Administration of the immune response to spinal cord injury in zebrafish by extracellular vesicles secreted by activated monocyte-like cells
- Authors: Sambur D.B.1, Kalinina O.V.1, Aquino A.D.1, Tirikova P.V.1, Koroleva E.E.1, Trulioff A.S.2, Rubinshtein A.A.1,2, Murashova L.A.1, Kudryavtsev I.V.1,2, Golovkin A.S.1
-
Affiliations:
- Federal State Budgetary Institution “Almazov National Medical Research Center”
- Federal State Budgetary Institution “Institute of Experimental Medicine”
- Issue: Vol 60, No 1 (2024)
- Pages: 85-104
- Section: EXPERIMENTAL ARTICLES
- URL: https://journals.rcsi.science/0044-4529/article/view/260422
- DOI: https://doi.org/10.31857/S0044452924010072
- EDN: https://elibrary.ru/ZFKZWG
- ID: 260422
Cite item
Full Text
Abstract
The immune response to spinal cord injury is realized by local and systemic inflammation, followed by repair and restoration of the function of damaged organs. The opportunity to control pro-inflammatory activity and stimulate regenerative processes is an important aspect of the research. Extracellular vesicles (EVs) secreted by activated monocyte-like cells may be a useful tool to drive the polarization of the immune response towards M1 or M2. The aim of the study was to investigate the systemic effects of extracellular vesicles, produced by activated monocyte-like cells of the THP-1 line, after spinal cord injury in zebrafish. It was shown that intracoelomic administration to Danio rerio fish with spinal cord injury of EVs secreted by THP-1 cells, activated by the tumor necrosis factor (TNF), led to a proinflammatory effect, manifested by an increase in the expression of il-6 and tnf-α genes in the brain tissue, and to a less pronounced change in activity in the tissues of the heart, liver and kidney. In the same time, EVs, secreted by unactivated THP-1 cells as well as activated by the phorbol-12- myristate-13-acetate (PMA), did not show any activity. Thus, it was demonstrated that extracellular vesicles secreted by activated monocyte-like cells have the potential to influence on the polarization of the immune response after simulated spinal cord injury in zebrafish.
Full Text
ВВЕДЕНИЕ
Повреждение центральной нервной системы (ЦНС), черепно-мозговые травмы, травмы спинного мозга приводят к гибели нейронов и глии в очаге поражения и вызывают развитие воспалительной реакции [1]. На ранних этапах иммунного ответа вследствие нейротравмы происходит активация нейроглии (микроглия, астроциты и др.) [2–4], рекрутирование и инфильтрация периферических иммунных клеток (нейтрофилов, моноцитов, лимфоцитов) в очаг повреждения [2, 5], высвобождение DAMP (дистресс-ассоциированных молекулярных паттернов), таких как белки теплового шока (HSP), мочевая кислота, ДНК, РНК и др., которые, взаимодействуя с Toll-подобными и NOD-подобными рецепторами, способны запускать и усиливать процессы системного воспаления, в том числе и нейровоспаления [2, 6]. Активация клеток нейроглии и периферических иммунных клеток приводит к секреции провоспалительных цитокинов (фактор некроза опухолей альфа (TNF-α), интерлейкин-6 (IL-6), интерлейкин-1β (IL-1β)), которые представляют собой ранние эффекторы, вызывающие развитие постравматического воспаления [7]. Несмотря на то, что формирование нейровоспаления направлено на устранение повреждения, неконтролируемый воспалительный каскад способен приводить к вторичным повреждениям ЦНС, что часто препятствует функциональному восстановлению нервной ткани [2, 8]. Регулирование воспалительных реакций на ранних стадиях поражения ЦНС может быть эффективным методом нейропротекции [8].
При изучении механизмов развития и возможностей регуляции системного воспаления особое значение уделяют внеклеточным везикулам, как одним из ключевых факторов межклеточной коммуникации и регуляции различных биологических процессов, начиная от поддержания гомеостаза до развития и прогрессирования многих патологических состояний, в том числе воспалительных [9]. Внеклеточные везикулы в своем составе эффективно переносят различные регуляторные молекулы, такие как малые некодирующие РНК, длинные некодирующие РНК, кольцевые РНК, ДНК, ферменты, липиды, гормоны, цитокины и другие [2, 10–14]. В совокупности термин “внеклеточные везикулы” включает в себя три группы частиц, отличающихся между собой размером и механизмом образования: экзосомы имеют самый маленький размер от 30 до 150 нм, микровезикулы от 100 до 1000 нм, и наиболее крупными являются апоптотические тельца (>1000 нм) [2, 6]. Экзосомы образуются внутриклеточно путем отпочкования мембраны эндосом, формируя мультивезикулярные тельца, при слиянии последних с плазматической мембраной экзосомы высвобождаются во внеклеточное пространство [6]. В свою очередь, микровезикулы и апоптотические тельца формируются в результате прямого выпячивания и отпочковывания плазматической мембраны клетки [15]. В пределах ЦНС внеклеточные везикулы секретируются всеми основными популяциями клеток, такими как нейроны, астроциты, микроглия и олигодендроциты [6]. В нервной ткани ВВ способны регулировать работу нейронов, синаптическую пластичность, оказывать эффект на формирование и поддержание миелинизации, нейропротекции, распространение и клиренс токсичных белковых агрегатов [6, 16]. Ранее на крысиной модели с повреждением спинного мозга (spinal cord injury (SCI)) был показан потенциал внеклеточных везикул, продуцируемых нейральными стволовыми клетками (neural stem cell-derived extracellular vesicles), уменьшать апоптоз нейронов, ингибировать нейровоспаление и способствовать функциональному восстановлению крыс с моделью SCI путем активации аутофагии [17].
В последние годы маленькая тропическая рыба Danio rerio, в силу простоты и экономичности разведения, высоким содержанием генов-ортологов с Homo sapiens, стала входить в группу лидеров наиболее востребованных модельных организмов для изучения как физиологически нормальных, так и патологических состояний организма человека [9]. Особенно ценной моделью рыбы Danio rerio представляются для изучения процессов, происходящих в центральной нервной системе, поскольку анатомическая организация мозга этих рыб и протекающие в нём нейрохимические процессы во многом схожи с таковыми у млекопитающих [18]. Головной мозг рыб Danio rerio состоит из переднего, среднего и заднего мозга, подобно промежуточному мозгу, конечному мозгу и мозжечку млекопитающих. Сходство с млекопитающими обнаруживается также на клеточном уровне, так у рыб Danio rerio присутствуют такие типы клеток как астроциты, микроглия, олигодендроциты, клетки Пуркинье, миелин и мотонейроны. Более того в нервной ткани рыб содержатся и основные нейромедиаторы (ГАМК, серотонин, дофамин, ацетилхолин, гистамин и глутамат) [18, 19]. Например, на модели рыб Danio rerio были исследованы молекулярные механизмы нейровоспаления, лежащие в основе дефектов памяти, вызванных гипоксией, и показано, что глюкозамин (GlcN)-ассоциированный метаболический путь гексозамина может быть важной терапевтической мишенью при гипоксическом повреждении головного мозга [20]. Недавние исследования показали возможности использования рыб Danio rerio в качестве уникальной модели для изучения клеточных и молекулярных процессов регенерации нейронов после повреждения спинного мозга, в том числе пролиферации и миграции различных типов клеток в очаг повреждения, а также вовлечение в эти процессы клеток-предшественников. В свою очередь, это открывает перспективы для изучения новых подходов к терапии повреждений нервной ткани [21]. Ранее нами было показано, что интрацеломическое введение внеклеточных везикул, секретируемых моноцитоподобными клетками линии THP-1, оказывает системный эффект, проявляющийся изменением экспрессии генов провоспалительных il-1β, il-6, ifn-γ, tnf-α, mpx, mpeg1.1, mpeg1.2 и противовоспалительного il-10 цитокинов в тканях мозга, печени и сердца рыб Danio rerio [22].
Целью данного исследования было изучение системных эффектов внеклеточных везикул, продуцированных активированными моноцитоподобными клетками линии THP-1, при моделировании повреждения спинного мозга у рыб Danio rerio.
МЕТОДЫ ИССЛЕДОВАНИЯ
Общий дизайн исследования
В данном исследовании использованы три типа внеклеточных везикул, продуцируемые нестимулированными клетками THP-1 и после активации фактором некроза опухоли (TNF) (Biolegend, Калифорния, США) в конечной концентрации 20 нг/мл или 4-форбол-12-миристат-13-ацетатом (PMA) (Sigma Aldrich, Миссури, США) в конечной концентрации 50 нг/мл, которые были получены и подробно охарактеризованы ранее [23]. Кратко, комплексную характеристику образцов ВВ проводили согласно международным рекомендациям MISEV2018 [24]: иммунофенотипирование выполняли методом высокочувствительной многоцветной проточной цитометрии на лазерном цитометре CytoFLEX S (Beckman Coulter, Калифорния, США), размер и дисперсность оценивали методом динамического рассеяния света на приборе Nanolink SZ902M (Linkoptik, Китай), определение белкового состава (наличие CD9 и HSP70) осуществляли методом вестерн-блот (рис. 1a) [23].
Рис. 1. Общий дизайн исследования (описание в тексте).
Исследование эффектов внеклеточных везикул проводили на рыбах Danio rerio с моделью повреждения спинного мозга (рис. 1b). Образцы ВВ, ресуспендированные в DPBS без Ca2+ и Mg2+ (Биолот, Россия), вводили в целомическую полость рыбам через 24 ч после повреждения спинного мозга, и еще через сутки выводили из эксперимента. На всех этапах, начиная с 24 ч, проводили фиксирование случайно отобранных рыб из каждой группы в параформальдегиде и биобанкирование жизненно важных органов (мозг, сердце, печень и почку) (рис. 1b).
В дальнейшем осуществляли гистологическое исследование рыб Danio rerio (рис. 1c) и оценку уровня экспрессии генов, кодирующих провоспалительные и противовоспалительные цитокины, в жизненно важных органах рыб (рис. 1d).
Получение и характеристика внеклеточных везикул
Для получения образцов внеклеточных везикул использовали культуру опухолевых моноцитоподобных клеток линии ТНР-1 (“Российская коллекция клеточных культур института цитологии РАН”, Россия). Клетки THP-1 культивировали в питательной среде RPMI-1640 (“Биолот”, Россия) с добавлением L-глутамина (“Биолот”, Россия), 50мкг/мл сульфата гентамицина и 10% эмбриональной телячьей сыворотки (“Hyclone”, США) в СО2-инкубаторе (при 37 °C и 5% СО2) согласно стандартной методике, описанной ранее [23, 25]. Для активации клеток THP-1 200 мкл суспензии в концентрации 1×105 переносили в лунки 96-луночного планшета (Sarstedt, Германия) и воздействовали следующими стимулами: 4-форбол-12-миристат-13-ацетат (PMA) (Sigma Aldrich, Миссури, США) в концентрации 50 нг/мл, фактор некроза опухоли (TNF) (Biolegend, Калифорния, США) в концентрации 20 нг/мл, в качестве отрицательного контроля использовали раствор DPBS (р-р Дульбекко без Ca и Mg, Биолот, Россия). Далее обработанные клетки ТНР-1 культивировали в течение 24 часов в стандартных условиях [23, 25]. По истечении суток внеклеточные везикулы получали методом последовательного центрифугирования, согласно методике, описанной ранее [22]. Кратко, суспензию клеток осаждали сначала в течение 20 минут при 330g, далее надосадочную жидкость дважды центрифугировали в течение 20 минут при 1500g и однократно при 3000g. Полученный надосадок пропускали через фильтр Millex с диаметром пор 800 нм (Merck-Millipore, Массачусетс, США), центрифугировали в течение 30 минут при 16 000g и осадок ресуспендировали в 100 мкл DPBS без Ca и Mg (Биолот, Россия).
Размер и дисперсность полученных образцов внеклеточных везикул оценивали методом динамического рассеяния света на приборе Nanolink SZ902M (Linkoptik, Китай) при условиях, описанных нами ранее [22]. Внеклеточные везикулы охарактеризовали по следующим параметрам: размер объектов (peak size, нм), средняя Z (average Z, нм), индекс полидисперсности (polydispersity index – PdI) и стандартное отклонение (St. deviation, нм). Анализ полученных результатов проводили с помощью программного обеспечения Linkoptik Ver. 2.0.0.7.
