Кислотный гидролиз гликозил-гликозных связей дисахаридов в водно-органических средах
- Авторы: Кушнер М.А.1, Селиверстова Т.С.1, Матусевич Л.Г.1
-
Учреждения:
- Белорусский государственный технологический университет
- Выпуск: Том 97, № 3 (2023)
- Страницы: 363-369
- Раздел: ХИМИЧЕСКАЯ КИНЕТИКА И КАТАЛИЗ
- Статья получена: 15.10.2023
- Статья опубликована: 01.03.2023
- URL: https://journals.rcsi.science/0044-4537/article/view/136566
- DOI: https://doi.org/10.31857/S0044453723030160
- EDN: https://elibrary.ru/DXSSCY
- ID: 136566
Цитировать
Полный текст
Аннотация
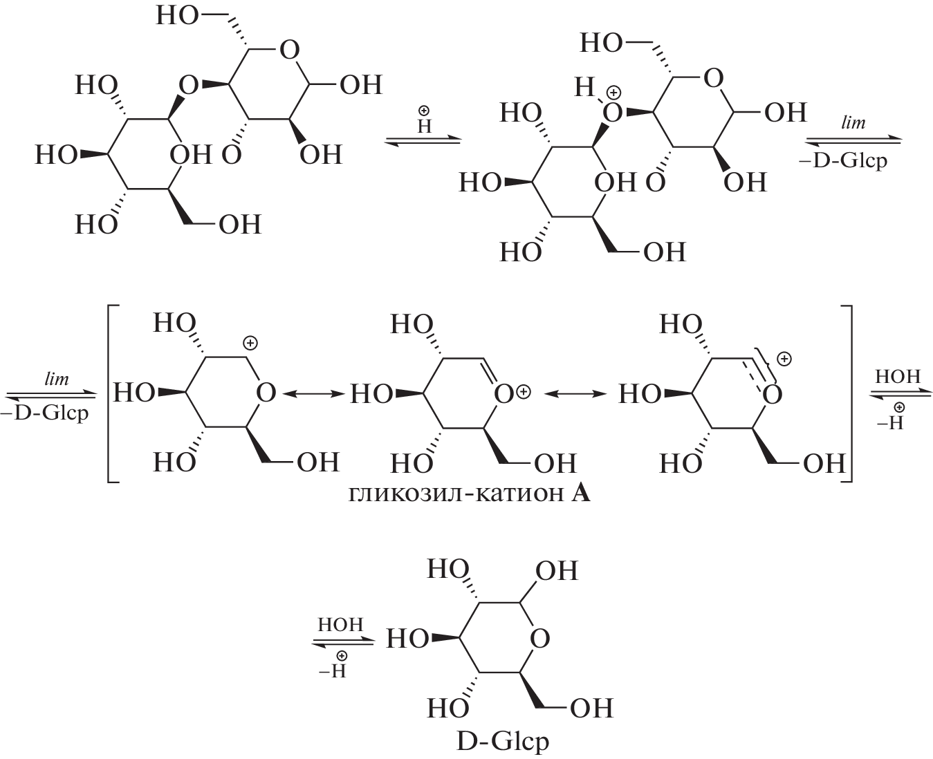
Определены кинетические параметры (константы скорости, энергии и энтропии активации) реакций кислотно-каталитического гидролиза восстанавливающих дисахаридов целлобиозы и лактозы в широком диапазоне составов смесей воды с органическими растворителями (диоксаном, ацетоном, ДМСО и уксусной кислотой). Показано, что увеличение содержания органического растворителя по-разному ускоряет реакции гидролиза гликозидной связи. Обcуждено влияние растворителей на скорость и механизм изученной реакции на основе сольватационных представлений.
Ключевые слова
Об авторах
М. А. Кушнер
Белорусский государственный технологический университет
Email: makushner@yandex.ru
Республика Беларусь, Минск
Т. С. Селиверстова
Белорусский государственный технологический университет
Email: makushner@yandex.ru
Республика Беларусь, Минск
Л. Г. Матусевич
Белорусский государственный технологический университет
Автор, ответственный за переписку.
Email: makushner@yandex.ru
Республика Беларусь, Минск
Список литературы
- Книрель Ю.А., Науменко О.И., Севченкова С.Н. и др. // Успехи химии. 2019. Т. 88. Вып. 4. С. 406. = label:RUSSIFNhttps://doi.org/10.1070/RCR4856?locant
- Кучина Ю.А., Дубровин С.Ю., Коновалова И.Н. // Рыбное хоз-во. 2009. № 4. С. 115.
- Бочков А.Ф., Афанасьев В.А., Заиков Г.Е. Образование и расщепление гликозидных связей. М.: Наука, 1978. 180 с.
- Корольков И.И. Перколяционный гидролиз растительного сырья. М.: Изд-во “Лесн. пром-сть”. 1990. 272 с.
- Барбаш В.А. // Энерготехнологии и ресурсосбережение. 2012. № 1. С. 27.
- Гермер Э.И. // Лесной журнал. 2003. № 4. С. 99.
- Синицын А.П., Синицына О.А. // Успехи биол. химии. 2021. Т. 61. С. 347.
- Селиверстова Т.С., Кушнер М.А., Матусевич Л.Г. // Журн. физ. химии. 2020. Т. 94. № 2. С. 230. https://doi.org/10.31857/S0044453720020314
- Денеш И. Титрование в неводных средах. М.: Мир, 1971. 413 с.
- Усов А.И., Яроцкий С.В. // Изв. АН СССР. Сер. хим. 1974. № 4. С. 877.
- Амис Э.А. Влияние растворителя на скорость и механизм химических реакций. М.: Мир, 1968. 328 с.
- Богачев Н.А., Любичев Д.А., Никольский А.Б. и др. // Журн. общ. химии. 2018. Т. 88. № 1. С. 3.
- Suzuki T., Fujisawa M., Takagi S. et al. // J. Thermal Analysis and Calorimetry. 2006. V. 85. № 3. P. 545.https://doi.org/10.1007/s10973-006-7658-3
- Guang Y., Masaaki W., Toshiyuki T. // J. Mol. Liq. 2001. V. 94. P. 273. https. //doi: https://doi.org/10.1016/S0167-7322(01)00275-6
- Bunton C.A., Mhalo M.M., Moffatt J.N. // J. Org. Chem. 1984. V. 49. P. 3639.
- Верстаков Е.С., Коробкова С.А., Носаева Т.А. // Журн. физ. химии. 2020. T. 94. № 4. С. 564.
- Wong D.B., Sokolowsky K.P., El-Barghouthi M.I. et al. // J. Phys. Chem. B. 2012. V. 116. P. 5479. https://doi.org/10.1021/jp301967e
- Бакирова Г.А. // Изв. НАН КР. 2010. № 2. С. 108.
- Гринева Н.Ф. Термодинамика хлористого водорода и его кислотность в смесях диоксана с водой: Автореф. дис. … канд. хим. наук. Харьков, 1974, 22 с.
Дополнительные файлы










