Features of the humoral immune response when using protein immobilized on the surface of nano- and microparticles based on poly(lactic acid)
- 作者: Sakhabeev R.G.1, Polyakov D.S.2, Sinitsyna E.S.3, Korzhikov-Vlakh V.A.3,4, Bagaeva I.O.4, Korzhikova-Vlakh E.G.3, Ses T.P.5, Tereshina V.S.1, Shavlovsky M.M.2
- 
							隶属关系: 
							- St. Petersburg State Technological Institute (Technical University)
- Institute of Experimental Medicine
- Institute of Macromolecular Compounds, Russian Academy of Sciences
- Saint-Petersburg State University
- First Pavlov State Medical University Of St Petersburg
 
- 期: 卷 60, 编号 2 (2024)
- 页面: 185-194
- 栏目: EXPERIMENTAL ARTICLES
- URL: https://journals.rcsi.science/0044-4529/article/view/263172
- DOI: https://doi.org/10.31857/S0044452924020034
- EDN: https://elibrary.ru/XATDXM
- ID: 263172
如何引用文章
全文:
详细
The study is aimed at evaluating the influence of composition and size of micro- and nanoparticles (MPs and NPs) on the immunogenicity of protein antigen associated with them. For comparative analysis, MPs and NPs based on poly(lactic acid) (PLA) and block copolymer of poly(ethylene glycol) with poly(lactic acid) (PEG-b-PLA) were obtained. Recombinant human beta2-microglobulin fusion protein with superfolder green fluorescent protein (β2M-sfGFP) was used for covalent modification of all types of polymer particles. Immobilization of the model protein β2M-sfGFP was carried out on the surface of the particles through the reaction of activated esters with the amino groups of the protein. Immunization of mice using complex antigen (β2M-sfGFP protein immobilized on the surface of MPs and NPs of different compositions) was carried out in four steps. Immunogenicity was assessed by the level of specific antibodies to sfGFP using enzyme-linked immunoassay. The results showed a significant increase in antibody levels in the control groups, which were immunized with a mixture of model protein and particles of different nature and sizes, compared to the experimental groups, which were immunized with conjugates of the corresponding particles with model protein. In the experimental groups, the highest number of specific antibodies was detected in the case of immunization of mice with the conjugate of protein and PLA or PEG-b-PLA-based NPs. The introduction of PEG block into the PLA composition did not significantly affect the immunogenicity of the protein, while the particle size was of significant importance. PLA- or PEG-b-PLA-based NPs showed higher immunogenicity compared to MPs of the same compositions, which can be used for practical purposes to develop vaccines (NP-protein) or ” trapping systems” (MP-protein) that bind infiltrating viruses.
全文:
ВВЕДЕНИЕ
Значительные достижения в области получения полимерных нано- и микрочастиц (НЧ и МЧ) стимулировали развитие биомедицинских материалов для доставки лекарств, включая ее адресный вариант [1]. На сегодняшний день носители на основе НЧ и МЧ находят все большее применение для создания вакцин [2, 3] и ловушек для элиминации различных патогенов и вирусов из кровотока [4, 5]. Все эти области применения сопряжены с иммобилизацией на поверхности полимерных частиц нацеливающего лиганда, рецептора или антигена (в зависимости от поставленной задачи), которыми, как правило, являются белки [6] или (поли)пептиды [7]. Это может способствовать возникновению иммунного ответа при применении подобных систем in vivo. В отличие от области разработки вакцин, требующей наличие и усиление иммунного ответа на белок, связанный с носителем (адъювантом) [8], системы адресной доставки и ловушки вирусных частиц/патогенов, наоборот, во избежание преждевременной элиминации из организма, должны быть относительно инертны и не должны стимулировать значительных иммунных реакций [9].
Из литературных данных известно, что физико-химические характеристики полимерных частиц оказывают влияние на их поведение в биологических системах in vitro и in vivo [10, 11]. Такие характеристики, как размер, поверхностный заряд, а также жесткость наночастиц оказывают существенное влияние на цитотоксичность, внутриклеточное проникновение и скорость захвата макрофагами. Положительно заряженные наночастицы демонстрируют значительную цитотоксичность, тогда как положительно заряженные микрочастицы характеризуются относительно высокой скоростью захвата макрофагами. В целом, эффективность внутриклеточного проникновения у наночастиц выше, чем у микрочастиц, а жесткие наночастицы имеют более высокую скорость проникновения в клетку, чем деформируемые наночастицы. Очевидно, что размер частиц будет оказывать влияние на иммуногенность связанного с ними белка через усиление гуморального или Т-клеточного иммунного ответа. Выбор размера и функциональных свойств полимерных частиц должен быть обусловлен ожидаемым эффектом от их применения. В связи с этим получение систематических данных о влиянии частиц различного размера и их поверхностных свойств на иммунный ответ является крайне актуальным для понимания основ направленного конструирования систем с заданным терапевтическим эффектом.
Среди многообразия существующих полимерных НЧ и МЧ, безусловное преимущество имеют системы, полученные на основе нетоксичных, биосовместимых и биоразлагаемых полимеров [12]. К таким полимерам относятся, например, сложные полиэфиры алифатических гидроксикислот (поли(молочная кислота) (ПМК), поликапролактон, полигидроксибутират и др.) [13], различные синтетические полипептиды [14], а также некоторые природные полисахариды (гиалуроновая кислота, гепарин, хондроитин сульфат, и др.) [15]. Для увеличения продолжительности жизни наночастиц в кровотоке, зачастую поверхность полимерных частиц дополнительно функционализируется так, чтобы обеспечить “стелс-эффект”, или, другими словами, эффект невидимости для иммунной системы, в частности для мононуклеарных фагоцитов [16]. Известно, что такими свойствами обладают, например, поли(этиленгликоль) (ПЭГ) [17] и поли(глутаминовая кислота) [18].