Размер и концентрацию образцов ВВ оценивали методом анализа траектории наночастиц (Nanoparticle tracking analysis – NTA) на приборе NanoSight NS300 (Malvern Panalytical, UK) [22, 23]. Полученные изображения оценивали визуально с использованием программного обеспечения NTA 3.4 NanoSight (Malvern Panalytical, UK). Количество частиц анализировали в диапазонах размерности объектов 30–150 нм и 150–400 нм.
Иммунофенотипирование образцов внеклеточных везикул выполняли методом высокочувствительной мультицветовой проточной цитометрии на лазерном цитометре CytoFLEX S (Beckman Coulter, Калифорния, США). Окрашивание ВВ осуществляли следующими антителами, конъюгированными с флюорофорами: anti-CD54-PE (Beckman Coulter, Калифорния, США), Annexin V-FITC (Biolegend, Калифорния, США), anti-CD14-KromeOrange (Beckman Coulter, Калифорния, США), anti-CD9-PE/Cy7 (Beckman Coulter, Калифорния, США), anti-CD63-APC (Beckman Coulter, Калифорния, США) согласно протоколу, опубликованному ранее [13, 26]. Анализ полученных результатов фенотипирования ВВ проводили с помощью программной среды Cytexpert 2.4 (Beckman Coulter, Калифорния, США) и Kaluza 2.1 (Beckman Coulter, Калифорния, США).
Белковый состав внеклеточных везикул определяли методом вестерн-блот с использованием первичных антител против белка теплового шока HSP70 – HSP70 (D69) Antibody 4876 (1:1000) и мембранного гликопротеина CD9 – CD9 (D8O1A) Rabbit mAb 13174 (1:1000) (Cell Signaling Technology, Массачусетс, США), а также вторичных антител Anti-rabbit IgG, HRP-linked Antibody 7074 (1:2000) (Cell Signaling Technology, Массачусетс, США), согласно ранее описанному протоколу [22].
Дизайн эксперимента in vivo
В эксперимент были включены рыбы Danio rerio обоего пола в возрасте 4–5 месяцев. Животных содержали в стандартных условиях: светотемновой режим 14:10, кормление готовыми рационами Tetra mini granules 2 раза в сутки, температура воды 28.0 °C с рН 6.8–7.4. Все манипуляции проводили стерильными микрохирургическими инструментами с использованием стереоскопического микроскопа (ЛОМО, Россия), в состоянии медикаментозного сна, достигаемого путем помещения рыб в анестезирующий раствор (пропофол 10 мг/л + лидокаин 50 мг/л). Для моделирования повреждения спинного мозга цанговыми ножницами производили кожный разрез на уровне 14–17 позвонков. Пинцетом для капсулорексиса тупым методом препарировали ткани до полной визуализации оболочек спинного мозга. Изогнутыми цанговыми ножницами производили полную транссекцию спинного мозга на уровне 15–16 позвонков. Рану ушивали узловым швом монофиламентной полипропиленовой нитью. После манипуляций каждую рыбу содержали в индивидуальном аквариуме с добавлением метиленового синего. В контрольной группе рыб (Sham) производили кожный разрез на уровне 14–17 позвонков, препарировали ткани до полной визуализации оболочек спинного мозга без транссекции спинного мозга. Спустя 24 ч оценивали наличие повреждения спинного мозга у рыб Danio rerio на основании функциональных поведенческих тестов (реакция на прикосновение, вибрацию) [27]. Оперированные рыбы с положительными поведенческими тестами на прикосновение и вибрацию, т. е. с сохраненными функциями спинного мозга, были отнесены к контрольной группе Sham и выведены из эксперимента путем эвтаназии c передозировкой пропофола (25 мг/л). Оперированным рыбам с отрицательными поведенческими тестами на прикосновение и вибрацию, т. е. с функционально подтверждённым повреждением спинного мозга, осуществляли инъекцию в целомическую полость 2 мкл образца внеклеточных везикул, полученных либо от неактивированных THP-1 клеток (EVs_NA), либо от активированных THP-1 клеток воздействием PMA в концентрации 50 нг/мл (EVs_РМА), либо от активированных THP-1 клеток воздействием TNF в концентрации 20 нг/мл (EVs_TNF), согласно ранее описанной методике [22]. В качестве контроля носителя рыбам вместо образцов ВВ вводили в целомическую полость 2 мкл раствора DPBS без Ca2+ и Mg2+ (Биолот, Россия). Спустя сутки рыб подвергали эвтаназии передозировкой пропофола (25 мг/л).
Во всех точках эксперимента, начиная с 24 ч с момента проведения хирургических манипуляций и нанесения повреждения спинного мозга, 5 рыб, отобранных случайным образом из каждой группы, после эвтаназии помещали в 4% раствор параформальдегида для дальнейшей подготовки гистологических препаратов. У остальных рыб проводили биобанкирование жизненно важных органов (мозг, сердце, печень и почку). Полученный материал помещали в отдельные стерильные пробирки, содержащие 800 мкл реагента ExtractRNA (“Евроген”, Россия), замораживали и хранили при –80 °C до последующего использования.
В результате было сформировано семь экспериментальных групп, каждая из которых состояла не менее чем из 15 рыб. Рыб одного возраста и веса относили к экспериментальным группам случайным методом. Все манипуляции с рыбами разных групп выполнялись в одинаковых, стандартных условиях, условия содержания в послеоперационном периоде не различались.
1 группа – Sham_24h (оперированные рыбы Danio rerio без травмы спинного мозга, выведенные из эксперимента через 24 ч после операции);
2 группа – SCI_24h (оперированные рыбы Danio rerio с подтвержденной функциональными тестами травмой спинного мозга, выведенные из эксперимента через 24 ч после операции);
3 группа – SCI_48h (оперированные рыбы Danio rerio с подтвержденной функциональными тестами травмой спинного мозга, выведенные из эксперимента через 48 ч после операции);
4 группа – SCI+DPBS (оперированные рыбы Danio rerio с подтвержденной функциональными тестами травмой спинного мозга, с введением в целомическую полость DPBS через 24 ч после операции и выведенные из эксперимента через 48 ч после операции);
5 группа – SCI+EVs_NA (оперированные рыбы Danio rerio с подтвержденной функциональными тестами травмой спинного мозга, с введением через 24 ч после операции в целомическую полость ВВ, секретированных неактивированными THP-1 клетками, и выведенные из эксперимента через 48 ч после операции);
6 группа – SCI+EVs_РМА (оперированные рыбы Danio rerio с подтвержденной функциональными тестами травмой спинного мозга, с введением через 24 ч после операции в целомическую полость ВВ, секретированных активированными THP-1 клетками воздействием PMA в концентрации 50 нг/мл, и выведенные из эксперимента через 48 часа после операции);
7 группа – SCI+EVs_TNF (оперированные рыбы Danio rerio с подтвержденной функциональными тестами травмой спинного мозга, с введением через 24 ч после операции в целомическую полость ВВ, секретированных активированными THP-1 клетками воздействием TNF в концентрации 20 нг/мл, и выведенные из эксперимента через 48 ч после операции).
Гистологические исследования
Для подготовки гистологических препаратов целую рыбу после эвтаназии помещали в 4% раствор параформальдегида на 4 ч, после чего на 3 ч переносили в ЭДТА-содержащий декальцинирующий раствор “СофтиДек” (Биовитрум, Санкт-Петербург, Россия). По истечении 3-х ч животное помещали в 30% раствор сахарозы на трое суток. Подготовленных рыб замораживали в криогеле Tissue-Tek O.C.T. Compound (Sakura Finetek, Калифорния, США). Нарезку замороженных препаратов рыб Danio rerio проводили в кранио-сагитальном направлении с помощью криотома Tissue-Tek® Cryo3® (Sakura Finetek, Калифорния, США). Срезы толщиной 10 мкм помещали на предметное стекло и окрашивали гематоксилин-эозином согласно стандартному протоколу. Гистологические срезы рыб Danio rerio визуализировали с использованием микроскопа ZEISS Axio Observer (Carl Zeiss Microscopy GmbH, Германия).
Оценка уровня экспрессии генов
Выделение тотальной РНК из тканей мозга, сердца, печени и почки рыб Danio rerio проводили с использованием реагента ExtractRNA (“Евроген”, Россия) в соответствии с инструкцией производителя согласно протоколу, описанному ранее [28]. Количество и качество выделенной тотальной РНК оценивали с помощью спектрофотометра NanoDrop 1000 UV Visible Spectrophotometer (Thermo Scientific, Массачусетс, США). Для проведения обратной транскрипции использовали 500 нг выделенной тотальной РНК, 20 мкМ случайного праймера (“Евроген”, Россия) и фермент MMLV RT kit (“Евроген”, Россия) в соответствии с инструкцией производителя согласно условиям, описанным ранее [28]. Синтезированную кДНК хранили при –80 °C.
Относительный уровень экспрессии генов il-1β, il-6, tnf-α, ifn-γ, mpeg-1.1, mpeg-1.2, mpx и il-10 в органах рыб Danio rerio определяли методом ПЦР в реальном времени на амплификаторе LightCycler®480 Software version 1.5.1.62 SP3 (“Roche”, Швейцария) с использованием набора реагентов qPCRmix-HS SYBR+LowROX (“Евроген”, Россия) в соответствии с инструкцией производителя согласно условиям, описанным ранее [28]. В качестве референсного гена для нормализации данных использовали ген домашнего хозяйства eef1a1–1 [28]. Уровень относительной количественной экспрессии генов рассчитывали по формуле 2-ΔΔCt, выбросы значений 2-ΔΔCt определяли на основании алгоритма ROUT (Q = 10%) и исключали из дальнейшего анализа.
Статистический анализ
Расчёт объёма выборки был проведен с использованием программы G*Power version 3.1.9 (Германия). Был выбран уровень значимости статистических заключений – 95% (вероятность ошибки первого рода – 5%). Показатель мощности – 80% (вероятность ошибки второго рода – 20%). Рекомендованный размер группы составил 7 животных.
Статистическую обработку результатов выполняли с использованием программы GraphPad Prism 8.00 (GraphPad Software Inc., Калифорния, США). Результаты представлены в виде медианы и интерквартильного размаха, Ме (25;75). Различия между группами Sham_24h и SCI_24h рассчитывали с помощью непараметрического U-критерия Манна–Уитни. Для множественного сравнения групп после воздействия использовали критерий Краскела–Уоллиса, далее для попарных сравнений групп – тест Данна. Различия считали достоверными при р < 0.05.
РЕЗУЛЬТАТЫ ИССЛЕДОВАНИЯ
Характеристика образцов внеклеточных везикул
Все полученные образцы внеклеточных везикул демонстрировали умеренную полидисперсность. Было показано, что ВВ полученные от THP-1 клеток, активированных воздействием 20 нг/мл TNF, имели наибольшие размеры частиц (peak size = 191.9 нм, St. Dev = 112.22 нм), наименьшие размеры частиц были характерны для ВВ, полученных от THP-1 клеток активированных воздействием 50 нг/мл PMA (peak size = 36.15 нм, St. Dev = 30.77 нм). При этом для образцов ВВ, полученных от клеток THP-1 активированных PMA, был определен наибольший диапазон размерности частиц, примерно до 110 нм.
В диапазоне размеров 30–150 нм концентрации образцов ВВ, полученных от клеток THP-1 активированных воздействием TNF (29.7 × 108 (19.9 × 108; 38.3 × 108)) и ВВ, полученных от клеток THP-1 активированных воздействием PMA (25.8 × 108 (16.4 × 108; 43.2 × 108)) были достоверно выше, по сравнению с ВВ, полученными от неактивированных клеток THP-1 (11.3 × 108 (8.53 × 108; 11.7 × 108)) (р < 0.01). В диапазоне размеров 150–400 нм концентрации внеклеточных везикул, продуцированных как активированными клетками THP-1 воздействием PMA и TNF, так и от неактивированных THP-1 клеток не отличались.
