Theoretical Study of the Hydrolysis of Iron–Sulfur–Nitrosyl Complex [Fe(NO)2(SCH2)2]+
- Autores: Luzhkov V.B.1,2, Krapivin V.B.1, Sanina N.A.1,2, Aldoshin S.M.1
-
Afiliações:
- Federal Research Center of Problems of Chemical Physics and Medicinal Chemistry, Russian Academy of Sciences
- Department of Fundamental Physico-Chemical Engineering, Lomonosov Moscow State University
- Edição: Volume 97, Nº 5 (2023)
- Páginas: 607-616
- Seção: ФИЗИКА И ХИМИЯ ЭЛЕМЕНТАРНЫХ ХИМИЧЕСКИХ ПРОЦЕССОВ
- ##submission.dateSubmitted##: 15.10.2023
- ##submission.datePublished##: 01.05.2023
- URL: https://journals.rcsi.science/0044-4537/article/view/136565
- DOI: https://doi.org/10.31857/S004445372305014X
- EDN: https://elibrary.ru/MRWIPE
- ID: 136565
Citar
Texto integral
Resumo
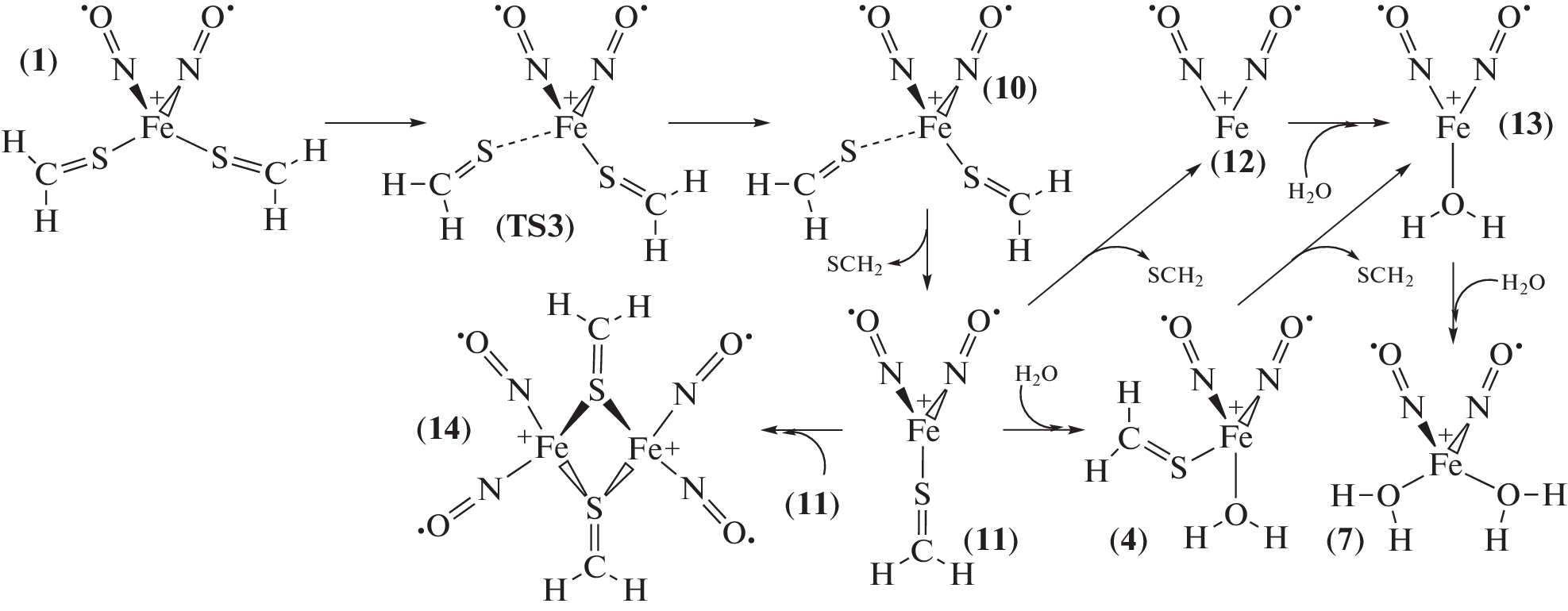
The mechanisms of hydrolysis of a model iron–sulfur–nitrosyl complex (ISNC) [Fe(NO)2(SCH2)2]+ 1 with thioformaldehyde ligands have been studied using the density functional theory and polarizable continuum model of water. Quantum chemical calculations employed the TPSSH and M06 functionals and def2-TZVP basis set and took into account interactions with water medium. Hydrolysis of 1 was found to be an exothermic process with small activation energy whereas exchange of NO for H2O is thermodynamically unfavorable. The calculations have predicted lower activation barrier for the associative mechanism with concerted replacement of SCH2 by H2O than for dissociative mechanism with homolytic bond cleavage of the Fe–S coordination bond in water. The mechanism of hydrolysis that involves participation of OH– was found to be less probable at pH 7. The calculation results show that ISNC 1 is of {Fe1+(NO•)2}9 type and retains its tetrahedral structure that is typical for crystals of ISNC with thiocarbonyl ligands.