Целью настоящей работы являлось изучение гуморального иммунного ответа у мышей на введение ПМК/ПЭГ-б-ПМК НЧ/МЧ, несущих на поверхности модельный белок. В качестве последнего был использован белок слияния бета2-микроглобулина человека с зеленым флуоресцентным белком (β2M-sfGFP). НЧ/МЧ на основе ПМК и ее блок-сополимера с поли(этиленгликолем) (ПЭГ-б-ПМК) были выбраны в качестве объектов исследования, поскольку они активно изучаются в качестве носителей лекарств, антигенов и ловушек для связывания патогенов in vivo. Кроме того, ПМК и ПЭГ-б-ПМК одобрены для получения биомедицинских материалов и их клинического использования [19, 20].
МАТЕРИАЛЫ И МЕТОДЫ
Синтез ПМК и ПЭГ-б-ПМК
Гомополимер ПМК и сополимер ПЭГ-б-ПМК получали методом полимеризации с раскрытием цикла D, L-лактида по ионно-координационному механизму в вакууме. В качестве инициаторов для синтеза сополимера использовали монометиловый эфира ПЭГ (Мn = 5000), а для гомополимера – воду. В качестве катализатора полимеризации использовали октоат олова (II). Мольные соотношения реагентов: [D, L-лактид]:[Sn(Oct)2] = 920, [D, L-лактид]:[H2O] = 300 и [D, L–LD]:[mPEG-OH] = 1500. Полимеризацию проводили в течение 1 ч при температуре 130 °C. Структуры полимеров подтверждали методом 1Н ЯМР-спектроскопии [21]. Средневесовую молекулярную массу (Мw) и дисперсность (Đ) полимеров определяли методом гель проникающей жидкостной хроматографии с использованием хроматографической системы Shimadzu LC-20 Prominence (Япония) с рефрактометрическим детектором RID10-A и колонкой Agilent PLgel MIXED-D (5 мкм, 7.5 мм × 300 мм). Для калибровки колонки использовали стандартные образцы полистирола с молекулярными массами в диапазоне от 2000 до 450000 (Waters, США). Анализ проводили в тетрагидрофуране при температуре 40 °C. Характеристики полученных полимеров: ПМК – Мw = 23200, Đ = 1.13; ПЭГ-б-ПМК – Мw = 55000, Đ = 30300, Đ = 1.2.
Получение микрочастиц на основе ПМК и ПЭГ-б-ПМК
Формирование МЧ осуществляли методом одинарной эмульсии. Органическая фаза состояла из растворов ПМК или ПЭГ-б-ПМК в дихлорметане (50 мг/мл). В случае МЧ в качестве водной фазы использовали 1 %-й раствор поли(винилового спирта) (ПВС) в дистиллированной воде (Mw = 130000, степень гидролиза 99 %). Эмульсию получали, диспергируя органическую фазу в водной с помощью ультразвукового гомогенизатора Sonopuls HD2070 с микрозондом MS73 диаметром 3 мм (Bandelin, Германия). Органическую фазу вводили в водную фазу со скоростью 2 мл/мин с помощью одноканального инфузионного насоса Инстилар 1438 (Диксион, Россия) при перемешивании с помощью магнитной мешалки (MR Hei-Mix S, Heidolph, Германия) со скоростью 800 об/мин. Дополнительно систему обрабатывали ультразвуком с использованием зондового гомогенизатора при мощности 18 % в течение 180 с (время введения органической фазы), затем повышали мощность УЗ-гомогенизатора до 35 % и обрабатывали систему еще в течение 90 с. Соотношение объемов органической и водной фаз составляло 1:20. Для формирования суспензии из системы удалили дихлорметан с использованием роторного испарителя (Hei-VAP Precision ML/G3B, Германия). Затем полученные частицы осаждали центрифугированием в течение 10 мин (10000 g, 4 °С). Далее системы редиспергировали под действием ультразвукового гомогенизатора при мощности 15 % в течение 7 с в дистиллированной воде и снова осаждали. Для удаления избытков ПВС процедуру промывания частиц водой повторяли дважды. Фракционирование частиц по размерам реализовали центрифугированием в течение 2 мин (1000 g, 4 °С). Для экспериментов использовали фракцию крупных частиц. Выход МЧ для ПМК составлял 52 %, а МЧ на основе сополимера ПЭГ-б-ПМК – 55 %.
Получение наночастиц на основе ПМК и ПЭГ-б-ПМК
Получение наночастиц на основе ПМК и ПЭГ-б-ПМК проводили методом наноосаждения (со)полимера из раствора в ацетонитриле в воду при интенсивном перемешивании, как описано нами ранее [21]. Концентрация полимеров в органической фазе составляла 5 мг/мл. Соотношение органической фазы к водной составляло 1/5. Введение органической фазы в водную проводилось при скорости 2 мл/мин и скорости перемешивания 900 об/мин. Систему оставляли открытой при перемешивании в течение 24 ч (23 °C) для удаления органического растворителя. Выход НЧ на основе ПМК составил 81 %, а для ПЭГ-б-ПМК – 93 %.
Изучение характеристик полученных микро- и наночастиц
Измерение гидродинамического диаметра (DH) и индекса полидисперсности (ИПД), а также ζ-потенциала наночастиц проводили методом динамического и электрофоретического рассеяния света с использованием прибора Zetasizer Nano-ZS (Malvern Instruments Ltd., Великобритания) при рассеивающем угле 173° и температуре 25 °C. Анализ результатов измерения проводился в автоматическом режиме при использовании штатного программного обеспечения прибора Malvern Nano-ZS. Измерения проводили в воде при концентрации наночастиц 0.1–0.2 мг/мл. Все измерения проводили не менее 3-х раз.