Методом вестерн-блот было показано, что в полученных образцах ВВ присутствовали везикулярный мембранный маркер CD9 и маркер внутреннего содержимого – белок теплового шока 70 (HSP70).
Все образцы внеклеточных везикул, полученных как от неактивированных THP-1 клеток, так и от активированных воздействием PMA и TNF содержали CD9+, CD63+, CD54+, CD14+ и Annexin V+ объекты по результатам высокочувствительной мультицветовой проточной цитометрии. При этом для образцов ВВ, полученных от активированных клеток THP-1 воздействием PMA и TNF уровень CD9+, CD63+, CD54+, и Annexin V-позитивных объектов был достоверно выше по сравнению с образцами, полученными от неактивированных клеток THP-1 (p<0.05). Также для внеклеточных везикул, полученных от клеток THP-1, активированных воздействием TNF, количество CD54-позитивных событий было выше более чем в 10 раз по сравнению с ВВ, полученными как от неактивированных клеток THP-1, так и от активированных PMA.
Морфофункциональная оценка модели Danio rerio с повреждением спинного мозга
При проведении функциональных поведенческих тестов через 24 и 48 ч после хирургических манипуляций у всех рыб Danio rerio с нанесенной механической травмой спинного мозга (группы SCI_24h, SCI_48h, SCI+DPBS, SCI+EVs_NA, SCI+EVs_РМA, SCI+EVs_TNF) отсутствовала положительная реакция на прикосновения или вибрацию по сравнению как с полностью интактными рыбами, так и с оперированными рыбами контрольной группы Sham. Повреждение спинного мозга у рыб Danio rerio сопровождалось потерей активности плавательных движений задней части тела каудальнее места травмы на протяжении всего периода наблюдения.
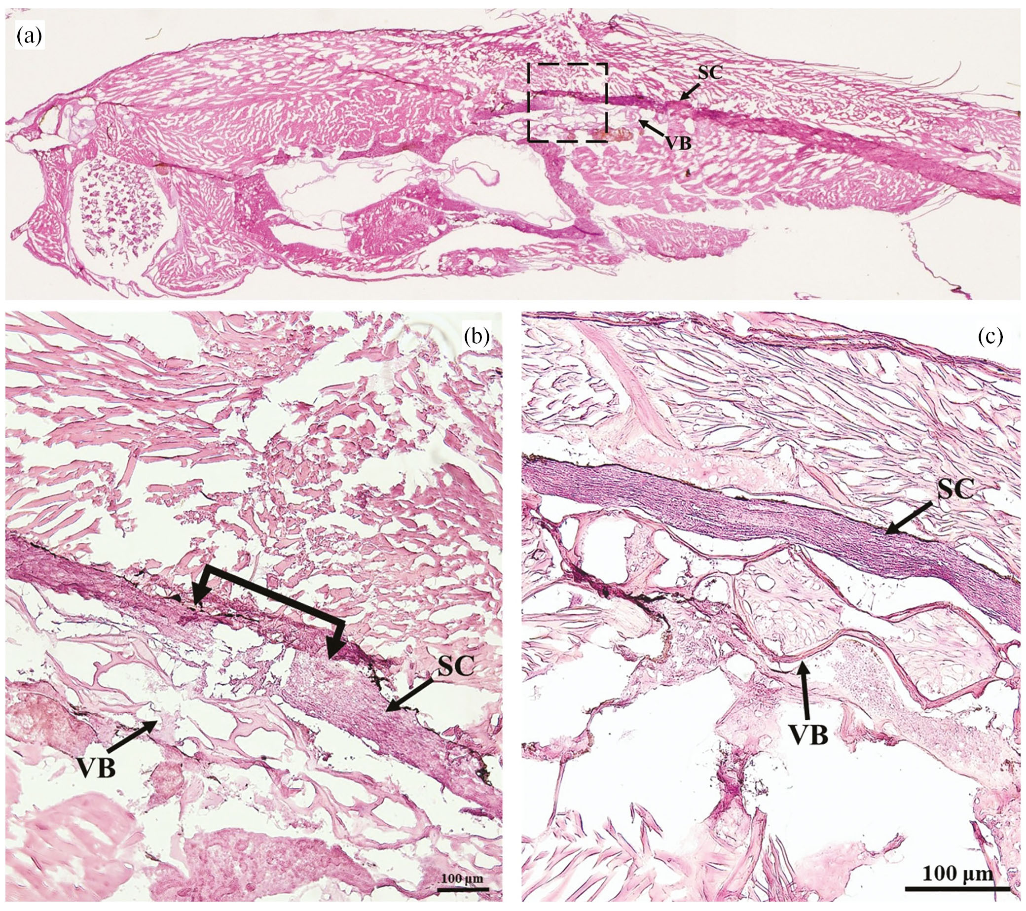
Полная транссекция спинного мозга приводила к разрыву нервных путей и локальной потере ткани белого и серого вещества (рис. 2b). В области механической травмы наблюдались отечность окружающих тканей, инфильтрация, а также нарушение нормальной структуры мышечных волокон (рис. 2b). При этом в контрольной группе рыб Sham сохранялась целостная структура белого и серого вещества, нормальная организация мышечных волокон, а в окружающих тканях отсутствовали отёчность и инфильтрация (рис. 2с).
Рис. 2. Сагиттальные срезы поврежденного (а-b) и неповрежденного (с) спинного мозга рыб Danio rerio, окрашенные гематоксилин-эозином. (а) – срез рыбы Danio rerio с моделью травмы спинного мозга; (b) – увеличенное изображение травмы спинного мозга, выделенное квадратом на (а); (с) – неповрежденный спинной мозг. SC – спинной мозг, VB – тела позвонков.
Оценка изменения уровня экспрессии генов в мозге, сердце, печени и почках у рыб Danio rerio через 24 часа после повреждения спинного мозга
На всех этапах исследования в мозге, печени и почках оценивали относительный уровень экспрессии восьми генов, кодирующих семь провоспалительных (il-1β, il-6, tnf-α, ifn-γ, mpeg1.1, mpeg1.2, mpx) и один противовоспалительный (il-10) цитокин, тогда как в сердце (из-за размера органа) только четырех генов il-1β, il-6, tnf-α и il-10.
Полная транссекция спинного мозга у рыб Danio rerio (группа SCI_24h) через 24 ч после операции характеризовалась достоверным увеличением уровня экспрессии в тканях мозга генов il-1β (р=0.02) и il-6 (р=0.04) по сравнению с контрольной группой Sham_24h; в тканях сердца достоверным снижением уровня экспрессии генов il-6 (р=0.01) и il-10 (р=0.02); в ткани печени достоверным снижением уровня экспрессии только гена il-10 (р=0.01); тогда как в тканях почки достоверным увеличением уровня экспрессии гена il-10 (р=0.02) и одновременным снижением уровня экспрессии гена ifn-γ (р=0.04) (рис. 3, табл. 1).
Рис. 3. Относительная экспрессия генов в тканях мозга, сердца, печени и почки у рыб Danio rerio с функционально подтвержденной травмой спинного мозга (SCI_24h) и без повреждения спинного мозга (Sham_24h) через 24 ч после хирургической манипуляции. Достоверные отличия между группами обозначены при р < 0.05.
Таблица 1. Относительная экспрессия генов в тканях органов рыб Danio rerio через 24 часа после повреждения спинного мозга, Ме (25;75)
Мозг | Сердце | Печень | Почка | |||||
Sham_24h | SCI_24h | Sham_24h | SCI_24h | Sham_24h | SCI_24h | Sham_24h | SCI_24h | |
il-1β | 3.4 (2.4; 4.8)* | 8.2 (5.9; 13.0)* | 9.2 (5.1; 23.1) | 3.8 (2.0; 8.7) | 25.3 (6.0; 33.1) | 8.6 (2.3; 26.3) | 3.1 (2.3; 3.3) | 2.6 (2.0; 9.8) |
il-6 | 6.0 (3.8; 12.7)* | 23.5 (11.6; 37.6)* | 14.0 (5.3; 22.2)** | 1.6 (1.4;1.9)** | 14.7 (2.7; 42.2) | 10.1 (1.1; 18.3) | 22.9 (3.0; 75.7) | 14.5 (5.3; 33.2) |
il-10 | 5.4 (3.1; 23.4) | 6.8 (2.0; 12.0) | 139.0 (33.6; 167.0)* | 5.8 (5.5; 6.4)* | 22.5 (14.7; 21.3)** | 6.3 (1.9; 8.2)** | 2.6 (2.4; 11.6)* | 24.5 (12.9; 34.2)* |
tnf-α | 4.3 (1.9; 28.4) | 9.2 (3.5; 25.3) | 9.1 (5.2; 12.1) | 1.9 (1.3; 2.5) | 19.4 (9.3; 193.0) | 22.4 (11.6; 39.9) | 3.8 (2.6; 7.1) | 1.9 (1.0; 29.9) |
ifn-γ | 12.6 (5.2; 27.3) | 18.6 (14.0; 20.7) | –# | – | 17.4 (4.7; 35.5) | 5.5 (4.4; 11.5) | 7.8 (5.9; 12.8)* | 3.1 (3.0; 3.3)* |
mpx | 6.3 (4.6; 16.2) | 13.0 (1.7; 21.4) | – | – | 8.5 (3.7; 19.2) | 18.5 (1.6; 32.6) | 5.3 (3.9; 9.6) | 15.6 (5.6; 21.7) |
mpeg-1.1 | 14573 (5502; 41406) | 36499 (9217; 139822) | – | – | 20.8 (10.3; 42.4) | 57.7 (22.8; 128) | 5.3 (1.5; 51.4) | 152.0 (28.2; 276.0) |
mpeg-1.2 | 5.5 (3.3; 13.3) | 3.4 (3.3; 3.8) | – | – | 12.3 (2.5; 15.2) | 3.9 (1.9; 8.8) | 4.8 (1.4; 20.5) | 20.0 (1.7; 20.8) |
Примечание. * – достоверные отличия между группами p < 0.05; ** – достоверные отличия между группами p < 0.01. Для расчета р-значения применялся U-критерий Манна–Уитни. # – исследование не проводилось.
Эффект ВВ на профиль экспрессии некоторых про- и противовоспалительных генов в мозге, сердце, печени и почках у рыб Danio rerio с повреждением спинного мозга
Влияние ВВ на изменение относительного уровня экспрессии генов в тканях органов рыб Danio rerio с повреждением спинного мозга оценивали через сутки после введения образцов ВВ в целомическую полость рыб. Группами сравнения были рыбы с повреждением спинного мозга, в целомическую полость которых вводили раствор DPBS (группа SCI+DPBS), и рыбы с повреждением спинного мозга без инъекции (группа SCI_48h). Во всех анализируемых группах рыб с момента полной транссекции спинного мозга прошло 48 ч (рис. 1).