Sobre autores
V. Luzhkov
Federal Research Center of Problems of Chemical Physics and Medicinal Chemistry, Russian Academy of Sciences; Department of Fundamental Physico-Chemical Engineering, Lomonosov Moscow State University
Email: vbl@icp.ac.ru
142432, Chernogolovka, Moscow oblast, Russia; GSP-1, 119991, Moscow, Russia
V. Krapivin
Federal Research Center of Problems of Chemical Physics and Medicinal Chemistry, Russian Academy of Sciences
Email: vbl@icp.ac.ru
142432, Chernogolovka, Moscow oblast, Russia
N. Sanina
Federal Research Center of Problems of Chemical Physics and Medicinal Chemistry, Russian Academy of Sciences; Department of Fundamental Physico-Chemical Engineering, Lomonosov Moscow State University
Email: vbl@icp.ac.ru
142432, Chernogolovka, Moscow oblast, Russia; GSP-1, 119991, Moscow, Russia
S. Aldoshin
Federal Research Center of Problems of Chemical Physics and Medicinal Chemistry, Russian Academy of Sciences
Autor responsável pela correspondência
Email: vbl@icp.ac.ru
142432, Chernogolovka, Moscow oblast, Russia
Bibliografia
- Butler A.R., Glidewell C., Li M.-H. // Adv. Inorg. Chem. 1988. V. 32. P. 335.
- Butler A.R. // Chem. Rev. 2002. V. 102. P. 1155.
- Szaciłowski K., Chmura A., Stasicka Z. // Coord. Chem. Rev. 2005. V. 249. P. 2408.
- Sanina N.A., Aldoshin S.M. // Russ. Chem. Bull. 2011. V. 60. P. 1223.
- Lewandowska H., Kalinowska M., Brzóska K. et al. // Dalton Trans. 2011. V. 40. P. 8273.
- Hsiao H.Y., Chung C.W., Santos J.H. et al. // Ibid. 2019. V. 48. P. 9431.
- Vanin A.F. // Int. J. Mol. Sci. 2021. V. 22. P. 10356.
- Beinert H., Holm R.H., Munck E. // Science. 1997. V. 277. P. 653.
- Rao P.V., Holm R.H. // Chem. Rev. 2004. V. 104. P. 527.
- Borodulin R.R., Kubrina L.N., Mikoyan V.D. et al. // Nitric Oxide. 2013. V. 29. P. 4.
- Keszler A., Diers A.R., Ding Z., Hogg N. // Ibid. 2017. V. 65. P. 1.
- Butler A.R., Glidewel C., Hyde A.R. et al. // Polyhedron. 1983. V. 2. P. 1045.
- Syrtsova L.A., Sanina N.A., Kabachkov E.N. et al. // RSC Adv. 2014. V. 4. P. 24560.
- Pokidova O.V., Shkondina N.I., Syrtsova L.A. et al. // Rus. Chem. Bull., Int. Ed. 2017. V. 66. P. 821.
- Sanina N.A., Aldoshin S.M., Korchagin D.V. et al. // Inorg. Chem. Comm. 2014. V. 49. P. 44.
- Sanina N.A., Manzhos R.A., Emel’yanova N.S. et al. // J. Mol. Struct. 2019. V. 1181. P. 253.
- Buhro W.E., Etter M.C., Georgiou S. et al. // Organometallics. 1987. V. 6. P. 1150.
- Schenk W.A., Vedder B., Klüglein M. et al. // Dalton Trans. 2002. V. 16. P. 3123.
- Schenk W.A. // Ibid. 2011. V. 40. P. 1209.
- Staroverov V.N., Scuseria G.E., Tao J., Perdew J.P. // J. Chem. Phys. 2003. V. 119. P. 12129.
- Zhao Y., Truhlar D.G. // Theor. Chem. Acc. 2008. V. 120. P. 215.