Ковалентная иммобилизация белка на поверхности нано- и микрочастиц
Для иммобилизации белка β2M-sfGFP на поверхности МЧ и НЧ на основе ПМК и ПЭГ-б-ПМК осуществляли модификацию поверхности частиц, состоящую из 3 стадий. На первой стадии на поверхности МЧ и НЧ генерировали свободные карбоксильные группы путем частичного щелочного гидролиза ПМК: для НЧ 0.01 М раствором NaOH в течение 15 мин, а для МЧ раствором 0.1 М NaOH в течение 30 мин при комнатной температуре (25 °C) [22]. Далее НЧ очищали в течении 1 ч посредством диализа против дистиллированной воды, а МЧ отделяли центрифугированием и дважды промывали дистиллированной водой с последующим центрифугированием в течение 10 мин (10000 g, 4 °С) и редиспергированием в течение 7 с. На второй стадии проводили активацию свободных карбоксильных групп. Для этого полученные карбоксилированные МЧ и НЧ инкубировали в 0.005 М буферном растворе 2-(N-морфолино)этансульфоновой кислоты (рН 5.4), содержащей N-гидроксисукцинимид (N-ГС), в течение 10 мин. После этого в систему добавляли аликвоту (N-3-диметиламинопропил)-N-этилкарбодиимида гидрохлорида (КДИ) и проводили реакцию в течение 30 мин при перемешивании (Biosan Multi RS-60, Латвия) со скоростью 30 об/мин (КДИ: N-ГС = 1:2, моль/моль). От избытка непрореагировавших реагентов НЧ и МЧ промывали так же, как описано выше для первой стадии. Далее к частицам, содержащим на поверхности активированные сложноэфирные группы, добавляли белок β2M-sfGFP. Для иммобилизации белка на поверхности МЧ брали 1.09 мг β2M-sfGFP и 160 мг частиц, максимальная теор. емкость – 6.8 мкг/мг. Для иммобилизации белка на поверхности НЧ брали 1.6 мг белка на 160 мг НЧ, максимальная теор. емкость – 10 мкг/мг. Время иммобилизации для систем с МЧ составило 2 ч, а для НЧ 1 ч, процесс осуществляли в 0.01M боратном буферном растворе (pH 8.5) при перемешивании cо скоростью 20 об/мин (Biosan Multi RS-60, Латвия). После окончания иммобилизации белка, МЧ центрифугировали и отмывали 5 раз 0.01 М фосфатно-солевым буферным раствором (ФСБ, рН 7.4). Для удаления непрореагировавшего белка в случае НЧ использовали метод ультрафильтрации (модули для ультрафильтрации Amicon 100 кДа), заменяя водную фазу на ФСБ, рН 7.4, в течение 5 циклов ультрафильтрации. Измерение концентрации β2M-sfGFP белка анализировали спектрофотометрически (ThermoScientific NanoDrop 2000, США) по поглощению на длине волны 490 нм. Количество ковалентно иммобилизованного белка рассчитывали по разнице массы белка в исходных растворах, взятых для иммобилизации, и массы несвязавшегося белка, рассчитанной по результатам анализа надосадочной жидкости и промывных растворов, собранных после проведения иммобилизации.
Синтез, выделение и очистка рекомбинантного белка β2M-sfGFP
Белок β2M-sfGFP получали из клеток E. coli штамма BL21(DE3), трансформированных плазмидой, содержащей ген слитого белка β2-микроглобулина человека с зеленым флуоресцентным белком [23]. Культивирование проводили в условиях аэрации при 37 °C до достижения оптической плотности А600 = 0.6–1.0. Синтез β2M-sfGFP индуцировали добавлением изопропил-β-D-1-тиогалактопиранозида до конечной концентрации 250 мкМ, культивирование продолжали в течение ночи при 37 °C в условиях аэрации. Бактериальные клетки отделяли от среды культивирования центрифугированием в течение 15 мин при 10000 g и однократно отмывали физиологическим раствором с последующим осаждением при 10000 g. К отмытому клеточному осадку добавляли раствор PBS, содержащий 10мМ имидазола. Клетки разрушали ультразвуком (частотой 3 кГц 3 интервала по 30 с) на холоде. После разрушения бактериальных клеток суспензию центрифугировали в течение 15 мин при 30000 g. Профильтрованный супернатант подвергали хроматографической очистке на металл-хелатном никелевом сорбенте Ni-NTA Agarose (50–150 мкм, Invitrogen, ThermoFisher, США). Концентрацию полученного белка определяли по поглощению при длине волны 490 нм. Чистоту полученных белковых препаратов оценивали методом электрофореза в полиакриламидном геле в присутствии додецилсульфата натрия или без денатурации. Для измерения концентрации полученного белка использовали спектрофотометр Thermo Scientific NanoDrop 2000. Поглощение измеряли при длине волны 490 нм.
Иммунизация и получение сыворотки крови мышей
В работе были использованы самки-гибриды F1 (CBA x C57BL), масса которых в среднем составляла 20–25 г (возраст 4–6 месяцев). Мышей содержали в виварии при комнатной температуре и режиме освещения 12/24 ч, с предоставлением корма и воды. Для изучения влияния исследуемого препарата на иммунный ответ препараты мышам вводили внутрибрюшинно. Количество препарата рассчитывали исходя из того, чтобы количество белка β2M-sfGFP составляло 1 мкг на 1 мышь. Препараты вводились в физрастворе в объеме 0.4 мл на животное. Вся работа выполнялась в соответствии с международными рекомендациями (этическим кодексом) по проведению медико-биологических исследований с использованием животных. Иммунизацию экспериментальных животных проводили в 4 этапа с интервалом в 2 недели.
