LONG-TERM LIGHT DEPRIVATION AFFECTS DIGESTIVE FUNCTION IN RATS DURING ONTOGENY
- Authors: Antonova E.P.1, Morozov A.V.1, Ilyukha V.A.1, Khizhkin E.A.1,2, Kalinina S.N.1,2
-
Affiliations:
- Institute of Biology of the Karelian Research Centre of the Russian Academy of Sciences
- Petrozavodsk State University
- Issue: Vol 59, No 3 (2023)
- Pages: 223-231
- Section: EXPERIMENTAL ARTICLES
- URL: https://journals.rcsi.science/0044-4529/article/view/136701
- DOI: https://doi.org/10.31857/S0044452923030038
- EDN: https://elibrary.ru/YGXTXU
- ID: 136701
Cite item
Full Text
Abstract
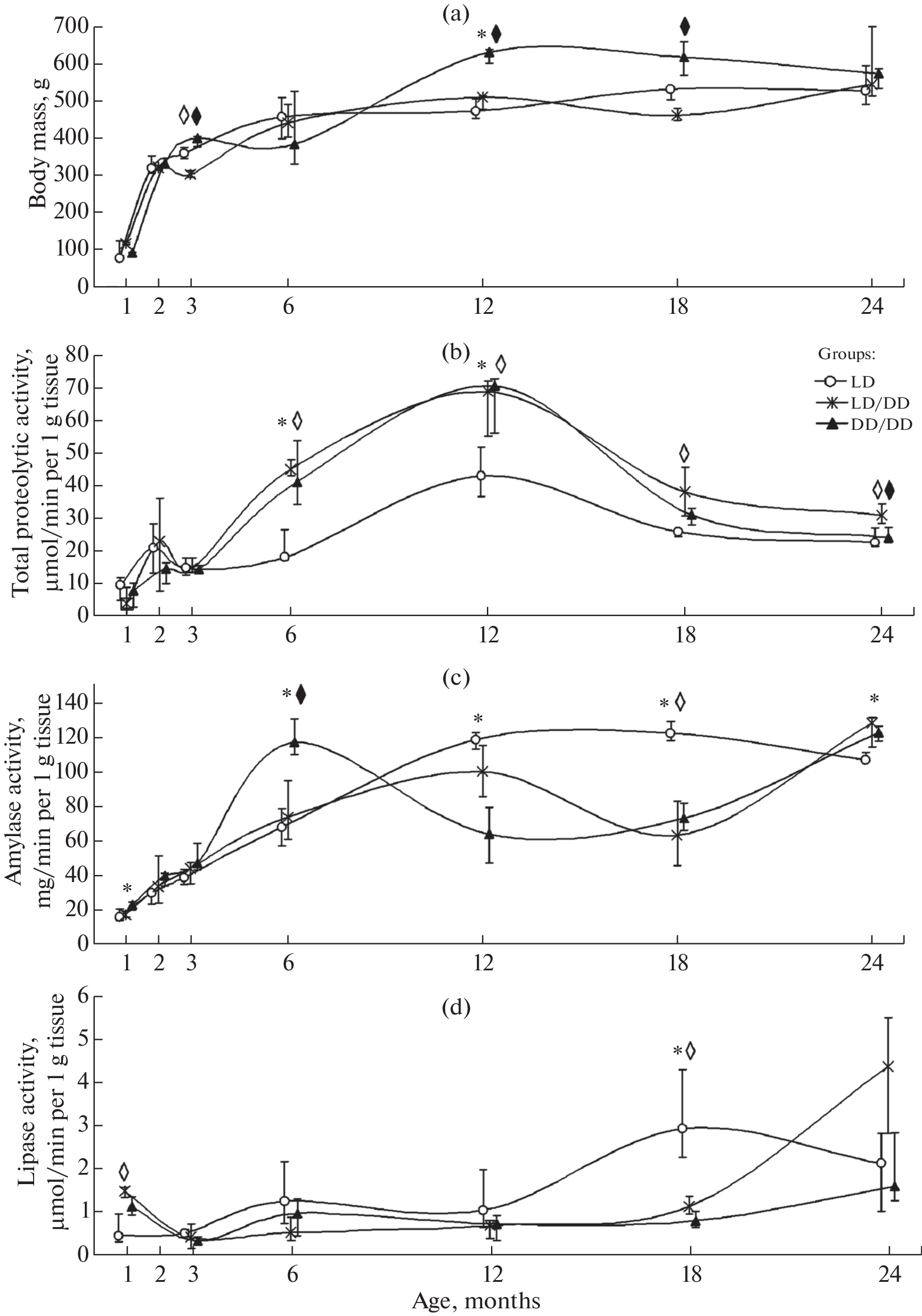
The effects of light deprivation on age-related changes in body weight, food and water intake, as well as the activity of digestive enzymes in pancreatic tissues of male rats was studied. Animals were divided into three groups: the first was in standard light conditions (12 h light/12 h dark, control, LD), the second was kept under conditions of long-term light deprivation from the moment of birth (LD/DD), and the third – from the prenatal period (DD/DD). Prolonged keeping of rats under conditions of light deprivation led to disruption of the age-associated dynamics of the studied parameters, at the same time, the detected changes in response to a specific light condition differed depending on the stage of ontogenesis at which its exposure began. Thus, body mass (age 3 and 18 months) and food and water intake (12 months), amylase and lipase activities (18 months) were lower, and protease activities after the end of the stable growth stage (12, 18 and 24 months) were higher in LD/DD-rats than in LD-rats. Significant changes in the studied parameters were observed under DD/DD conditions in 12‑month-old and 18-month-old rats – body mass was the largest, and food and water intake were the lowest compared to LD and LD/DD. In addition, the maximum amylase activity (1 and 6 months) among the studied groups and the higher values of total proteolytic activity during the period of stable growth (6 and 12 months) were found in DD/DD-rats compared to controls. Thus, our results indicate that light deprivation disrupts the ontogenetic development program of the digestive system of mammals.
Keywords
About the authors
E. P. Antonova
Institute of Biology of the Karelian Research Centre of the Russian Academy of Sciences
Author for correspondence.
Email: antonova88ep@mail.ru
Russia, Petrozavodsk
A. V. Morozov
Institute of Biology of the Karelian Research Centre of the Russian Academy of Sciences