Мозг
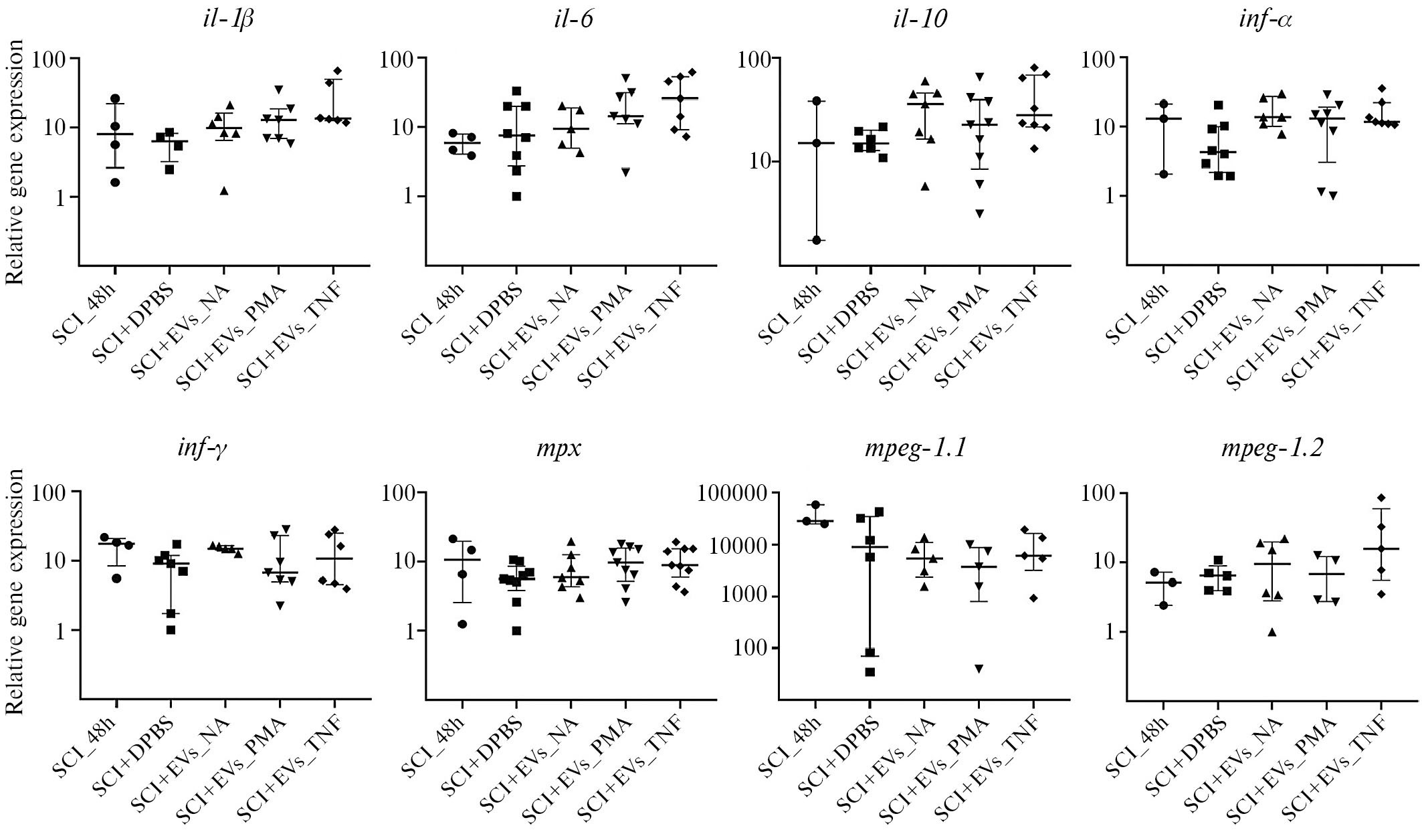
Введение раствора DPBS, в качестве контроля реакции на инъекцию в целомическую полость рыб, не приводило к изменению в тканях мозга рыб группы SCI+DPBS уровня экспрессии ни одного из восьми исследуемых генов, кодирующих как про- (il-1β, il-6, tnf-α, ifn-γ, mpeg1.1, mpeg1.2, mpx), так и противовоспалительные (il-10) цитокины, по сравнению с таковыми группы SCI_48h (рис. 4, табл. 2). При этом отсутствовали достоверные отличия как при множественном сравнении, так и при попарных сравнениях между группами.
Рис. 4. Относительная экспрессия генов il‑1β, il‑6, il‑10, tnf-α, ifn-γ, mpx, mpeg‑1.1, mpeg‑1.2 в тканях мозга рыб Danio rerio с функционально подтвержденной травмой спинного мозга и введением внеклеточных везикул.
Таблица 2. Относительная экспрессия генов в тканях мозга рыб Danio rerio после травмы спинного мозга и введения образцов внеклеточных везикул, Ме (25;75)
SCI_48h | SCI + DPBS | SCI + EVs_NA | SCI + EVs_PMA | SCI + EVs_TNF | Множественные сравнения, критерий Краскела–Уоллиса | Попарные сравнения, тест Данна | |
il-1β | 8.0 (2.6; 22.2) | 6.3 (3.2; 8.2) | 9.9 (6.5; 16.1) | 12.9 (6.9; 18.8) | 13.5 (12.6; 49.5) | p = 0.106 | –# |
il-6 | 5.9 (4.0; 7.9) | 7.6 (2.7; 20.1) | 9.5 (4.9; 19.1) | 14.4 (11.2; 31.1) | 25.8 (9.2; 53.1) | p = 0.083 | – |
il-10 | 15.1 (1.8; 38.6) | 15.0 (12.8; 20.2) | 36.3 (16.6; 45.6) | 22.8 (8.6; 39.6) | 28.2 (21.8; 68.2) | p = 0.189 | – |
tnf-α | 13.1 (2.1; 21.4) | 4.3 (2.2; 10.0) | 13.8 (10.1; 27.0) | 13.2 (3.0; 19.3) | 11.8 (11.0; 22.5) | p = 0.143 | – |
ifn-γ | 17.7 (8.4; 21.0) | 9.1 (1.7; 12.0) | 14.9 (13.8; 16.5) | 6.7 (5.0; 23.3) | 10.7 (4.6; 25.3) | p = 0.442 | – |
mpx | 10.6 (2.6; 19.7) | 5.7 (3.9; 8.6) | 5.9 (4.4; 12.6) | 9.7 (5.3; 15.7) | 8.9 (5.9; 15.3) | p = 0.376 | – |
mpeg-1.1 | 28526 (25180; 57849) | 8937 (71.2; 34898) | 4196 (1180; 9546) | 2614 (35.4; 8080) | 5724 (705; 14991) | p = 0.144 | – |
mpeg-1.2 | 5.2 (2.4; 7.3) | 6.5 (4.0; 9.0) | 9.5 (2.8; 20.0) | 6.9 (2.8; 12.2) | 15.9 (5.7; 59.7) | p = 0.421 | – |
Примечание. # – статистически достоверных межгрупповых отличий не наблюдалось.
Сердце
Введение раствора DPBS и двух образцов ВВ вызывало достоверное изменение уровня экспрессии гена противовоспалительного il-10 в тканях сердца рыб (p<0.001). При этом ВВ в группе SCI+EVs_РМA вызывали достоверное снижение уровня экспрессии (p=0.002), в то время как образцы в группе SCI+EVs TNF не оказывали аналогичного воздействия, и уровень экспрессии il-10 не отличался от такового в группе с повреждением SCI_48 h (рис. 5, табл. 3).
Рис. 5. Относительная экспрессия генов il‑1β, il‑6, il‑10, tnf-α в тканях сердца рыб Danio rerio с функционально подтвержденной травмой спинного мозга и введением внеклеточных везикул. Достоверные отличия представлены при р = 0.002.
Таблица 3. Относительная экспрессия генов в тканях сердца рыб Danio rerio после травмы спинного мозга и введения образцов внеклеточных везикул, Ме (25;75)
SCI_48h | SCI + DPBS | SCI + EVs_NA | SCI + EVs_PMA | SCI + EVs_TNF | Множественные сравнения, критерий Краскела–Уоллиса | Попарные сравнения, тест Данна | |
il-1β | 20.5 (6.0; 59.8) | 11.1 (9.7; 44.6) | 96.3 (5.2; 202) | 64.4 (24.3; 133.0) | 56.5 (15.9; 403.0) | p = 0.394 | –# |
il-6 | 27.2 (2.6; 63.4) | 17.5 (1.2; 69.7) | 40.8 (11.6; 74.2) | 48.7 (15.7;88.9) | 12.4 (7.6; 43.1) | p = 0.734 | – |
il-10 | 84.4 (56.0; 240) | 17.5 (9.5; 23.4) | 40.5 (24.1; 55.9) | 4.2 (1.4; 7.6) | 84.7 (47.6; 158.0) | p < 0.001 | SCI_48h vs. SCI + EVs_PMA, p = 0.002; SCI + EVs_PMA vs. SCI + EVs_TNF, p = 0.002 |
tnf-α | 5.8 (1.5; 13.4) | 4.5 (2.5; 7.7) | 13.5 (9.6; 30.7) | 9.6 (2.8; 16.7) | 9.5 (3.9; 23.4) | p = 0.127 | – |
Примечание. # – статистически достоверных межгрупповых отличий не наблюдалось.
Печень
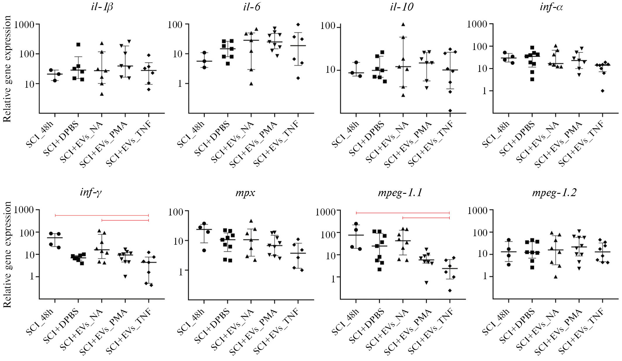
Введение образцов ВВ после травмы спинного мозга вызывало достоверное изменение уровня экспрессии гена ifn-γ (p=0.004) и mpeg-1.1 (p=0.002) в печени рыб (рис. 6, табл. 4). Введение везикул после травмы в группе SCI+EVs_TNF приводило к достоверному снижению экспрессии ifn-γ по сравнению с таковым в группе без воздействия (p=0.007).
Введение везикул в группе SCI+EVs_TNF приводило к достоверному (p=0.017) снижению уровня экспрессии гена mpeg-1.1 по сравнению с таковым в группе с моделированной травмой без воздействия (SCI_48h). Из всех использованных везикул, именно в этой группе был отмечен наибольший даун-регуляторный эффект в отношении гена mpeg-1.1 (рис. 6, табл. 4).
Рис. 6. Относительная экспрессия генов il‑1β, il‑6, il‑10, tnf-α, ifn-γ, mpx, mpeg‑1.1, mpeg‑1.2 в ткани печени рыб Danio rerio с функционально подтвержденной травмой спинного мозга и введением внеклеточных везикул. Достоверные отличия представлены при р < 0.05.
Таблица 4. Относительная экспрессия генов в ткани печени рыб Danio rerio после травмы спинного мозга и введения образцов внеклеточных везикул, Ме (25;75)
SCI_48h | SCI + DPBS | SCI + EVs_NA | SCI + EVs_PMA | SCI + EVs_TNF | Множественные сравнения, критерий Краскела–Уоллиса | Попарные сравнения, тест Данна | |
il-1β | 20.8 (12.6; 28.4) | 31.6 (15.0; 205) | 27.1 (10.1; 117) | 39.1 (16.4; 185) | 27.6 (9.4; 50.4) | p = 0.505 | –# |
il-6 | 5.7 (3.5; 10.9) | 14.7 (8.0; 26.4) | 28.4 (3.0; 50.2) | 25.1 (14.8; 48.3) | 18.9 (4.1; 51.8) | p = 0.246 | – |
il-10 | 8.8 (7.4; 15.3) | 10.0 (6.9; 21.4) | 12.2 (4.1; 59.7) | 14.9 (5.7; 26.0) | 10.2 (3.7; 26.4) | p = 0.949 | – |
tnf-α | 29.6 (19.6; 47.6) | 35.0 (11.6; 46.7) | 16.7 (12.4; 65.8) | 22.9 (9.9; 52.7) | 14.1 (7.2; 15.3) | p = 0.131 | – |
ifn-γ | 55.5 (22.4; 85.3) | 7.0 (5.5; 9.0) | 16.1 (6.5; 78.8) | 9.4 (4.6; 12.0) | 4.4 (0.5; 7.6) | p = 0.004 | SCI_48h vs. SCI + EVs_TNF, p = 0.007 SCI + EVs_NA vs. SCI + EVs_TNF, p = 0.050 |
mpx | 23.4 (8.3; 34.6) | 10.6 (4.2; 17.9) | 10.6 (3.0; 24.3) | 6.7 (3.1; 14.9) | 3.7 (1.2; 8.1) | p = 0.142 | – |
mpeg-1.1 | 76.1 (19.2; 218.0) | 24.6 (4.9; 90.6) | 42.3 (9.7; 125.0) | 5.9 (4.2; 9.8) | 2.4 (0.8; 6.1) | p = 0.002 | SCI_48h vs. SCI + EVs_TNF, p = 0.017; SCI + EVs_NA vs. SCI + EVs_TNF, p = 0.015 |
mpeg-1.2 | 13.0 (4.8; 37.8) | 12.4 (6.8; 36.5) | 15.8 (3.4; 68.7) | 21.5 (8.5; 57.9) | 13.0 (4.7; 32.4) | p = 0.867 | – |
Примечание. # – статистически достоверных межгрупповых отличий не наблюдалось.