Иммуноферментный анализ
Анализ содержания специфических антител к sfGFP в сыворотках иммунизированных мышей осуществляли согласно разработанному нами ранее протоколу иммуноферментного анализа (ИФА) [24]. В лунки 96-луночного планшета вносили раствор глутарового альдегида. Инкубировали 1 ч, затем в лунки вносили по 100 мкл раствора sfGFP. Спустя 1 ч вносили раствор обезжиренного молока с добавлением 0.5 % Tween 20. Далее в лунки планшета вносили сыворотки мышей, через 1 ч – специфические антитела, конъюгированные с пероксидазой хрена. Спустя еще 1 ч – проявитель и измеряли поглощение в лунках планшета при длине волны 450 нм с помощью мультимодального ридера. При выполнении ИФА внутри одного периода иммунизации (2, 4, 6 или 8 неделя) брались одинаковые разведения мышиных сывороток. В частности, разведение для срока 2 недели составляло 1/125, для срока 4 недели – 1/250, для срока 6 недель – 1/1000, для срока 8 недель – 1/2000. Концентрацию белка измеряли на спектрофотометре NanoDrop 2000 (Thermo Scientific, США). Измерение производили в капле жидкости (2 мкл). Относительное содержание антител в экспериментальных группах определяли путем отнесения оптической плотности, измеренной в образцах экспериментальных групп, к оптической плотности в образцах соответствующих контрольных групп.
Статистическая обработка данных
Для попарного сравнения групп использовали критерий Ньюмена – Кейлса. Проверку на нормальность осуществляли при помощи критерия Шапиро – Уилка. Все статистические расчеты и построение графиков были выполнены в программе Rstudio 1.1.453. Все графики box plot представлены в виде медиан с доверительными интервалами.
РЕЗУЛЬТАТЫ ИССЛЕДОВАНИЯ
Получение микро- и наночастиц на основе поли(молочной кислоты) с иммобилизованным модельным белком β2M-sfGFP
С целью сравнения влияния МЧ и НЧ одинаковой природы, как носителей белков, на гуморальный иммунный ответ в данной работе были получены МЧ и НЧ на основе ПМК и ПЭГ-б-ПМК. Для обоих полимеров МЧ были получены методом одинарной эмульсии, тогда как НЧ – методом наноосаждения. Последний не требует применения стабилизаторов (ПАВ), а НЧ формируются с узким распределением по размерам. Характеристики полученных полимерных частиц представлены в таблице 1. Для обоих полимеров гидродинамический диаметр (DH) МЧ составлял около 1400 нм, а для НЧ значения DH были близки к 100 нм.
Таблица 1. Характеристики исходных и модифицированных белком нано- и микрочастиц на основе ПМК и ПЭГ-б-ПМК.
| Вид частиц | Характеристики исходных полимерных частиц | Характеристики частиц, модифицированных белком | ||||||
| DH (нм) | ИПД | Дзета-потенциал (мВ) | Qим. (мкг белка/мг частиц) | DH (нм) | ИПД | Дзета-потенциал (мВ) | ||
| МЧ | ПМК | 1396 | 0.32 | –37 ± 6 | 2.32 | 1432 | 0.36 | –42 ± 3 | 
| ПЭГ-б-ПМК | 1355 | 0.27 | –31 ± 5 | 1.94 | 1538 | 0.38 | –37 ± 4 | |
| НЧ | ПМК | 110 | 0.09 | –36 ± 3 | 9.40 | 127 | 0.22 | –41 ± 4 | 
| ПЭГ-б-ПМК | 75 | 0.08 | –32 ± 5 | 9.80 | 83 | 0.21 | –39 ± 6 | |
В качестве модельного белка был выбран рекомбинантный белок слияния бета2-микроглобулин человека с зеленым флуоресцентным белком Superfolder (β2M-sfGFP). Ранее нами было показано, что эффективность иммобилизации данного модельного белка на поверхности микрочастиц выше, чем у зеленого флуоресцентного белка (sfGFP) [25]. Иммобилизацию белка проводили за счет реакции активированных сложных эфиров, полученных на поверхности МЧ и НЧ путем активации предварительно сгенерированных карбоксильных групп с аминогруппами белка. Иммобилизация белка на поверхности НЧ и МЧ приводила к увеличению гидродинамического диаметра наночастиц, индекса полидисперсности (ИПД) и снижению дзета-потенциала (таблица 1). Эффективность иммобилизации белка на поверхности МЧ составляла около 30 % и превышала 90 % в случае НЧ. Более высокая иммобилизационная емкость в случае НЧ обусловлена большей удельной площадью поверхности в единице массы по сравнению с МЧ.
Изучение иммуногенности белка β2М-sfGFP, иммобилизованного на поверхности полимерных нано- и микрочастиц
Для изучения влияния типа частиц на иммуногенность модельного белка β2М-sfGFP, иммобилизованного на поверхности частиц (комплексный антиген), была проведена иммунизация 8 равных по численности групп мышей. Иммунизация мышей проводилась по схеме, представленной на рис. 1.
Рис. 1. Схема эксперимента по изучению иммуногенности белка β2М-sfGFP в составе комплексных антигенов с НЧ и МЧ на основе ПМК и ПЭГ-б-ПМК.
Суммарно иммунизации были подвергнуты 320 мышей, поделенные на 2 группы в зависимости от типа полимера, а именно ПМК или ПЭГ-б-ПМК. Каждая из этих групп была разделена еще на 2 группы по размеру полимерных частиц, а именно НЧ и МЧ. В свою очередь, для каждой из этих 4 групп были созданы контроли, в которых белок β2М-sfGFP находился в виде смеси с полимерными частицами (контрольные группы). Иммунизацию животных проводили 4-кратно с интервалами в 2 недели c забором крови у мышей из щечной вены спустя 13 дней после каждой иммунизации.