Email: antonova88ep@mail.ru
Russia, Petrozavodsk
V. A. Ilyukha
Institute of Biology of the Karelian Research Centre of the Russian Academy of Sciences
Email: antonova88ep@mail.ru
Russia, Petrozavodsk
E. A. Khizhkin
Institute of Biology of the Karelian Research Centre of the Russian Academy of Sciences; Petrozavodsk State University
Email: antonova88ep@mail.ru
Russia, Petrozavodsk; Russia, Petrozavodsk
S. N. Kalinina
Institute of Biology of the Karelian Research Centre of the Russian Academy of Sciences; Petrozavodsk State University
Email: antonova88ep@mail.ru
Russia, Petrozavodsk; Russia, Petrozavodsk
References
- González MMC (2018) Dim Light at Night and Constant Darkness: Two Frequently Used Lighting Conditions That Jeopardize the Health and Well-being of Laboratory Rodents. Front Neurol 9: 609. https://doi.org/10.3389/fneur.2018.00609
- Sergina S, Ilyukha V, Uzenbaeva L, Khizhkin E, Anto-nova E (2016) Morphologic changes in the pineal gland of rats exposed to continuous darkness. Biol Rhythm Res 47 (5): 691–701. https://doi.org/10.1080/09291016.2016.1183842
- Tapia-Osorio A, Salgado-Delgado R, Angeles-Castellanos M, Escobar C (2013) Disruption of circadian rhythms due to chronic constant light leads to depressive and anxiety-like behaviors in the rat. Behav Brain Res 252: 1–9. https://doi.org/10.1016/j.bbr.2013.05.028
- Reiter RJ, Tan DX, Korkmaz A, Rosales-Corral SA (2014) Melatonin and stable circadian rhythms optimize maternal, placental and fetal physiology. Hum Reprod Update 20: 293–307. https://doi.org/10.1093/humupd/dmt054
- Borjigin J, Zhang LS, Calinescu AA (2012) Circadian regulation of pineal gland rhythmicity. Mol Cell Endocrinol 349 (1): 13–19. https://doi.org/10.1016/j.mce.2011.07.009
- Wurtman RJ, Axelrod J, Fischer JE (1964) Melatonin Synthesis in the Pineal Gland: Effect of Light Mediated by the Sympathetic Nervous System. Science 143 (3612): 1328–1329. https://doi.org/10.1126/science.143.3612.1328
- Анисимов ВН, Виноградова ИА, Букалев АВ, Попович ИГ, Забежинский МА, Панченко АВ, Тындык МЛ, Юрова МН (2014) Световой десинхроноз и риск злокачественных новообразований у лабораторных животных: состояние проблем. Вопр онкол 60 (2): 15–27. [Anisimov VN, Vinogradova IA, Bukalev AV, Popovich IG, Zabezhinskii MA, Panchenko AV, Tyndyk ML, Iurova MN (2014) Light-induced disruption of the circadian clock and risk of malignant tumors in laboratory animals: state of the problem. Vopr Onkol 60 (2): 15–27. (In Russ)].
