Взаимодействие ионов платиновых и переходных металлов с 2(4)-аминопиридинами в водных растворах в условиях, приближенных к процессам их экстракционного выделения и разделения
- Авторы: Агеева Л.С.1, Борщ Н.А.1, Кувардин Н.В.1, Егельский И.В.1
-
Учреждения:
- Юго-Западный государственный университет
- Выпуск: Том 97, № 1 (2023)
- Страницы: 55-65
- Раздел: ФИЗИЧЕСКАЯ ХИМИЯ РАСТВОРОВ
- Статья получена: 15.10.2023
- Статья опубликована: 01.01.2023
- URL: https://journals.rcsi.science/0044-4537/article/view/136520
- DOI: https://doi.org/10.31857/S0044453723010028
- EDN: https://elibrary.ru/BARECH
- ID: 136520
Цитировать
Полный текст
Аннотация
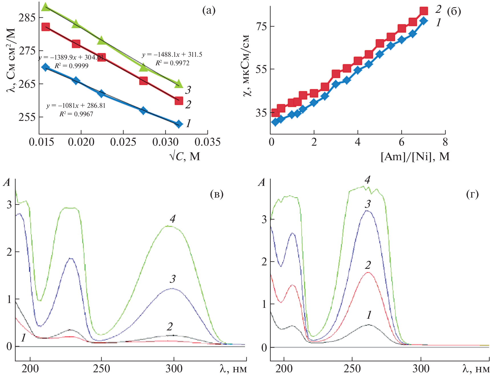
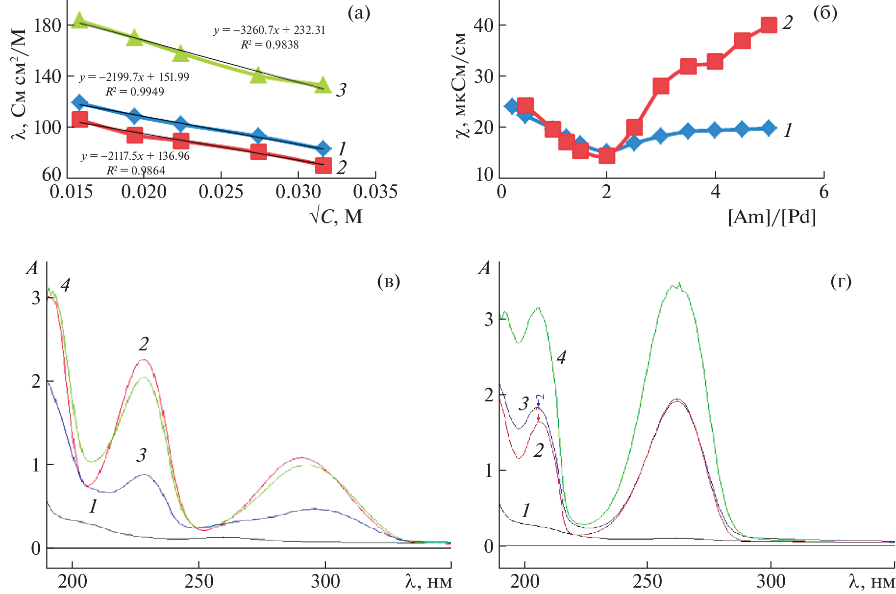
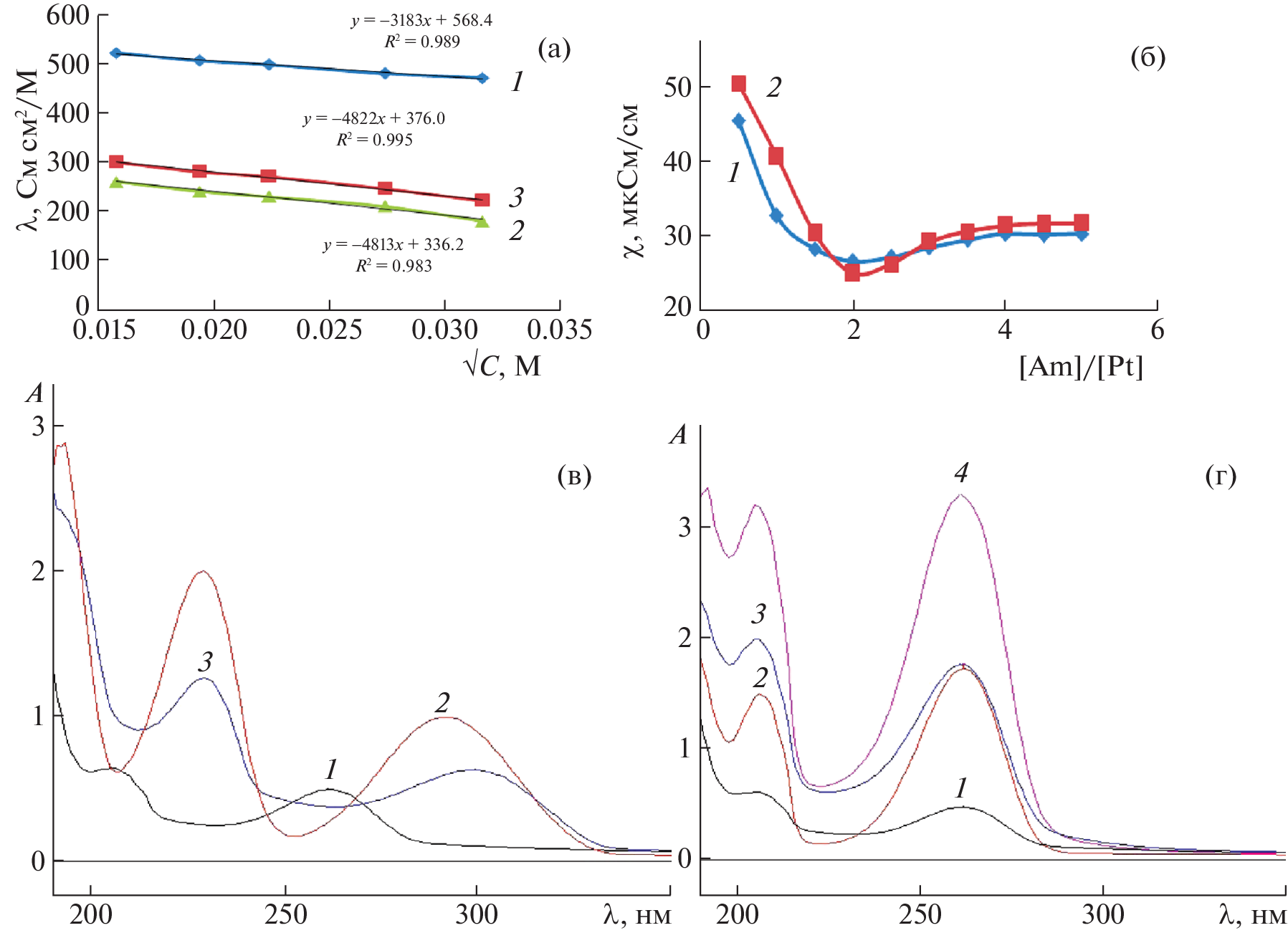
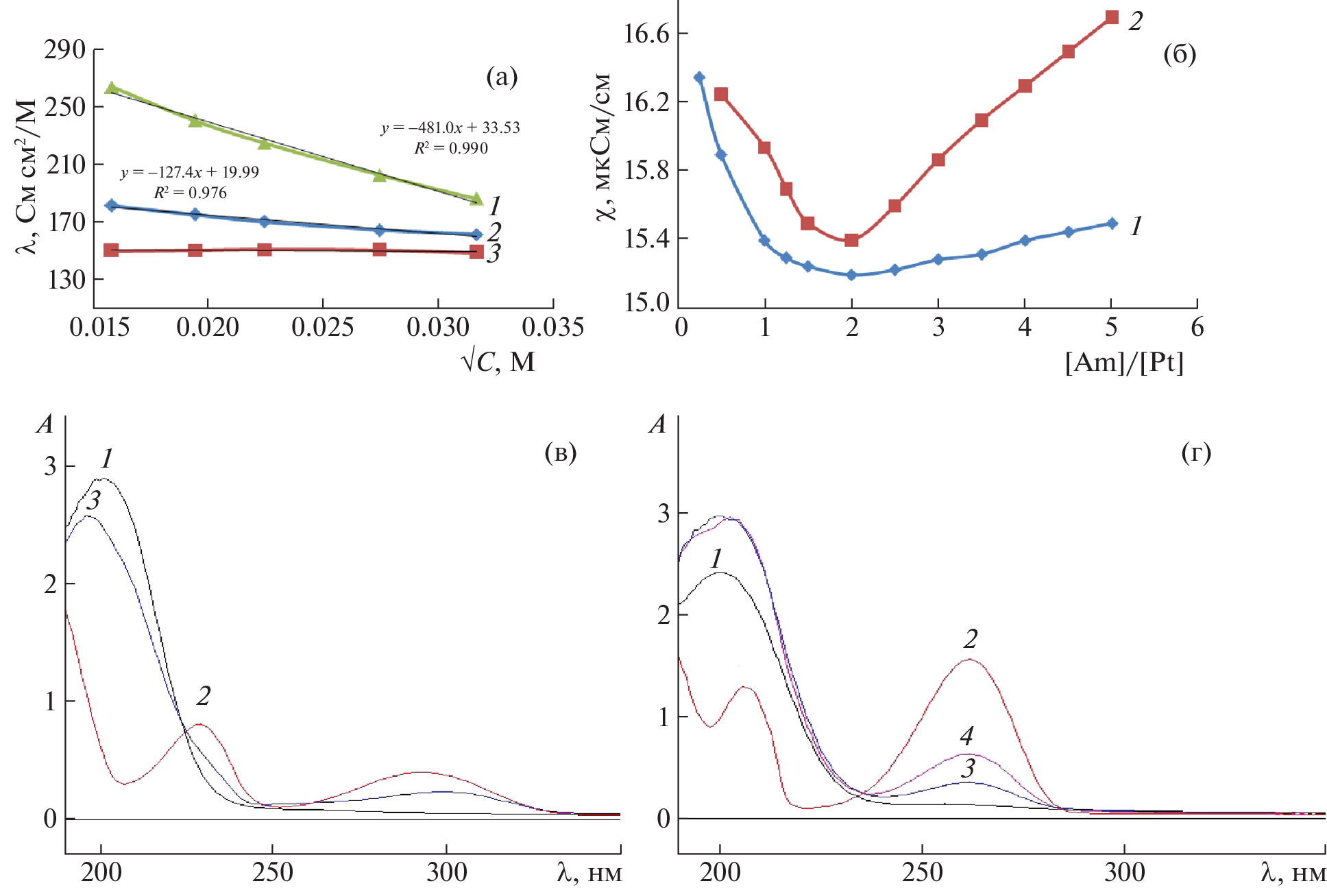