Гуморальный иммунный ответ
В качестве системы детекции иммунного ответа использованы sfGFP и антитела к нему. Для оценки содержания специфических антител к sfGFP в сыворотке крови мышей был использован метод ИФА. При помощи критерия Шапиро – Уилка было установлено, что в каждой группе распределение не было нормальным (p < 0.001). Поэтому для попарного сравнения восьми групп использовали непараметрический статистический критерий Ньюмена – Кейлса.
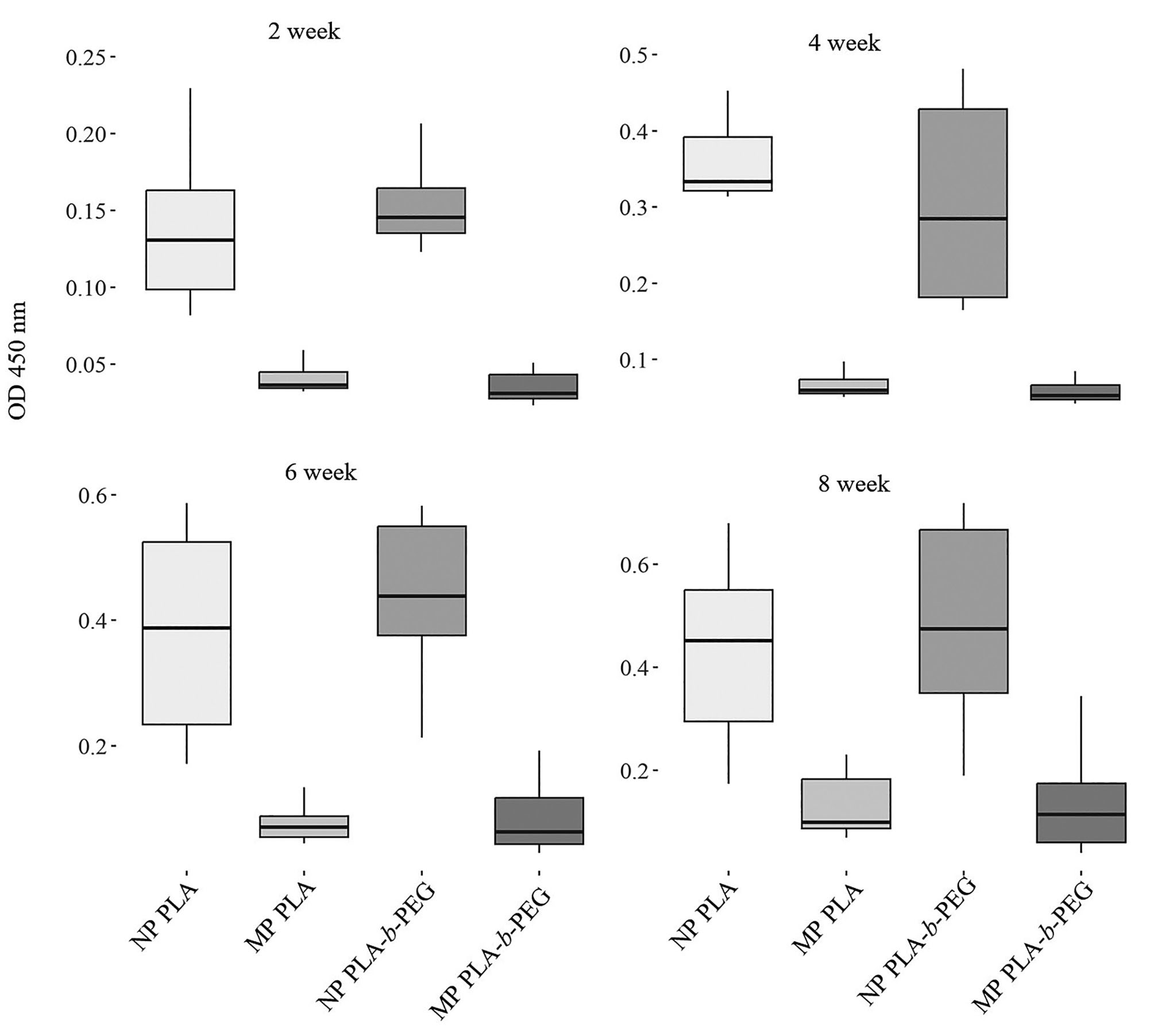
Нами было проанализировано влияние размера полимерных НЧ и МЧ, а также введение блока ПЭГ в состав ПМК на иммуногенность связанного с ними белка на всех этапах иммунизации (рис. 2). Установлено, что уровень антител к sfGFP был значимо выше (p < 0.001) в группах экспериментальных животных, подвергшихся иммунизации комплексным антигеном в виде НЧ ПМК или НЧ ПЭГ-б-ПМК, содержащих на поверхности белок β2М-sfGFP, по сравнению с группами, в которых иммунизация проводилась с использованием комплексного антигена на основе МЧ ПМК или МЧ ПЭГ-б-ПМК с иммобилизованным на поверхности белком. При этом количество антител к sfGFP статистически не отличалось (p > 0.05) между группами, в которых животные подверглись иммунизации частицами одного размера, но с разным составом полимеров (НЧ ПМК и НЧ ПЭГ-б-ПМК; МЧ ПМК и МЧ ПЭГ-б-ПМК соответственно). Таким образом, введение блока ПЭГ в состав ПМК не оказывало влияния на иммуногенность связанного с ними белка, в отличие от размера частиц на основе тех же полимеров.
Рис. 2. Тенденции в изменении уровня специфических антител против модельного белка в сыворотках крови мышей, иммунизированных антигенами различного состава и размера (оптические плотности растворов внутри каждого срока измерены при одинаковом разведении сывороток крови).