- Weigend F., Ahlrichs R. // Phys. Chem. Chem. Phys. 2005. V. 7. P. 3297.
- Cances E., Mennuci B., Tomassi J.A. // J. Chem. Phys. 1997. V. 107. P. 3032.
- Marenich A.V., Cramer C.J., Truhlar D.G. // J. Phys. Chem. B. 2009. V. 113. P. 6378.
- Ribeiro R.F., Marenich A.V., Cramer C.J. et al. // Ibid. 2011. V. 115. P. 14556.
- Krapivin V.B., Sen’ V.D., Luzhkov V.B. // Chem. Phys. 2019. V. 522. P. 214.
- Лужков В.Б. // Журн. физ. химии. 2020. Т. 94. № 5. С. 680. DOI: (Luzhkov V.B. // Russ. J. Phys. Chem. 2020. V. 94. P. 680.https://doi.org/10.1134/S003602442005015510.1134/S0036024420050155).https://doi.org/10.31857/S0044453720050155
- Frisch M.J., Trucks G.W., Schlegel H.B. et al. Gaussian 09, Revision D.01. Gaussian, Inc., Wallingford CT, 2010.
- Grimme S., Ehrlich S., Goerigk L.J. // Comput. Chem. 2011. V. 32. P. 1456.
- Лужков В.Б. // Изв. РАН Сер. Хим. 2014. № 3. С. 561.
- Pokidova O.V., Luzhkov V.B., Emel’yanova N.S. et al. // Dalton Trans. 2020. V. 49. P. 12674.
- Luzhkov V.B., Österberg F., Acharya P. et al. // Phys. Chem. Chem. Phys. 2002. V. 4. P. 4640.
- Westheimer F.H. // Acc. Chem. Res. 1968. V. 1. P. 70.
- Florián J., Warshel A. // J. Phys. Chem. B. 1998. V. 102. P. 719.
- Hu C.H., Brinck T.J. // J. Phys. Chem. A. 1999. V. 103. P. 5379.
- Menegon G., Loos M., Chaimovich H. // Ibid. 2002. V. 106. P. 9078.
- Menegon G., Chaimovich H. // Ibid. 2005. V. 109. P. 5625.
- Luzhkov V.B., Venanzi C.A. // J. Phys. Chem. 1995. V. 99. P. 2312.
- Tsai F.T., Chiou S.J., Tsai M.C. et al. // Inorg. Chem. 2005. V. 44. P. 5872.
- Dai R.J., Ke S.C. // J. Phys. Chem. B. 2007. V. 111. P. 2335.
- Emelyanova N.S., Shestakov A.F., Sulimenkov I.V. et al. // Russ. Chem. Bull. 2012. V. 61. P. 1.
- Emel’yanova N.S., Poleshchuk O.K., Sanina N.A. et al. // Ibid. 2014. V. 63. P. 37.
- Lo F.C., Li Y.W., Hsu I.J. et al. // Inorg. Chem. 2014. V. 53. P. 10881.
- Emelyanova N.S., Shmatko N.Y., Sanina N.A., Aldoshin S.M. // Russ. Chem. Bull. 2017. V. 66. P. 1842.
- Banerjee A., Sen S., Paul A. // Chem. Eur. J. 2018. V. 24. P. 3330.
- Arantes G.M., Bhattacharjee A., Field M.J. // Angew. Chem. Int. Ed. 2013. V. 52. P. 8144.
- Arantes G.M., Field M.J. // J. Phys. Chem. A. 2015. V. 119. P. 10084.
- Teixeira M.H., Curtolo F., Camilo S.R. et al. // J. Chem. Inf. Model. 2020. V. 60. P. 653.
- Krapivin V.B., Luzhkov V.B., Sanina N.A., Aldoshin S.M. // Mendeleev Commun. 2022. V. 32. P. 457.
- Enemark J.H., Feltham R.D. // Coord. Chem. Rev. 1974. V. 13. P. 339.
- Vanin A.F., Burbaev D.S. // J. Biophys. 2011. V. 2011. P. 1.
- De Abreu H.A., Guimarães L., Duarte H.A. // J. Phys. Chem. A. 2006. V. 110. P. 7713.
- Marom N., Tkatchenko A., Rossi M. et al. // J. Chem. Theory Comput. 2010. V. 6. P. 81.
- Zhao Y., Truhlar D.G. // Phys. Chem. Chem. Phys. 2008. V. 10. P. 2813.
Arquivos suplementares