Почка
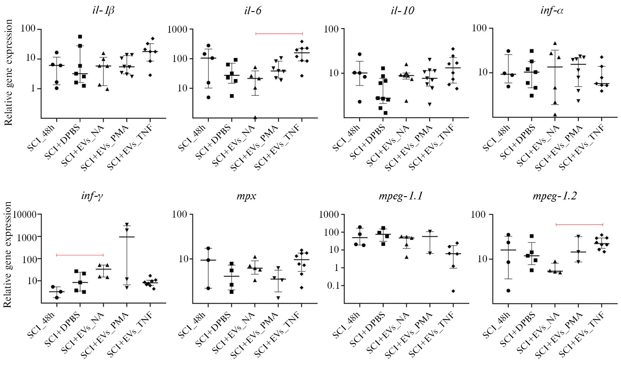
Введение внеклеточных везикул после травмы спинного мозга приводило к достоверному изменению экспрессии генов il-6 (p = 0.022) и ifn-γ (p = 0.038) в почках рыб (рис. 7, табл. 5). При этом везикулы в группе SCI+EVs_TNF вызывали достоверно более высокую экспрессию гена il-6 (p = 0.021), а также гена mpeg-1.2 (p = 0.028), чем везикулы, полученные от нестимулированных клеток в группе SCI+EVs_NA. Вместе с тем, эти же везикулы, полученные от клеток без стимуляции, вызывали достоверное (p = 0.045) повышение экспрессии ifn-γ по сравнению с таковым у рыб только с моделированной травмой.
Рис. 7. Относительная экспрессия генов il‑1β, il‑6, il‑10, tnf-α, ifn-γ, mpx, mpeg‑1.1, mpeg‑1.2 в тканях почки рыб Danio rerio с функционально подтвержденной травмой спинного мозга и введением внеклеточных везикул. Достоверные отличия представлены при р<0.05.
Таблица 5. Относительная экспрессия генов в тканях почки рыб Danio rerio после травмы спинного мозга и введения образцов внеклеточных везикул, Ме (25;75)
SCI_48h | SCI + DPBS | SCI + EVs_NA | SCI + EVs_PMA | SCI + EVs_TNF | Множественные сравнения, критерий Краскела–Уоллиса | Попарные сравнения, тест Данна | |
il-1β | 6.1 (1.4; 11.6) | 3.2 (1.6; 28.1) | 5.9 (1.3; 11.4) | 5.5 (3.2; 13.0) | 17.9 (8.5; 33.1) | p = 0.167 | –# |
il-6 | 105.0 (10.2; 212.0) | 27.5 (14.8; 70.6) | 21.6 (5.8; 38.7) | 38.6 (22.3; 82.7) | 158 (84.2; 225) | p = 0.022 | SCI + EVs_NA vs. SCI + EVs_TNF, p = 0.021 |
il-10 | 10.1 (5.3; 18.5) | 2.8 (2.1; 7.7) | 8.9 (7.4; 10.1) | 7.7 (5.1; 11.4) | 13.2 (6.0; 22.5) | p = 0.111 | – |
tnf-α | 9.3 (5.9; 25.6) | 10.3 (4.6; 18.0) | 13.5 (1.9; 32.2) | 15.5 (4.9; 21.7) | 5.7 (5.2; 13.9) | p = 0.953 | – |
ifn-γ | 3.3 (1.8; 5.4) | 8.5 (3.5; 24.3) | 33.6 (15.0; 51.6) | 942 (6.6; 2998) | 8.2 (6.4; 10.6) | p = 0.038 | SCI_48h vs. SCI + EVs_NA, p = 0.045 |
mpx | 9.4 (2.2; 17.3) | 4.1 (2.0; 7.3) | 6.2 (4.5; 9.1) | 3.5 (1.8; 5.6) | 9.6 (5.2; 13.5) | p = 0.183 | – |
mpeg-1.1 | 49.2 (19.0; 165) | 75.8 (30.8; 153.0) | 47.5 (12.3; 56.7) | 57.0 (6.5; 108) | 6.2 (0.9; 17.8) | p = 0.056 | – |
mpeg-1.2 | 16.1 (3.6; 32.3) | 11.9 (7.5; 23.6) | 5.4 (5.1; 8.0) | 14.4 (8.6; 32.0) | 22.4 (17.5; 29.8) | p = 0.058 | SCI + EVs_NA vs. SCI + EVs_TNF, p = 0.028 |
Примечание. # – статистически достоверных межгрупповых отличий не наблюдалось.
ОБСУЖДЕНИЕ
Патогенез травмы спинного мозга включает первичное и вторичное повреждение; к первичному относится механическое повреждение спинного мозга, которое вызывает гибель нейронов и глии в очаге поражения вскоре после травмы; тогда как вторичное повреждение является следствием клеточных и биологических реакций, протекающих в ответ на первичное повреждение, включая местную и системную воспалительную реакцию, окислительный стресс, ишемию, демиелинизацию, гибель нервных клеток и другое [29]. При повреждении ЦНС одними из первых реагируют клетки резидентной микроглии, которые считаются основным клеточным компонентом врожденной иммунной системы в нервной ткани и составляет до 10% от общего числа клеток нейроглии взрослого человека [2–4]. Вслед за микроглией в ответ на повреждение активируются астроциты и эндотелиальные клетки, а также в очаг повреждения привлекаются нейтрофилы, моноциты и лимфоциты [5]. Эти клетки секретируют провоспалительные и иммуномодулирующие факторы для реализации иммунного ответа, который может иметь разрушительные последствия и тормозить регенерацию нервной ткани. Herzog и соавт. [30] на основе анализа профиля экспрессии генов микроглии, выявили 17 генов, участвующих в инициации путей клеточной гибели, в том числе il-1β и il-6, повышение экспрессии которых наблюдалось после повреждения нервной ткани личинок Danio rerio.
Подобно периферическим макрофагам, микроглия реагирует на изменения в своем микроокружении, поляризуясь в направлении классически активированной микроглии – М1 или альтернативно активированной микроглии – М2 [2, 4, 7]. Классический, М1-фенотип, макрофаги и микроглия приобретают в ответ на воздействие провоспалительных молекул, таких как бактериальный липополисахарид и интерферон гамма (IFN-γ) [3]. Индукторами воспаления и поляризации в направлении М-1 могут выступать и DAMP – продукты повреждения клеток (кристаллы мочевой кислоты, белки теплового шока, IL-33 и т. д.) [2, 6, 31]. В свою очередь М1-микроглия высвобождает ряд провоспалительных факторов таких как цитокины (IL-1β, IL-12, TNF-α), хемокины (CCL2, CXCL9, CXCL10), активные формы кислорода и оксид азота [3, 4]. Активация микроглии по классическому пути изначально является защитной реакцией и направлена на устранение повреждения, однако чрезмерная М1-подобная активация из-за высвобождения большого количества провоспалительных медиаторов способна приводить к ещё большему повреждению нервной ткани [2–4], компартментализации воспаления с вовлечением отдаленных органов и формированием порочного круга [32]. Альтернативная М2-подобная активация клеток микроглии происходит под влиянием IL-4, IL-10, IL-13, трансформирующего фактора роста-β (TGF-β) и направлена на восстановление целостности тканей и их функций, стимуляцию регенерации, обратному развитию воспалительных реакций, утилизации продуктов повреждения [2, 4, 33]. В исследовании Brennan и соавт. [34] было показано, что активация специфичных для микроглии сигнальных путей у мышей с истощенной микроглией способствовала уменьшению выраженности вторичного повреждения ЦНС и положительно влияла на процессы регенерации нервной ткани. При изучении молекулярных механизмов регенерации аксонов у личинок рыб Danio rerio после травмы спинного мозга было установлено, что подавление воспаления уменьшало, а его активация ускоряла регенерацию аксонов, при этом ключевую роль в процессах регенерации играли не нейтрофилы или микроглия, а периферические макрофаги за счет секреции провоспалительных цитокинов IL-1β и TNF-α [35].
Рассечение тканей, нанесение механической травмы спинного мозга являются серьёзными повреждающими факторами и могут способствовать увеличению выброса гормонов стресса у рыб Danio rerio. Также, как и у млекопитающих, в организме рыб Danio rerio присутствуют эволюционно консервативные системы, такие как норадренергическая, серотонинергическая, дофаминергическая, а также стресс-реализующая система с основным гормоном стресса – кортизолом [36, 37]. При повреждении головного мозга помимо активации микроглии и астроцитов происходит также активация гипоталамо-гипофизарно-надпочечниковой системы, что приводит к секреции большого количества кортизола, оказывающего противовоспалительное действие за счет подавления активности иммунных клеток [38, 39]. В исследовании Hartig и соавт. [37] показано, что у эмбрионов рыб Danio rerio, обработанных кортизолом, значительно повышалась экспрессия генов irg1l (immunoresponsive gene 1-like), mpeg1 (macrophage marker) и socs3a (immunoregulatory gene), связанных с регуляцией иммунного ответа. При этом у рыб Danio rerio, полученных из эмбрионов, обработанных кортизолом, нарушались процессы регенерации после повреждения хвостового плавника, а моделирование воспаления посредством введения этим рыбам липополисахарида, приводило к подавлению экспрессии генов провоспалительных цитокинов в сердце, селезенке и мышцах (il-1β, il-6, tnf-α, socs3a) в сравнении с интактными рыбами не подвергшихся воздействиям кортизола [37]. В нашем исследовании у рыб Danio rerio через 24 ч после полной транссекции спинного мозга регистрировались изменения профиля экспрессии провоспалительных il-1β, il-6, ifn-γ и противовоспалительного il-10 генов в органах по сравнению с таковыми у рыб без повреждения спинного мозга: происходило повышение экспрессии генов il-1β и il-6 в нервной ткани, в кардиомиоцитах снижение экспрессии генов il-6 и il-10, в гепатоцитах снижение экспрессии гена il-10, тогда как в почках экспрессия гена il-10 повышалась, а гена ifn-γ понижалась. Более того, в тканях мозга уровень экспрессии гена mpeg-1.1, кодирующего порообразующий белок перфорин-2 по своей структуре и функциям схожий с С9 компонентом комплемента [40], был более чем в сто раз выше такового в кардиомиоцитах, гепатоцитах и ткани почек. Таким образом, полученные результаты подтверждают развитие нейровоспаления у рыб Danio rerio в ответ на травму спинного мозга, кроме того, имеет место компартментализация воспаления с вовлечением печени, почек, сердца. Интересно, что мы не зафиксировали изменение уровня экспрессии гена mpx в тканях мозга. Активация продукции лизосомального фермента миелопероксидазы указывала бы, скорее всего, на присутствие PAMP, то есть инфекционных агентов [28, 41, 42]. В нашем случае имело место стерильное воспаление, инициированное хирургическим повреждением тканей.
В ответ на повреждение ЦНС помимо микроглии активируются астроциты, которые также участвуют в развитии нейровоспаления. Астроциты составляют 19–40% глиальных клеток [43] и в норме обеспечивают формирование синапсов, аксональную передачу, миелинезацию, участвуют в регуляции проницаемости гематоэнцефалического барьера [5, 31, 44]. Подобно клеткам микроглии астроциты могут иметь как провоспалительный, так и противовоспалительный фенотип [2, 33]. Астроциты секретируют провоспалительные факторы такие как IL-1β, TNF-α, активные формы кислорода, оксид азота, что усиливает процессы нейровоспаления [2, 5, 33]. Противовоспалительные цитокины, такие как IL-4, IL-13 и IL-10 способствуют индукции альтернативной, или нейропротективной активации астроцитов. Альтернативно-активированные астроциты также высвобождают IL-4, IL-10 и TGF-β, нейротрофический фактор мозга, которые оказывают противовоспалительное действие при повреждении головного или спинного мозга [2, 33].