Также был произведен статистический анализ контрольных групп (смесь белка β2M-sfGFP и с каждым из типов немодифицированных частиц, соответственно). Как и в наших предыдущих исследованиях [26], было установлено, что уровень специфических антител к sfGFP в сыворотке крови был значимо ниже (p < 0.01) в случае иммунизации комплексным антигеном, состоящим из белка ковалентно конъюгированного с полимерными частицами, по сравнению с физической смесью белка и частиц.
Уровень специфических антител к sfGFP в сыворотке крови во всех контрольных группах статистически не отличался (p > 0.05) после каждого этапа иммунизации. На рисунке 3 представлены кумулятивные результаты относительного содержания специфических антител к модельному белку после каждой стадии иммунизации мышей комплексными антигенами на основе НЧ ПМК и МЧ ПМК. В опытных группах содержание антител к модельному белку было ниже по сравнению с контрольными группами. При этом в опытных группах комплексные антигены, полученные с использованием частиц меньшего размера (НЧ), демонстрировали большую иммуногенность по сравнению с комплексными антигенами, полученными на основе более крупных частиц (МЧ). При иммунизации мышей комплексными антигенами, полученными на основе МЧ/НЧ ПЭГ-б-ПМК картина распределения специфических антител была аналогичной.
Рис. 3. Оценка относительного содержания специфических антител после введения антигена, находящегося на поверхности микро- и наночастиц на основе поли(молочной кислоты) во всех четырех иммунизациях. Данные представлены в виде средних значений с доверительными интервалами. ● – Конъюгат белка с НЧ ПМК; ▲ – Смесь белка с НЧ ПМК; ■ – Конъюгат белка с МЧ ПМК; + – Смесь белка МЧ ПМК.
ОБСУЖДЕНИЕ РЕЗУЛЬТАТОВ
При внутрибрюшинном введении мышам модифицированных модельными белками частиц индуцируется менее выраженный гуморальный иммунный ответ по сравнению со смесью частиц с белком (контроль). Выраженность гуморального иммунного ответа зависит от размеров частиц. Частицы с диаметром 1400 нм оказались менее эффективны в плане выработки специфических антител против модельного белка, чем частицы с диаметром 100 нм. При этом состав частиц (ПМК, ПМК-ПЭГ), в отличие от их размеров, не влияет на выраженность гуморального иммунного ответа. В свою очередь, ранее более выраженный специфический клеточный иммунный ответ был обнаружен в опытных группах мышей, которые были иммунизированы конъюгатом модельного белка и микрочастиц, по сравнению с контрольными группами мышей, которые были иммунизированы смесью модельного белка и микрочастиц [27]. При этом показано, что микрочастицы эффективно поглощаются макрофагами [25]. Таким образом, можно заключить, что с точки зрения применения полимерных частиц для создания “ловушек” для связывания вирусов и патогенов перспективнее использовать полимерные МЧ (DH > 1000 нм). Последние, будучи модифицированы антителами/рецепторными белками, способными связываться с вирусными антигенными белками, вызывают в основном активацию клеточного иммунного ответа, что актуально при борьбе с тяжелыми формами вирусной инфекции и хроническими вирусными инфекциями. В перспективе такие “системы-ловушки”, связывающие проникшие в организм вирусы, могут процессироваться антиген-представляющими клетками, что будет способствовать запуску противовирусного иммунного ответа. При этом использование таких частиц не зависит от антигенного репертуара вируса, поскольку они направлены на связывание мало изменяющихся поверхностных белков вирусных частиц.
НЧ (~100 нм), несущие на поверхности иммобилизованные белки, вызывают, в основном, сильный гуморальный иммунный ответ и выработку специфических иммуноглобулинов. Вследствие этого, НЧ наиболее перспективны для разработки вакцин против тех или иных вирусных инфекций. В случае применения их в качестве систем доставки риск выработки антител на белок, используемый в качестве вектора для доставки и связанный с поверхностью НЧ, также существует. Минимизировать процесс нежелательной иммуногенности можно, выбирая в качестве векторов для адресной доставки низкомолекулярные вещества, пептиды и неиммуногенные белки, идентифицируемые организмом как “свои”.
ВКЛАДЫ АВТОРОВ
Идея работы и планирование эксперимента (Д.С.П., В.А.К.-В., Е.Г.К.-В., М.М.Ш.), экспериментальная работа (Р.Г.С., Д.С.П., Е.С.С., И.О.Б. и В.А.К.-В.), сбор данных (Р.Г.С., Д.С.П., В.А.К.-В.), обработка данных (Р.Г.С., Д.С.П., Е.Г.К.-В., И.О.Б.), написание и редактирование манускрипта (Р.Г.С., Е.Г.К.-В., В.С.Т., Е.С.С. и М.М.Ш.).
СОБЛЮДЕНИЕ ЭТИЧЕСКИХ СТАНДАРТОВ
Все процедуры, выполненные в исследованиях с участием животных, соответствовали этическим стандартам, утвержденным правовыми актами РФ, принципам Базельской декларации и рекомендациям Локального этического комитета Института экспериментальной медицины (выписка из протокола № 3/19 от 25.04.2019).
ФИНАНСИРОВАНИЕ РАБОТЫ
Работы по получению МЧ и НЧ на основе ПМК и ПЭГ-б-ПМК, их карбоксилированию, ковалентной иммобилизации белка на поверхности частиц, а также характеризации полученных полимерных систем выполнены при финансовой поддержке Российского научного фонда (проект № 21–73–20104). Работы по получению модельных рекомбинантных белков, иммунизации и определению уровня антител выполнены в рамках государственных заданий Министерства науки и высшего образования РФ: НИР № FGWG-2022–0009 (рег. № НИОКТР 122020300191–9).
КОНФЛИКТ ИНТЕРЕСОВ
Авторы декларируют отсутствие явных и потенциальных конфликтов интересов, связанных с публикацией данной статьи.
作者简介
R. Sakhabeev
St. Petersburg State Technological Institute (Technical University)
							编辑信件的主要联系方式.