- Astiz M, Oster H (2021) Feto-Maternal Crosstalk in the Development of the Circadian Clock System. Front Neurosci 14: 631687. https://doi.org/10.3389/fnins.2020.631687
- Mendez N, Halabi D, Salazar-Petres ER, Vergara K, Corvalan F, Richter HG, Bastidas C, Bascur P, Ehrenfeld P, Seron-Ferre M, Torres-Farfan C (2022) Maternal melatonin treatment rescues endocrine, inflammatory, and transcriptional deregulation in the adult rat female offspring from gestational chronodisruption. Front Neurosci 16: 1039977. https://doi.org/10.3389/fnins.2022.1039977
- Torres-Farfan C, Mendez N, Ehrenfeld P, Seron-Ferre M (2020) In utero circadian changes; facing light pollution. Curr Opin Physiol 13: 128–134. https://doi.org/10.1016/j.cophys.2019.11.005
- Tan DX, Xu B, Zhou X, Reiter RJ (2018) Pineal Calcification, Melatonin Production, Aging, Associated Health Consequences and Rejuvenation of the Pineal Gland. Molecules 23 (2): 301. https://doi.org/10.3390/molecules23020301
- Cipolla-Neto J, Amaral FG, Afeche SC, Tan DX, Reiter RJ (2014) Melatonin, energy metabolism, and obesity: a review. J Pineal Res 56 (4): 371–381. https://doi.org/10.1111/jpi.12137
- Antonova EP, Belkin VV, IlyukhaVA, Khizhkin EA, Kalinina SN (2022) Seasonal Changes in Body Mass and Activity of Digestive Enzymes in Eptesicus nilssonii (Mammalia: Chiroptera: Vespertilionidae) during hibernation. J Evol Biochem Phys 58: 1055–1064. https://doi.org/10.1134/S002209302204010X
- Никитина АА, Филаретова ЛП, Егорова ВВ, Тимофеева НМ (1994) Активность пищеварительных ферментов в пищеварительных и непищеварительных органах при стрессорных воздействиях. Физиол журнал им ИМ Сеченова 5: 67–74. [Nikitina AA, Filaretova LP, Egorova VV, Timofeeva NM (1994) Activity of digestive enzymes in the digestive and non-digestive organs under stress effects. Russ J Physiol 5: 67–74. (In Russ)].