Таким образом, процесс реализации иммунного ответа при повреждении центральной нервной системы, а также его генерализация, являются регулируемым. Ключевую роль в нем играют М1 или М2 клетки микроглии. Вместе с тем, поляризация в том или ином направлении регулируется цитокинами про- или противовоспалительного спектра. В последнее время активно изучается роль внеклеточных везикул в процессах регуляции клеточной дифференцировки, пролиферации, функциональной активности и т. д. При этом наиболее важными факторами эффективности являются их клеточное происхождение, переносимый груз нуклеиновых кислот, белков, липопротеидов [45–47].
Предполагается, что введение экзогенных ВВ на фоне повреждения спинного мозга и развившегося нейровоспаления может внести существенный вклад в поляризацию иммунного ответа с возможным переключением микроглии на М1 или М2 фенотип. Кроме того, при системном введении везикул можно ожидать их эффекты в отдаленных органах и тканях. В наших экспериментах интрацеломическое введение рыбам Danio rerio с травмой спинного мозга ВВ, секретируемых как неактивированными (EVs_NA), так и активированными макрофагоподобными клетками ТНР-1 (EVs_PMA и EVs_TNF), не приводило к достоверному изменению профиля экспрессии исследуемых генов про- и противовоспалительных цитокинов. Вместе с тем, были отмечены тренды, которые могли бы быть продемонстрированы при более подробном изучении дозозависимых эффектов вводимых внеклеточных везикул. Наиболее “перспективными” в этом отношении можно считать внеклеточные везикулы, полученные при стимуляции клеток THP-1 фактором некроза опухолей.
Полученные результаты позволяют также предположить, что ВВ, секретируемые моноцитоподобными клетками под воздействием TNF, могут нести в своем составе маркеры активации сигнальных путей, влияющих на процессы, протекающие не только в микроглии, но и астроцитах, которые также участвуют в развитии нейровоспаления. ВВ могут оказывать влияние на различные сигнальные пути, в частности src-киназу, ERK1/2 киназу, эндотелиальную NO-синтазу (eNOS), сборку NLRP-инфламмасомы и т. д. Эти пути связаны с адгезией, миграцией, пролиферацией, продукцией цитокинов клетками [48, 49].
В своем исследовании Chaudhuri и соавт. [50] показали, что внеклеточные везикулы, секретированные астроцитами в зависимости от вида стимула (АТФ, IL-1β и TNF-α) несли в себе различные грузы микроРНК и оказывали противоположные эффекты на нейроны гиппокампа. ВВ, секретируемые при обработке астроцитов АТФ, содержали в своем составе let-7f, miR-100, miR-23а, miR-145 и способствовали увеличению длины аксонов, дендритов и формированию нервных узлов. В то время как ВВ, секретированные астроцитами при стимуляции IL-1β и TNF-α, оказывали обратные эффекты на длину аксонов и дендритов, а также количество нервных узлов. ВВ, полученные от воздействия IL-1β, несли в себе let-7a, let-7c, let-7d, let-7f, miR-16, miR-214, miR-100, miR-125a-5p, miR-125b-5p и miR-24, а ВВ, секретированные при воздействии TNFα, содержали miR-27b, miR-145, miR-107, miR-628, miR-544, miR-598–5p, miR-16, miR-1224, miR-214, miR-199a-3p, miR-501, miR-125b-5p, miR-24, miR-532-5p и miR-208a [50]. В исследовании in vivo на мышиной модели было показано, что экзосомы микроглиального происхождения содержали повышенный уровень microRNA-124-3p и способствовали поляризации макрофагов в М2 фенотип, что значительно снижало воспалительную реакцию при черепно-мозговой травме. Ингибирующий эффект microRNA-124-3p на воспаление нейронов происходил путем подавления активности передачи сигналов через mTOR (the mammalian target of rapamycin) за счет снижения экспрессии гена PDE4B. Кроме того, повышенное содержание microRNA-124-3p в экзосомах способствовало восстановлению поврежденных нейронов [51].
Очевидно, что молекулярный состав внеклеточных везикул влияет как на их биодоступность, так и на вызываемые эффекты. Экспрессируемые на поверхности ВВ молекулы межклеточной адгезии, интегрины, тетраспанины и т. д. влияют на распространение и миграцию, опосредуя связывание частиц с дифференциально экспрессируемыми лигандами на разных типах клеток в разных органах [52, 53]. Например, ВВ, несущие тетраспанин Tspan8 и интегрин ITG β4, преимущественно связываются тканями селезенки, легких и почек [54]; ВВ, экспрессирующие ITG α5β1 и αVβ3 и взаимодействующие с фибронектином, демонстрируют преимущественную нацеленность на печень [55]; ВВ, несущие ITG β3, – на мозг [56]. В процессе циркуляции эти молекулы адгезии с различной степенью специфичности связываются с такими целевыми клетками в органах как эндотелиоциты, эпителиоциты, фагоциты [57, 58]. Вероятно, регистрируемые нами различные эффекты, или отсутствие таковых, в отдаленных органах при введении ВВ от активированных по-разному клеток, связано с различием в экспрессии именно молекул адгезии и тетраспанинов. В частности, уровень CD54 (ICAM-1) во ВВ в группе EVs_TNF был выше, чем во фракции везикул EVs_PMA [22, 23].
При реализации иммунного ответа внеклеточные везикулы участвуют в обеспечении взаимодействия разных звеньев иммунной системы, а именно врожденной и адаптивной. Для активации наивной Т-клетки необходима презентация антигена антигенпрезентирующей клеткой (АПК) в составе главного комплекса гистосовместимости. ВВ могут брать на себя эту функцию, когда АПК напрямую не взаимодействует с Т-клеткой [59]. Так же, как и с клетками, для обеспечения контакта на ВВ потребуется ко-экспрессия ICAM-1 и рецепторов B7–1 (CD80)/ B7–2 (CD86) [60, 61]. Таким образом, экспрессия костимуляторных и адгезионных молекул на поверхности ВВ, продуцируемых моноцитоподобными клетками, может быть критичной для реализации их функций.
ЗАКЛЮЧЕНИЕ
В настоящем исследовании на рыбах Danio rerio мы продемонстрировали возможность посредством внеклеточных везикул, продуцированных активированными моноцитоподобными клетками, влиять на поляризацию иммунного ответа после смоделированной травмы спинного мозга, в частности на изменение уровня экспрессии провоспалительных и противовоспалительных генов в тканях мозга, сердца, печени и почки.
ВКЛАДЫ АВТОРОВ
Планирование эксперимента, подготовка и обработка проб, сбор данных (Г.А.С., С.Д.Б., К.О.В., А.А.Д., Т.П.В., К.Е.Е., Т.А.С., Р.А.А., М.Л.А., К.И.В.), обработка данных (Г.А.С., К.О.В., С.Д.Б., А.А.Д., Т.П.В.), написание и редактирование манускрипта (Г.А.С., К.О.В., С.Д.Б.).
СОБЛЮДЕНИЕ ЭТИЧЕСКИХ НОРМ
Все процедуры, выполненные в исследованиях с участием животных, соответствовали этическим стандартам, утвержденным правовыми актами РФ, принципам Базельской декларации и рекомендациям Комиссии по контролю содержания и использования лабораторных животных НМИЦ им. В.А. Алмазова.
Протокол эксперимента был одобрен Комиссией по контролю содержания и использования лабораторных животных НМИЦ им. В.А. Алмазова (выписка № 8 из протокола № 22–8/1 от 31 августа 2022 г.).
ИСТОЧНИК ФИНАНСИРОВАНИЯ
Исследование выполнено за счет гранта Российского научного фонда № 19–75–20076, https://rscf.ru/project/19-75-20076/.
КОНФЛИКТ ИНТЕРЕСОВ
Авторы декларируют отсутствие явных и потенциальных конфликтов интересов, связанных с публикацией данной статьи.
About the authors
D. B. Sambur
Federal State Budgetary Institution “Almazov National Medical Research Center”
Email: golovkin_a@mail.ru
Russian Federation, St. Petersburg
O. V. Kalinina
Federal State Budgetary Institution “Almazov National Medical Research Center”
Email: golovkin_a@mail.ru
Russian Federation, St. Petersburg
A. D. Aquino
Federal State Budgetary Institution “Almazov National Medical Research Center”
Email: golovkin_a@mail.ru
Russian Federation, St. Petersburg
P. V. Tirikova
Federal State Budgetary Institution “Almazov National Medical Research Center”
Email: golovkin_a@mail.ru
Russian Federation, St. Petersburg
E. E. Koroleva
Federal State Budgetary Institution “Almazov National Medical Research Center”
Email: golovkin_a@mail.ru
Russian Federation, St. Petersburg
A. S. Trulioff
Federal State Budgetary Institution “Institute of Experimental Medicine”
Email: golovkin_a@mail.ru
Russian Federation, St. Petersburg
A. A. Rubinshtein
Federal State Budgetary Institution “Almazov National Medical Research Center”; Federal State Budgetary Institution “Institute of Experimental Medicine”
Email: golovkin_a@mail.ru
Russian Federation, St. Petersburg; St. Petersburg
L. A. Murashova
Federal State Budgetary Institution “Almazov National Medical Research Center”
Email: golovkin_a@mail.ru
Russian Federation, St. Petersburg
I. V. Kudryavtsev
Federal State Budgetary Institution “Almazov National Medical Research Center”; Federal State Budgetary Institution “Institute of Experimental Medicine”
Email: golovkin_a@mail.ru
Russian Federation, St. Petersburg; St. Petersburg
A. S. Golovkin
Federal State Budgetary Institution “Almazov National Medical Research Center”
Author for correspondence.