							Email: helm505@mail.ru
				                					                																			                												                	俄罗斯联邦, 							St. Petersburg						
D. Polyakov
Institute of Experimental Medicine
														Email: helm505@mail.ru
				                					                																			                												                	俄罗斯联邦, 							St.-Petersburg						
E. Sinitsyna
Institute of Macromolecular Compounds, Russian Academy of Sciences
														Email: helm505@mail.ru
				                					                																			                												                	俄罗斯联邦, 							St. Petersburg						
V. Korzhikov-Vlakh
Institute of Macromolecular Compounds, Russian Academy of Sciences; Saint-Petersburg State University
														Email: helm505@mail.ru
				                					                																			                												                	俄罗斯联邦, 							St. Petersburg; St. Petersburg						
I. Bagaeva
Saint-Petersburg State University
														Email: helm505@mail.ru
				                					                																			                												                	俄罗斯联邦, 							St. Petersburg						
E. Korzhikova-Vlakh
Institute of Macromolecular Compounds, Russian Academy of Sciences
														Email: helm505@mail.ru
				                					                																			                												                	俄罗斯联邦, 							St. Petersburg						
T. Ses
First Pavlov State Medical University Of St Petersburg
														Email: helm505@mail.ru
				                					                																			                												                	俄罗斯联邦, 							St. Petersburg						
V. Tereshina
St. Petersburg State Technological Institute (Technical University)
														Email: helm505@mail.ru
				                					                																			                												                	俄罗斯联邦, 							St. Petersburg						
M. Shavlovsky
Institute of Experimental Medicine
														Email: helm505@mail.ru
				                					                																			                												                	俄罗斯联邦, 							St.-Petersburg						
参考
- Basinska T, Gadzinowski M, Mickiewicz D, Slomkowski S (2021) Functionalized Particles Designed for Targeted Delivery. Polymers (Basel) 13:2022. https://doi.org/10.3390/polym13122022
- Kaba SA, Brando C, Guo Q, Mittelholzer C, Raman S, Tropel D, Aebi U, Burkhard P, Lanar DE (2009) A Nonadjuvanted Polypeptide Nanoparticle Vaccine Confers Long-Lasting Protection against Rodent Malaria. J Immunol 183:7268–7277. https://doi.org/10.4049/jimmunol.0901957
- Cappellano G, Abreu H, Casale C, Dianzani U, Chiocchetti (2021) Nano-Microparticle Platforms in Developing Next-Generation Vaccines. Vaccines 9:606. https://doi.org/10.3390/vaccines9060606
- Polyakov D, Sinitsyna E, Grudinina N, Antipchik M, Sakhabeev R, Korzhikov-Vlakh V, Shavlovsky M, Korzhikova-vlakh E, Tennikova T (2021) Polymer Particles Bearing Recombinant LEL CD81 as Trapping Systems for Hepatitis C Virus. Pharmaceutics 13: 672. https://doi.org/10.3390/pharmaceutics1305067
- Guryanov I, Cipriani S, Fiorucci S, Zashikhina N, Marchianò S, Scarpelli P, Korzhikov-Vlakh V, Popova E, Korzhikova-Vlakh E, Biondi B, Formaggio F, Tennikova T (2017) Nanotraps with biomimetic surface as decoys for chemokines. Nanomedicine Nanotechnology, Biol Med 13:2575–2585. https://doi.org/10.1016/j.nano.2017.07.006
- Bajracharya R, Song JG, Patil BR, Lee SH, Noh H-M, Kim D-H, Kim G-L, Seo S-H, Park J-W, Jeong SH, Lee CH, Han H-K (2022) Functional ligands for improving anticancer drug therapy: current status and applications to drug delivery systems. Drug Deliv 29:1959–1970. https://doi.org//10.1080/10717544.2022.2089296
- Islam Y, Leach AG, Smith J, Pluchino S, Coxonl CR, Sivakumaran M, Downing J, Fatokun AA, Teixidò M, Ehtezazi T (2020) Peptide based drug delivery systems to the brain. Nano Express 1:012002. https://doi.org/10.1088/2632-959X/ab9008
- Sinyakov MS, Dror M, Lublin-Tennenbaum T, Salzberg S, Margel S, Avtalion RR (2006) Nano- and microparticles as adjuvants in vaccine design: Success and failure is related to host natural antibodies. Vaccine 24:6534–6541. https://doi.org/10.1016/j.vaccine.2006.06.021
- Jiskoot W, van Schie RMF, Carstens MG, Schellekens H (2009) Immunological Risk of Injectable Drug Delivery Systems. Pharm Res 26:1303–1314. https://doi.org/10.1007/s11095-009-9855-9
- Alqahtani MS, Syed R, Alshehri M (2020) Size-Dependent Phagocytic Uptake and Immunogenicity of Gliadin Nanoparticles. Polymers (Basel) 12:2576. https://doi.org/10.3390/polym12112576
- Baranov M V., Kumar M, Sacanna S, Thutupalli S, van den Bogaart G (2021) Modulation of Immune Responses by Particle Size and Shape. Front Immunol 11:607945. https://doi.org/10.3389/fimmu.2020.607945
- Ulery BD, Nair LS, Laurencin CT (2011) Biomedical applications of biodegradable polymers. J Polym Sci Part B Polym Phys 49:832–864. https://doi.org/10.1002/polb.22259
- Seyednejad H, Ghassemi AH, Van Nostrum CF, Vermonden T, Hennink WE (2011) Functional aliphatic polyesters for biomedical and pharmaceutical applications. J Control Release 152:168–176. https://doi.org/10.1016/j.jconrel.2010.12.016
- Lee D, Rejinold N, Jeong S, Kim Y-C (2018) Stimuli-Responsive Polypeptides for Biomedical Applications. Polymers (Basel) 10:830. https://doi.org/10.3390/polym10080830
- Farasati Far B, Naimi-Jamal MR, Safaei M, Zarei K, Moradi M, Yazdani Nezhad H (2022) A Review on Biomedical Application of Polysaccharide-Based Hydrogels with a Focus on Drug Delivery Systems. Polymers (Basel) 14:5432. https://doi.org/10.3390/polym14245432
- Butcher NJ, Mortimer GM, Minchin RF (2016) Unravelling the stealth effect. Nat Nanotechnol 11:310–311. https://doi.org/10.1038/nnano.2016.6
- Suk JS, Xu Q, Kim N, Hanes J, Ensign LM (2016) PEGylation as a strategy for improving nanoparticle-based drug and gene delivery. Adv Drug Deliv Rev 99(Pt A):28–51. https://doi.org/10.1016/j.addr.2015.09.012.