Методами кондуктометрии, спектрофотометрии и ИК-спектроскопии исследовано взаимодействие Pd(II), Pt(II), Pt (IV) и сопутствующих ионов Ni(II), Co(II), Fe(II, III), Cu(II) с 2(4)-аминопиридинами (2(4)-АП) в водных растворах, приближенных к условиям их экстракционного выделения и разделения. Показано, что ионы платиновых металлов образуют устойчивые нейтральные и катионные комплексы как с 2-АП, так и с 4-АП, которые могут быть выделены из водных растворов. Тенденция к образованию катионных комплексов снижается в ряду Pd(II) > Pt(II) > Pt(IV) и 4-АП > > 2-АП. Ионы 3d-элементов, кроме Cu(II), в этих условиях устойчивых комплексов не образуют. Cu(II) образуют комплексы с 2(4)-АП, которые подвержены гидролизу при выделении из водных растворов. Обсуждается специфика 2(4)-АП при взаимодействии с ионами металлов. Предлагается использовать аналоги 2(4)-АП с длинным углеводородным радикалом для экстракционного концентрирования платиновых металлов из сложных по составу растворов гидрометаллургии.
Ключевые слова
Об авторах
Л. С. Агеева
Юго-Западный государственный университет
Email: millfi@yandex.ru
Россия, Курск
Н. А. Борщ
Юго-Западный государственный университет
Email: millfi@yandex.ru
Россия, Курск
Н. В. Кувардин
Юго-Западный государственный университет
Email: millfi@yandex.ru
Россия, Курск
И. В. Егельский
Юго-Западный государственный университет
Автор, ответственный за переписку.
Email: millfi@yandex.ru
Россия, Курск
Список литературы
- Борщ Н.А. / Теория и практика экстракционных методов. Отв. ред. Алимарин И.П., Багреев В.В. М.: Наука, 1985. С. 111.
- Suryavanshi V.J., Anuse M.A., Pawar R.R., Mulik G.N. // Analyt. Methods. 2015. V. 7. № 6. P. 2497. https://doi.org/10.1039/C4AY03045A
- Борщ Н.А., Петрухин О.М., Соколов А.Б. и др. // Журн. неорган. химии. 1981. Т. 26. № 3. С. 734.
- Борщ Н.А., Петрухин О.М. // Журн. аналит. химии. 1978. Т. 33. № 11. С. 2181.