Email: golovkin_a@mail.ru
Russian Federation, St. Petersburg
References
- Orr MB, Gensel JC (2018) Spinal Cord Injury Scarring and Inflammation: Therapies Targeting Glial and Inflammatory Responses. Neurotherapeutics 15: 541–553. https://doi.org/10.1007/s13311-018-0631-6
- Liu X, Zhang L, Cao Y, Jia H, Li X, Li F, Zhang S, Zhang J (2023) Neuroinflammation of traumatic brain injury: Roles of extracellular vesicles. Front Immunol 13. https://doi.org/10.3389/fimmu.2022.1088827
- Loane DJ, Kumar A (2016) Microglia in the TBI brain: The good, the bad, and the dysregulated. Exp Neurol 275: 316–327. https://doi.org/10.1016/j.expneurol.2015.08.018
- Yang Y, Boza-Serrano A, Dunning CJR, Clausen BH, Lambertsen KL, Deierborg T (2018) Inflammation leads to distinct populations of extracellular vesicles from microglia. J Neuroinflammation 15. https://doi.org/10.1186/s12974-018-1204-7
- Shi K, Zhang J, Dong J fei, Shi FD (2019) Dissemination of brain inflammation in traumatic brain injury. Cell Mol Immunol 16: 523–530. https://doi.org/10.1038/s41423-019-0213-5
- Ruan J, Miao X, Schlüter D, Lin L, Wang X (2021) Extracellular vesicles in neuroinflammation: Pathogenesis, diagnosis, and therapy. Mol Ther 29: 1946–1957. https://doi.org/10.1016/j.ymthe.2021.04.020
- Simon DW, McGeachy MJ, Baylr H, Clark RSB, Loane DJ, Kochanek PM (2017) The far-reaching scope of neuroinflammation after traumatic brain injury. Nat Rev Neurol 13: 171–191. https://doi.org/10.1038/nrneurol.2017.13
- Zhang J, Shi W, Qu D, Yu T, Qi C, Fu H (2022) Extracellular vesicle therapy for traumatic central nervous system disorders. Stem Cell Res Ther 13. https://doi.org/10.1186/s13287-022-03106-5
- Verdi V, Bécot A, van Niel G, Verweij FJ (2021) In vivo imaging of EVs in zebrafish: New perspectives from “the waterside.” FASEB BioAdvances 3: 918–929. https://doi.org/10.1096/fba.2021-00081
- Aires ID, Ribeiro-Rodrigues T, Boia R, Ferreira-Rodrigues M, Girão H, Ambrósio AF, Santiago AR (2021) Microglial extracellular vesicles as vehicles for neurodegeneration spreading. Biomolecules 11. https://doi.org/10.3390/biom11060770
- Hu Q, Su H, Li J, Lyon C, Tang W, Wan M, Ye Hu T (2020) Clinical applications of exosome membrane proteins. Precis Clin Med 3: 54–66. https://doi.org/10.1093/pcmedi/pbaa007
- Fitzgerald W, Freeman ML, Lederman MM, Vasilieva E, Romero R, Margolis L (2018) A System of Cytokines Encapsulated in ExtraCellular Vesicles. Sci Rep 8(1): 8973. https://doi.org/10.1038/s41598-018-27190-x
- Kondratov K, Nikitin Y, Fedorov A, Kostareva A, Mikhailovskii V, Isakov D, Ivanov A, Golovkin A (2020) Heterogeneity of the nucleic acid repertoire of plasma extracellular vesicles demonstrated using high-sensitivity fluorescence-activated sorting. J Extracell Vesicles 9. https://doi.org/10.1080/20013078.2020.1743139
- Kalinina OV, Khudiakov AА, Panshin DD, Nikitin YV, Ivanov AM, Kostareva AA, Golovkin AS (2022) Small Non-Coding RNA Profiles of Sorted Plasma Extracellular Vesicles: Technical Approach. J Evol Biochem Physiol 58:1847–1864. https://doi.org/10.1134/s0022093022060151
- Fedorov A, Kondratov K, Kishenko V, Mikhailovskii V, Kudryavtsev I, Belyakova M, Sidorkevich S, Vavilova T, Kostareva A, Sirotkina O, Golovkin A (2020) Application of high-sensitivity flow cytometry in combination with low-voltage scanning electron microscopy for characterization of nanosized objects during platelet concentrate storage. Platelets 31: 226–235. https://doi.org/10.1080/09537104.2019.1599337
- Jin T, Gu J, Li Z, Xu Z, Gui Y (2021) Recent advances on extracellular vesicles in central nervous system diseases. Clin Interv Aging 16: 257–274. https://doi.org/10.2147/CIA.S288415
- Rong Y, Liu W, Wang J, Fan J, Luo Y, Li L, Kong F, Chen J, Tang P, Cai W (2019) Neural stem cell-derived small extracellular vesicles attenuate apoptosis and neuroinflammation after traumatic spinal cord injury by activating autophagy. Cell Death Dis 10. https://doi.org/10.1038/s41419-019-1571-8
- Mhalhel K, Sicari M, Pansera L, Chen J, Levanti M, Diotel N, Rastegar S, Germanà A, Montalbano G (2023) Zebrafish: A Model Deciphering the Impact of Flavonoids on Neurodegenerative Disorders. Cells 12. https://doi.org/10.3390/cells12020252
- Saleem S, Kannan RR (2018) Zebrafish: an emerging real-time model system to study Alzheimer’s disease and neurospecific drug discovery. Cell Death Discov 4. https://doi.org/10.1038/s41420-018-0109-7
- Lee Y, Lee S, Park JW, Hwang JS, Kim SM, Lyoo IK, Lee CJ, Han IO (2018) Hypoxia-Induced Neuroinflammation and Learning–Memory Impairments in Adult Zebrafish Are Suppressed by Glucosamine. Mol Neurobiol 55: 8738–8753. https://doi.org/10.1007/s12035-018-1017-9
- Zeng C-W, Tsai H-J (2023) The Promising Role of a Zebrafish Model Employed in Neural Regeneration Following a Spinal Cord Injury. Int J Mol Sci 24: 13938. https://doi.org/10.3390/ijms241813938
- Sambur DB, Kalinina OV, Aquino AD, Tirikova PV, Migunova MA, Koroleva EE, Trulyov AS, Rubinshtein AA, Kudryavtsev IV, Golovkin AS (2024) Extracellular vesicles secreted by the THP-1 cells influence on the inflammation gene expression in zebrafish. Neurochem J 1.
- Акино АД, Рубинштейн АA, Трулев АС, Кудрявцев ИВ, Головкин АС (2024) Изменение профиля продуцируемых внеклеточных везикул клетками линии THP-1 в зависимости от использованного стимулятора. Комплексные проблемы сердечно-сосудистых заболеваний. Комплексные проблемы сердечно-сосудистых заболеваний. Опубликовано онлайн 07.12.2023. [Aquino AD, Rubinshtein AA, Trulyov AS, Kudryavtsev IV, Golovkin AS (2024) Izmenenie profilya produciruemyh vnekletochnyh vezikul kletkami linii THP-1 v zavisimosti ot ispol’zovannogo stimulyatora Kompleksnye problemy serdechno-sosudistyh zabolevanij (In Russ)]. Published Online 7 December 2023.
- Théry C, Witwer KW, Aikawa E, Alcaraz MJ, Anderson JD, Andriantsitohaina R, Antoniou A, Arab T, Archer F, Atkin-Smith GK, Ayre DC, Bach JM, Bachurski D, Baharvand H, Balaj L, Baldacchino S, Bauer NN, Baxter AA, Bebawy M, Beckham C, Bedina Zavec A, Benmoussa A, Berardi AC, Bergese P, Bielska E, Blenkiron C, Bobis-Wozowicz S, Boilard E, Boireau W, Bongiovanni A, Borràs FE, Bosch S, Boulanger CM, Breakefield X, Breglio AM, Brennan M, Brigstock DR, Brisson A, Broekman MLD, Bromberg JF, Bryl-Górecka P, Buch S, Buck AH, Burger D, Busatto S, Buschmann D, Bussolati B, Buzás EI, Byrd JB, Camussi G, Carter DRF, Caruso S, Chamley LW, Chang YT, Chaudhuri AD, Chen C, Chen S, Cheng L, Chin AR, Clayton A, Clerici SP, Cocks A, Cocucci E, Coffey RJ, Cordeiro-da-Silva A, Couch Y, Coumans FAW, Coyle B, Crescitelli R, Criado MF, D’Souza-Schorey C, Das S, de Candia P, De Santana EF, De Wever O, del Portillo HA, Demaret T, Deville S, Devitt A, Dhondt B, Di Vizio D, Dieterich LC, Dolo V, Dominguez Rubio AP, Dominici M, Dourado MR, Driedonks TAP, Duarte FV, Duncan HM, Eichenberger RM, Ekström K, EL Andaloussi S, Elie-Caille C, Erdbrügger U, Falcón-Pérez JM, Fatima F, Fish JE, Flores-Bellver M, Försönits A, Frelet-Barrand A, Fricke F, Fuhrmann G, Gabrielsson S, Gámez-Valero A, Gardiner C, Gärtner K, Gaudin R, Gho YS, Giebel B, Gilbert C, Gimona M, Giusti I, Goberdhan DCI, Görgens A, Gorski SM, Greening DW, Gross JC, Gualerzi A, Gupta GN, Gustafson D, Handberg A, Haraszti RA, Harrison P, Hegyesi H, Hendrix A, Hill AF, Hochberg FH, Hoffmann KF, Holder B, Holthofer H, Hosseinkhani B, Hu G, Huang Y, Huber V, Hunt S, Ibrahim AGE, Ikezu T, Inal JM, Isin M, Ivanova A, Jackson HK, Jacobsen S, Jay SM, Jayachandran M, Jenster G, Jiang L, Johnson SM, Jones JC, Jong A, Jovanovic-Talisman T, Jung S, Kalluri R, Kano S ichi, Kaur S, Kawamura Y, Keller ET, Khamari D, Khomyakova E, Khvorova A, Kierulf P, Kim KP, Kislinger T, Klingeborn M, Klinke DJ, Kornek M, Kosanović MM, Kovács ÁF, Krämer-Albers EM, Krasemann S, Krause M, Kurochkin I V., Kusuma GD, Kuypers S, Laitinen S, Langevin SM, Languino LR, Lannigan J, Lässer C, Laurent LC, Lavieu G, Lázaro-Ibáñez E, Le Lay S, Lee MS, Lee YXF, Lemos DS, Lenassi M, Leszczynska A, Li ITS, Liao K, Libregts SF, Ligeti E, Lim R, Lim SK, Linē A, Linnemannstöns K, Llorente A, Lombard CA, Lorenowicz MJ, Lörincz ÁM, Lötvall J, Lovett J, Lowry MC, Loyer X, Lu Q, Lukomska B, Lunavat TR, Maas SLN, Malhi H, Marcilla A, Mariani J, Mariscal J, Martens-Uzunova ES, Martin-Jaular L, Martinez MC, Martins VR, Mathieu M, Mathivanan S, Maugeri M, McGinnis LK, McVey MJ, Meckes DG, Meehan KL, Mertens I, Minciacchi VR, Möller A, Møller Jørgensen M, Morales-Kastresana A, Morhayim J, Mullier F, Muraca M, Musante L, Mussack V, Muth DC, Myburgh KH, Najrana T, Nawaz M, Nazarenko I, Nejsum P, Neri C, Neri T, Nieuwland R, Nimrichter L, Nolan JP, Nolte-’t Hoen ENM, Noren Hooten N, O’Driscoll L, O’Grady T, O’Loghlen A, Ochiya T, Olivier M, Ortiz A, Ortiz LA, Osteikoetxea X, Ostegaard O, Ostrowski M, Park J, Pegtel DM, Peinado H, Perut F, Pfaffl MW, Phinney DG, Pieters BCH, Pink RC, Pisetsky DS, Pogge von Strandmann E, Polakovicova I, Poon IKH, Powell BH, Prada I, Pulliam L, Quesenberry P, Radeghieri A, Raffai RL, Raimondo S, Rak J, Ramirez MI, Raposo G, Rayyan MS, Regev-Rudzki N, Ricklefs FL, Robbins PD, Roberts DD, Rodrigues SC, Rohde E, Rome S, Rouschop KMA, Rughetti A, Russell AE, Saá P, Sahoo S, Salas-Huenuleo E, Sánchez C, Saugstad JA, Saul MJ, Schiffelers RM, Schneider R, Schøyen TH, Scott A, Shahaj E, Sharma S, Shatnyeva O, Shekari F, Shelke GV, Shetty AK, Shiba K, Siljander PRM, Silva AM, Skowronek A, Snyder OL, Soares RP, Sódar BW, Soekmadji C, Sotillo J, Stahl PD, Stoorvogel W, Stott SL, Strasser EF, Swift S, Tahara H, Tewari M, Timms K, Tiwari S, Tixeira R, Tkach M, Toh WS, Tomasini R, Torrecilhas AC, Tosar JP, Toxavidis V, Urbanelli L, Vader P, van Balkom BWM, van der Grein SG, Van Deun J, van Herwijnen MJC, Van Keuren-Jensen K, van Niel G, van Royen ME, van Wijnen AJ, Vasconcelos MH, Vechetti IJ, Veit TD, Vella LJ, Velot É, Verweij FJ, Vestad B, Viñas JL, Visnovitz T, Vukman KV, Wahlgren J, Watson DC, Wauben MHM, Weaver A, Webber JP, Weber V, Wehman AM, Weiss DJ, Welsh JA, Wendt S, Wheelock AM, Wiener Z, Witte L, Wolfram J, Xagorari A, Xander P, Xu J, Yan X, Yáñez-Mó M, Yin H, Yuana Y, Zappulli V, Zarubova J, Žėkas V, Zhang J ye, Zhao Z, Zheng L, Zheutlin AR, Zickler AM, Zimmermann P, Zivkovic AM, Zocco D, Zuba-Surma EK (2018) Minimal information for studies of extracellular vesicles 2018 (MISEV2018): a position statement of the International Society for Extracellular Vesicles and update of the MISEV2014 guidelines. J Extracell Vesicles 7. https://doi.org/10.1080/20013078.2018.1535750