- Romberg B, Metselaar J, Baranyi L, Snel C, Bunger R, Hennink W, Szebeni J, Storm G (2007) Poly(amino acid)s: Promising enzymatically degradable stealth coatings for liposomes. Int J Pharm 331:186–189. https://doi.org/10.1016/j.ijpharm.2006.11.018
- Wang Yan, Wen Qu, Choi H Stephanie (2016) FDA’s Regulatory Science Program for Generic PLA/ PLGA-Based Drug Products. Am Pharm Rev June 15:188841.
- Elmowafy EM, Tiboni M, Soliman ME (2019) Biocompatibility, biodegradation and biomedical applications of poly(lactic acid)/poly(lactic-co-glycolic acid) micro and nanoparticles. J Pharm Investig 2019 494 49:347–380. https://doi.org/10.1007/s40005-019-00439-x
- Sinitsyna E, Bagaeva I, Gandalipov E, Fedotova E, Korzhikov-Vlakh V, Tennikova T, Korzhikova-Vlakh E (2022) Nanomedicines Bearing an Alkylating Cytostatic Drug from the Group of 1,3,5-Triazine Derivatives: Development and Characterization. Pharmaceutics 14:2506. https://doi.org/10.3390/pharmaceutics14112506
- Korzhikov-Vlakh V, Averianov I, Sinitsyna E, Nashchekina Y, Polyakov D, Guryanov I, Lavrentieva A, Raddatz L, Korzhikova-Vlakh E, Scheper T, Tennikova T (2018) Novel Pathway for Efficient Covalent Modification of Polyester Materials of Different Design to Prepare Biomimetic Surfaces. Polymers (Basel) 10:1299. https://doi.org/10.3390/polym10121299
- Solovyov KV., Polyakov DS, Grudinina NA, Egorov V V., Morozova I V., Aleynikova TD, Shavlovsky MM (2011) Expression in E. coli and purification of the fibrillogenic fusion proteins ttr-sfgfp and β2M-sfGFP. Prep Biochem Biotechnol 41:337–349. https://doi.org/10.1080/10826068.2010.548433
- Polyakov DS, Antimonova OI, Sakhabeev RG, Grudinina NA, Khodova AE, Sinitsyna ES, Korzhikov-Vlakh VA, Tennikova TB, Shavlovsky M (2017) Poly(lactic acid) nanoparticles influence on immunogenicity of the protein bound with them. Russ J Infect Immun 7: 123–129. https://doi.org/10.15789/2220-7619-2017-2-123-129.
- Сахабеев РГ, Поляков ДС, Грудинина НА, Антимонова ОИ, Коржиков-Влах ВА, Аликпарова ЭР, Синицына ЕС, Шавловский ММ (2023) Фагоцитоз иммунными клетками полимерных микрочастиц, модифицированных белками. Цитология 65:376–383. [Sakhabeev RG, Polyakov DS, Grudinina NA, Antimonova OI, Korzhikov-Vlakh VA, Alikparova ER, Sinitsyna ES, Shavlovsky MM (2023) Phagocytosis of protein-modified polymer microparticles by immune cells. Cytology 65:376–383. (In Russ)]. https://doi.org/10.31857/S0041377123040119
- Сахабеев РГ, Поляков ДС, Грудинина НА, Вишня АА, Козловская АА, Синицына ЕС, Коржиков-Влах ВА, Тенникова ТБ, Шавловский ММ (2019) Гуморальный иммунный ответ на антиген, иммобилизованный на наночастицах из сополимера поли(молочной кислоты) и полиэтиленгликоля. Мол мед 17:32–36. [Sakhabeev RG, Polyakov DS, Grudinina NA, Vishnya AA, Kozlovskaia AA, Sinitsyna ES, Korzhikov-Vlakh VA, Tennikova TB, Shavlovsky MM (2019) The humoral immune response to the antigen immobilized on nanoparticles of copolymer of polylactic acid and polyethylene glycol. Mol med 17:32–36. (In Russ)]. https://doi.org/10.29296/24999490-2019-03-06
- Сахабеев РГ, Поляков ДС, Гошина АД, Вишня АА, Кудрявцев ИВ, Синицына ЕС, Коржиков-Влах ВА, Тенникова ТБ, Шавловский ММ (2021) Усиление специфического Т-клеточного иммунного ответа при иммобилизации антигена на микро- и наночастицах. Инф иммун 11(4):777–783. [Sakhabeev RG, Polyakov DS, Goshina AD, Vishnya AA, Kudryavtsev IV, Sinitcina ES, Korzhikov-Vlakh VА, Tennikova TB, Shavlovsky MM (2021) Enhancing the specific T cell immune response against micro- and nanoparticle immobilized antigen. Russ J Infect Immun 11(4):777–783. (In Russ)]. https://doi.org/10.15789/2220-7619-ETS-1374
补充文件
 
				
			 
						 
						 
						 
						 
					 
				
 
  
  
  电邮这篇文章
			电邮这篇文章 