- Toyoda A, Iio W, Matsukawa N, Tsukahara T (2015) Influence of Chronic Social Defeat Stress on Digestive System Functioning in Rats. J Nutr Sci Vitaminol (Tokyo) 61 (3): 280–284. https://doi.org/10.3177/jnsv.61.280
- Громова ЛВ, Савочкина ЕВ, Алексеева АС, Дмитриева ЮВ, Груздков АА (2020) Мембранный гидролиз углеводов и всасывания глюкозы в тонкой кишке крыс при хроническом иммобилизационном стрессе. Рос физиол журн им ИМ Сеченова 106 (11): 1421–1435. [Gromova LV, Savochkina EV, Aleksseva AS, Dmitrieva YV, Gruzdkov AA (2020) Membrane hydrolysis of carbohydrates and glucose absorption in the rat small intestine under chronic immobilization stress. Russ J Physiol 106 (11): 1421–1435. (In Russ)]. https://doi.org/10.31857/S0869813920100040
- Kang XZ, Jia LN, Zhang X, Li YM, Chen Y, Shen XY, Wu YC (2016) Long-Term Continuous Light Exposure Affects Body Weight and Blood Glucose Associated with Inflammation in Female Rats. J Biosci Med 4: 11–24. https://doi.org/10.4236/jbm.2016.49002
- Morris CJ, Yang JN, Garcia JI, Myers S, Bozzi I, Wang W, Buxton OM, Shea SA, Scheer FA (2015) Endogenous circadian system and circadian misalignment impact glucose tolerance via separate mechanisms in humans. Proc Natl Acad Sci U S A 112 (17): E2225–2234. https://doi.org/10.1073/pnas.1418955112
- Hussain MM, Pan X (2015) Circadian regulators of intestinal lipid absorption. J Lipid Res 56 (4): 761–770. https://doi.org/10.1194/jlr.R051573
- Li H, Zhang S, Zhang W, Chen S, Rabearivony A, Shi Y, Liu J, Corton CJ, Liu C (2020) Endogenous circadian time genes expressions in the liver of mice under constant darkness. BMC Genomics 21 (1): 224. https://doi.org/10.1186/s12864-020-6639-4
- Jameie SB, Mousavi M, Farhadi M, Mehraein F, Ababzadeh Soleimani M, Kerdari M, Jalilpouraghdam M (2016) Effects of total light deprivation on hippocampal neurogenesis and memory of adult rats: a sexual dimorphic study. Thrita 5: e36420. https://doi.org/10.5812/thrita.36420
- Cambras T, Lopez L, Arias JL, Diez-Noguera A (2005) Quantitative changes in neuronal and glial cells in the suprachiasmatic nucleus as a function of the lighting conditions during weaning. Brain Res Dev Brain Res 157: 27–33. https://doi.org/10.1016/j.devbrainres.2005.02.014
- Bedont JL, Blackshaw S (2015) Constructing the suprachiasmatic nucleus: a watchmaker’s perspective on the central clockworks. Front Syst Neurosci 9: 74. https://doi.org/10.3389/fnsys.2015.00074
- Coleman G, Gigg J, Canal MM (2016) Postnatal light alters hypothalamic-pituitary-adrenal axis function and induces a depressive-like phenotype in adult mice. Eur J Neurosci 44 (10): 2807–2817. https://doi.org/10.1111/ejn.13388
- Хижкин ЕА, Гулявина АВ, Илюха ВА, Виноградова ИА, Морозов АВ, Брулер ЕС (2018) Возрастные изменения поведения и тревожно-фобических реакций крыс при воздействии световой депривации и лузиндола. Труды Карельск научн центра РАН. 12: 110–124. [Hizhkin EA, Gulyavina AV, Ilyukha VA, Vinogradova IA, Morozov AV, Bruler ES (2018) Аge-related changes in the behavior and phobic anxiety reactions in rats under exposure to light deprivation and luzindole. Transact. KarRC RAS 12: 110–124. (In Russ)]. https://doi.org/10.17076/eb932
- Coleman G, Canal MM (2017) Postnatal light effects on pup stress axis development are independent of maternal behavior. Front Neurosci 11: 46. https://doi.org/10.3389/fnins.2017.00046
- Patterson ZR, Abizaid A (2013) Stress induced obesity: lessons from rodent models of stress. Front Neurosci 7: 130. https://doi.org/10.3389/fnins.2013.00130
- Black PH (2006) The inflammatory consequences of psychologic stress: relationship to insulin resistance, obesity, atherosclerosis and diabetes mellitus, type II. Med Hypotheses 67: 879–891. https://doi.org/10.1016/j.mehy.2006.04.008
- Depke M, Fusch G, Domanska G, Geffers R, Volker U, Schuett C, Kiank C (2008) Hypermetabolic syndrome as a consequence of repeated psychological stress in mice. Endocrinology 149: 2714–2723. https://doi.org/10.1210/en.2008-0038
Supplementary files