- Dubashynskaya NV, Bokatyi AN, Golovkin AS, Kudryavtsev IV, Serebryakova MK, Trulioff AS, Dubrovskii YA, Skorik YA (2021) Synthesis and characterization of novel succinyl chitosan-dexamethasone conjugates for potential intravitreal dexamethasone delivery. Int J Mol Sci 22. https://doi.org/10.3390/ijms222010960
- Kudryavtsev I, Kalinina O, Bezrukikh V, Melnik O, Golovkin A (2021) The significance of phenotyping and quantification of plasma extracellular vesicles levels using high-sensitivity flow cytometry during covid-19 treatment. Viruses 13. https://doi.org/10.3390/v13050767
- Hui SP, Dutta A, Ghosh S (2010) Cellular response after crush injury in adult zebrafish spinal cord. Dev Dyn 239: 2962–2979. https://doi.org/10.1002/dvdy.22438
- Alexey G, Ma Y, Fedorov AV, Kondratov KA, Knyazeva AA, Vasyutina ML (2021) Organ-specific lps-induced inflammatory gene expression in adult zebrafish. Med Immunol 23: 1069–1078. https://doi.org/10.15789/1563-0625-OSL-2357
- Hu X, Xu W, Ren Y, Wang Z, He X, Huang R, Ma B, Zhao J, Zhu R, Cheng L (2023) Spinal cord injury: molecular mechanisms and therapeutic interventions. Signal Transduct Target Ther 8. https://doi.org/10.1038/s41392-023-01477-6
- Herzog C, Greenald D, Larraz J, Keatinge M, Herrgen L (2020) RNA-seq analysis and compound screening highlight multiple signalling pathways regulating secondary cell death after acute CNS injury in vivo. Biol Open 9. https://doi.org/10.1242/bio.050260
- Fontaine M, Lepape A, Piriou V, Venet F, Friggeri A (2016) Innate danger signals in acute injury: From bench to bedside. Anaesth Crit Care Pain Med 35: 283–292. https://doi.org/10.1016/J.ACCPM.2015.10.009
- Cavaillon JM, Annane D (2006) Compartmentalization of the inflammatory response in sepsis and SIRS. J Endotoxin Res 12: 151–170. https://doi.org/10.1179/096805106X102246
- Kwon HS, Koh SH (2020) Neuroinflammation in neurodegenerative disorders: the roles of microglia and astrocytes. Transl Neurodegener 9. https://doi.org/10.1186/s40035-020-00221-2
- Brennan FH, Li Y, Wang C, Ma A, Guo Q, Li Y, Pukos N, Campbell WA, Witcher KG, Guan Z, Kigerl KA, Hall JCE, Godbout JP, Fischer AJ, McTigue DM, He Z, Ma Q, Popovich PG (2022) Microglia coordinate cellular interactions during spinal cord repair in mice. Nat Commun 13. https://doi.org/10.1038/s41467-022-31797-0
- Tsarouchas TM, Wehner D, Cavone L, Munir T, Keatinge M, Lambertus M, Underhill A, Barrett T, Kassapis E, Ogryzko N, Feng Y, van Ham TJ, Becker T, Becker CG (2018) Dynamic control of proinflammatory cytokines Il-1β and Tnf-α by macrophages in zebrafish spinal cord regeneration. Nat Commun 9. https://doi.org/10.1038/s41467-018-07036-w
- Theron V, Harvey BH, Botha T, Weinshenker D, Wolmarans DW (2023) Life-threatening, high-intensity trauma- and context-dependent anxiety in zebrafish and its modulation by epinephrine. Horm Behav 153: 105376. https://doi.org/10.1016/J.YHBEH.2023.105376
- Hartig EI, Zhu S, King BL, Coffman JA (2016) Cortisol-treated zebrafish embryos develop into pro-inflammatory adults with aberrant immune gene regulation. Biol Open 5: 1134–1141. https://doi.org/10.1242/bio.020065
- Barton DJ, Kumar RG, Schuster AA, Juengst SB, Oh BM, Wagner AK (2021) Acute Cortisol Profile Associations With Cognitive Impairment After Severe Traumatic Brain Injury. Neurorehabil Neural Repair 35: 1088–1099. https://doi.org/10.1177/15459683211048771
- Dong T, Zhi L, Bhayana B, Wu MX (2016) Cortisol-induced immune suppression by a blockade of lymphocyte egress in traumatic brain injury. J Neuroinflammation 13. https://doi.org/10.1186/s12974-016-0663-y
- Ferrero G, Gomez E, Lyer S, Rovira M, Miserocchi M, Langenau DM, Bertrand JY, Wittamer V (2020) The macrophage-expressed gene (mpeg) 1 identifies a subpopulation of B cells in the adult zebrafish. J Leukoc Biol 107: 431–443. https://doi.org/10.1002/JLB.1A1119-223R
- Rojo I, de Ilárduya ÓM, Estonba A, Pardo MÁ (2007) Innate immune gene expression in individual zebrafish after Listonella anguillarum inoculation. Fish Shellfish Immunol 23: 1285–1293. https://doi.org/10.1016/j.fsi.2007.07.002
- Lieschke GJ, Oates AC, Crowhurst MO, Ward AC, Layton JE (2001) Morphologic and functional characterization of granulocytes and macrophages in embryonic and adult zebrafish. Blood 98: 3087–3096. https://doi.org/10.1182/BLOOD.V98.10.3087
- Xu S, Lu J, Shao A, Zhang JH, Zhang J (2020) Glial Cells: Role of the Immune Response in Ischemic Stroke. Front Immunol 11. https://doi.org/10.3389/fimmu.2020.00294
- Hart CG, Karimi-Abdolrezaee S (2021) Recent insights on astrocyte mechanisms in CNS homeostasis, pathology, and repair. J Neurosci Res 99: 2427–2462. https://doi.org/10.1002/jnr.24922
- Kalra H, Drummen GPC, Mathivanan S (2016) Focus on extracellular vesicles: Introducing the next small big thing. Int J Mol Sci 17. https://doi.org/10.3390/ijms17020170
- Великонивцев ФС, Головкин АС (2020) Терапия внеклеточными везикулами: возможности, механизмы и перспективы применения. Росс кардиол журн 25(10): 4081. [Velikonivtsev FS, Golovkin AS (2020) Extracellular vesicle therapy: effectiveness, mechanisms and application potentials. Russ J Cardiol 25(10):4081. (In Russ.)]. https://doi.org/10.15829/1560-4071-2020-4081
- Velmiskina AA, Kalinina OV, Petrova TA, Nikitin YV, Golovkin AS (2022) Methodology To Study Single Extracellular Vesicles Of Various Cellular Origin. Russ J Pers Med 2: 101–110. https://doi.org/10.18705/2782-3806-2022-2-3-101-110
- Chan YK, Zhang H, Liu P, Tsao SW, Lung ML, Mak NK, Ngok-Shun Wong R, Yue PYK (2015) Proteomic analysis of exosomes from nasopharyngeal carcinoma cell identifies intercellular transfer of angiogenic proteins. Int J Cancer 137: 1830–1841. https://doi.org/10.1002/ijc.29562
- Yuana Y, Sturk A, Nieuwland R (2013) Extracellular vesicles in physiological and pathological conditions. Blood Rev 27: 31–39. https://doi.org/10.1016/j.blre.2012.12.002
- Chaudhuri AD, Dastgheyb RM, Yoo SW, Trout A, Talbot CC, Hao H, Witwer KW, Haughey NJ (2018) TNFα and IL-1β modify the miRNA cargo of astrocyte shed extracellular vesicles to regulate neurotrophic signaling in neurons article. Cell Death Dis 9. https://doi.org/10.1038/s41419-018-0369-4
- Huang S, Ge X, Yu J, Han Z, Yin Z, Li Y, Chen F, Wang H, Zhang J, Lei P (2018) Increased miR-124–3p in microglial exosomes following traumatic brain injury inhibits neuronal inflammation and contributes to neurite outgrowth via their transfer into neurons. FASEB J 32: 512–528. https://doi.org/10.1096/fj.201700673R
- Lin W, Fang J, Wei S, He G, Liu J, Li X, Peng X, Li D, Yang S, Li X, Yang L, Li H (2023) Extracellular vesicle-cell adhesion molecules in tumours: biofunctions and clinical applications. Cell Commun Signal 21: 246. https://doi.org/10.1186/s12964-023-01236-8
- Whitham M, Parker BL, Friedrichsen M, Hingst JR, Hjorth M, Hughes WE, Egan CL, Cron L, Watt KI, Kuchel RP, Jayasooriah N, Estevez E, Petzold T, Suter CM, Gregorevic P, Kiens B, Richter EA, James DE, Wojtaszewski JFP, Febbraio MA (2018) Extracellular Vesicles Provide a Means for Tissue Crosstalk during Exercise. Cell Metab 27: 237–251.e4. https://doi.org/10.1016/j.cmet.2017.12.001
- Rana S, Yue S, Stadel D, Zöller M (2012) Toward tailored exosomes: The exosomal tetraspanin web contributes to target cell selection. Int J Biochem Cell Biol 44:1574–1584. https://doi.org/10.1016/j.biocel.2012.06.018
- Nguyen SL, Ahn SH, Greenberg JW, Collaer BW, Agnew DW, Arora R, Petroff MG (2021) Integrins mediate placental extracellular vesicle trafficking to lung and liver in vivo. Sci Rep 11. https://doi.org/10.1038/s41598-021-82752-w
- Hoshino A, Costa-Silva B, Shen TL, Rodrigues G, Hashimoto A, Tesic Mark M, Molina H, Kohsaka S, Di Giannatale A, Ceder S, Singh S, Williams C, Soplop N, Uryu K, Pharmer L, King T, Bojmar L, Davies AE, Ararso Y, Zhang T, Zhang H, Hernandez J, Weiss JM, Dumont-Cole VD, Kramer K, Wexler LH, Narendran A, Schwartz GK, Healey JH, Sandstrom P, Jørgen Labori K, Kure EH, Grandgenett PM, Hollingsworth MA, De Sousa M, Kaur S, Jain M, Mallya K, Batra SK, Jarnagin WR, Brady MS, Fodstad O, Muller V, Pantel K, Minn AJ, Bissell MJ, Garcia BA, Kang Y, Rajasekhar VK, Ghajar CM, Matei I, Peinado H, Bromberg J, Lyden D (2015) Tumour exosome integrins determine organotropic metastasis. Nature 527:329–335. https://doi.org/10.1038/nature15756
- Ghoroghi S, Mary B, Larnicol A, Asokan N, Klein A, Osmani N, Busnelli I, Delalande F, Paul N, Halary S, Gros F, Fouillen L, Haeberle AM, Royer C, Spiegelhalter C, André-Grégoire G, Mittelheisser V, Detappe A, Murphy K, Timpson P, Carapito R, Blot-Chabaud M, Gavard J, Carapito C, Vitale N, Lefebvre O, Goetz JG, Hyenne V (2021) Ral GTPases promote breast cancer metastasis by controlling biogenesis and organ targeting of exosomes. Elife 10:1–29. https://doi.org/10.7554/eLife.61539
- Leary N, Walser S, He Y, Cousin N, Pereira P, Gallo A, Collado-Diaz V, Halin C, Garcia-Silva S, Peinado H, Dieterich LC (2022) Melanoma-derived extracellular vesicles mediate lymphatic remodelling and impair tumour immunity in draining lymph nodes. J Extracell Vesicles 11. https://doi.org/10.1002/jev2.12197
- Ruhland MK, Roberts EW, Cai E, Mujal AM, Marchuk K, Beppler C, Nam D, Serwas NK, Binnewies M, Krummel MF (2020) Visualizing Synaptic Transfer of Tumor Antigens among Dendritic Cells. Cancer Cell 37:786–799.e5. https://doi.org/10.1016/j.ccell.2020.05.002
- Hwang I, Shen X, Sprent J (2003) Direct stimulation of naive T cells by membrane vesicles from antigen-presenting cells: distinct roles for CD54 and B7 molecules. Proc Natl Acad Sci U S A 100(11): 6670–6675. https://doi.org/10.1073/pnas.1131852100
- Robbins PD, Morelli AE (2014) Regulation of immune responses by extracellular vesicles. Nat Rev Immunol 14: 195–208. https://doi.org/10.1038/nri3622
Supplementary files










