 2009. 419 p.
- Deacon G.B., Huber F., Phillips R.J. // Inorganica Chimica Acta. 1985. V. 104. № 1. P. 41. https://doi.org/10.1016/s0020-1693(00)83783-4
- Khamizov R.K.A. // Russ. J. Phys. Chem. A. 2020. V. 94. № 1. P. 171.https://doi.org/10.1134/S0036024420010148
- McKinlay A.C., Eubank J.F., Wuttke S. et al. // Chem. Mater. 2013. V. 25. P. 1592. https://doi.org/10.1021/cm304037x
- Zango Z.U., Abu Bakar N.H.H., Sambudi N.S. et al. // J. Environ. Chem. Eng. 2020. V. 8. P. 103544.https://doi.org/10.1016/j.jece.2019.103544
- Zhao X., Liu S., Tang Z. et al. // Sci. Rep. 2015. V. 5. P. 11849. https://doi.org/10.1038/srep11849
- Bain G.A., Berry J.F. // J. Chem. Educ. 2008. V. 85. № 4. P. 532. https://doi.org/10.1021/ed085p532
- Boča R. A Handbook of Magnetochemical Formulae / R. Boča, 1st ed. 2012-e изд., London; Waltham, MA: Elsevier, 2012. 991 c.
- Dziobkowski C., Wrobleski J.T., Brown D.B. // Inorg. Chem. 1981. V. 20. № 3. P. 671. https://doi.org/10.1021/ic50217a007
Қосымша файлдар