- Suryavanshi S.J., Patil M.M., Kokare A.N. et al. // J. Chinese Chem. Soc. 2016. V. 63. № 8. P. 694.https://doi.org/10.1002/jccs.201500541
- Suryavanshi V.J., Patil M.M., Zanje S.B. et al. // Separat. Sci. and Technology. 2016. V. 51. № 10. P. 1690.https://doi.org/10.1080/01496395.2016.1177076
- Suryavanshi V.J., Patil M.M., Mulik G.N. et al. // Rus. J. Inorg. Chem. 2017. V. 62. № 2. P. 257. https://doi.org/10.1134/S003602361702019X
- Kore G.D., Patil S.A., Anuse M.A. et al. // J. Radioanalyt. and Nucl. Chem. 2016. V. 310. № 1. P. 329. https://doi.org/10.1007/s10967-016-4857-7
- Sandip V.M., Prakash P.W., Anuse M.A. // J. Serb. Chem. Soc. 2008. V. 73. № 4. P. 435. https://doi.org/102298/JSC0804435M
- Sandip V.M., Prakash P.W., Anuse M.A. // Ibid. 2010. V. 75. № 8. P. 1099. https://doi.org/10.2298/JSC090630072M
- Mahamuni S.V., Kolekar S.S., Wadgaonkar P.P. et al. // J. Iran. Chem. Soc. 2009. V. 6. № 1. P. 200.https://doi.org/10.1007/BF03246521
- Mandhare A.M., Anuse M.A., Kolekar S.S. // Ind. J. Chem. Technology. 2011. V. 18. № 6. P. 475.
- Mandhare A.M., Han S.H., Anuse M.A. et al. // Arab. J. Chem. 2015. V. 8. № 4. P. 456.https://doi.org/10.1016/j.arabjc.2011.01.026
- Noronha L.E., Kamble G.S., Kolekar S.S. et al. // Ind. J. Chem. Technology. 2013. V. 20. № 7. P. 252.
- Noronha L.E., Kamble G.S., Kolekar S.S. et al. // Inter. J. Chem. Scince Technology. 2013. V. 3. № 1. P. 15–24.
- Mane C.P., Mahamuni S.V., Kolekar S.S. et al. // Arab. J. Chem. 2016. V. 9. № 2. P. 1420.https://doi.org/10.1016/j.arabjc.2012.03.021
- Noronha L.E., Kamble G.S., Kolekar S.S. et al. // Int. J. Analyt. and Bioanalyt. Chem. 2013. V. 3. № 1. P. 27.
- Mane C.P., Anuse M.A. // J. Chinese Chem. Soc. 2008. V. 55. P. 807.https://doi.org/10.1002/jccs.200800121
- Mane C.P., Anuse M.A. // J. Hazard Mater. 2008. V. 152. № 3. P. 1146.https://doi.org/10.1016/j.jhazmat.2007.07.119
- Rajehdre V., Kolekar S.S., Anuse M.A. // J. Saudi Chem. Soc. 2015. V. 19. № 1. P. 46.https://doi.org/10.1016/j.jscs.2011.12.016
- Серегина И.Ф., Петрухин О.М., Формановский А.А. и др. // Докл. АН СССР. 1984. Т. 275. № 2. С. 385.
- Борщ Н.А., Агеева Л.С., Фролова А.Ю. // Журн. физ. химии. 2019. Т. 93. № 5. С. 661. https://doi.org/10.1134/S0036024419050066
- Синтез комплексных соединений металлов платиновой группы: справочник / под общ. ред. И.И. Черняева. М.: Наука, 1964. С. 339.
- Демидова Е.Н., Драчев А.И., Борщ Н.А. // Координац. химия. 2008. Т. 34. № 10. С. 797. https://doi.org/10.1134/S1070328408100151
- Худякова Т.А. Теория и практика кондуктометрического и хронокондуктометрического анализа. М.: Химия, 1976.
- Евстратикова И.А., Фалалеева В.Н. Естественнонаучные, инженерные и экономические исследования в технике, промышленности, медицине и сельском хозяйстве. Материалы I Молодежной научно-практической конференции с международным участием. Белгород: ИД Белгород НИУ БелГУ, 2017. С. 498.
- Цинцадзе Г.В., Харитонов Ю.Я., Джашиашвили Т.К. и др. // Координац. химия. 1982. № 8. С. 1493.
- Цинцадзе Г.В., Харитонов Ю.Я., Марченкова Т.Г. и др. // Там же. 1987. № 2. С. 215.
- Борщ Н.А., Петрухин О.М., Золотов Ю.А. и др. // Там же. 1981. Т. 7. № 8. С. 1242.
- Klopman G.J. Am. Chem. Soc. // 1968. V. 90. P. 223.
- Борщ Н.А. // Дис. канд. хим. наук. М.: ГЕОХИ АН СССР, 1978. С. 184.
- Клопман Г.Н. Реакционная способность и пути реакций. М.: Мир, 1977. 384 с.
- Борщ Н.А., Петрухин О.М. Журн. аналит. химии. 1978. Т. 33. № 9. С. 1805.
- Борщ Н.А., Петрухин О.М. Авт. свид. SU 687073 A1, 25.09.1979. Заявка № 2502576 от 04.07.1977.
Дополнительные файлы











