EFFECTS OF NEONATAL HYPOXIA AND ANTIDEPRESSANT FLUOXETINE ON COGNITIVE AND STRESS-HORMONAL FUNCTIONS IN ADULT RATS
- Authors: Mikhailenko V.A.1, Butkevich I.P.1, Vershinina E.A.1
-
Affiliations:
- Pavlov Institute of Physiology, Russian Academy of Sciences
- Issue: Vol 59, No 3 (2023)
- Pages: 178-189
- Section: EXPERIMENTAL ARTICLES
- URL: https://journals.rcsi.science/0044-4529/article/view/136696
- DOI: https://doi.org/10.31857/S0044452923030063
- EDN: https://elibrary.ru/YHNJYS
- ID: 136696
Cite item
Full Text
Abstract
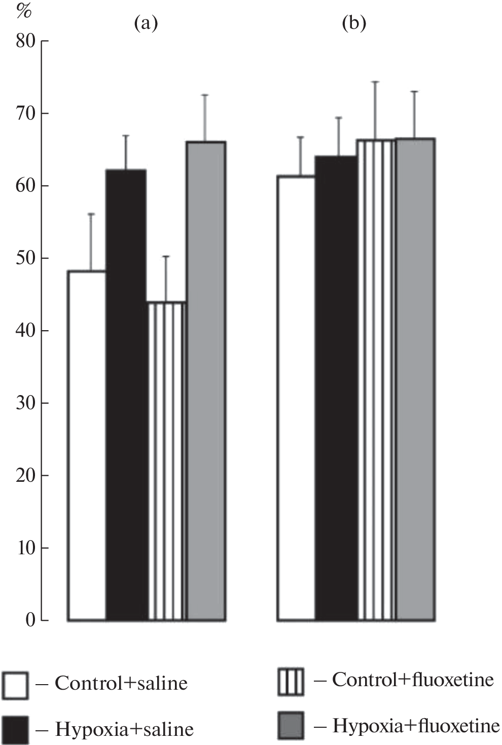
The ability to spatial learning and the functionality of the spatial memory, and also the stressful reactivity of the hypothalamus-pituitary-adrenocortical axis (the HPA axis) were investigated in adult male and female rats, subjected to moderate acute hypoxia on the 2nd day of life, and then to chronic administration of the serotonin reuptake inhibitor fluoxetine. When testing the ability to spatial training in adult rats subjected to neonatal hypoxia, an increase in the latent period of reaching the platform in the Morris water maze in the first try in the first of five days of training was found. The results of memory analysis in the novel object recognition test and in the Morris water maze testify that hypoxia did not cause memory deficiency in adult animals. Moreover, hypoxia improved the memory indices on the first day in males and on the fourth day in females after removing the platform from the pool compared to the corresponding control values. The content of corticosterone in blood plasma of males in response to memory testing did not differ between control and experimental groups and was characterized by higher rates than in females of corresponding groups. Hypoxia increased the HPA axis reactivity in females, which was combined with a longer memory storage. Fluoxetine normalized the indicator of spatial learning, did not cause changes in control animals and did not change the identified improvement of memory in hypoxic rats without administration of this drug. The new data obtained expand the idea of the long-term effect of neonatal normobaric moderate hypoxia on the spatial memory and the HPA axis reactivity depending on sex and emphasize the absence of the harmful effect of fluoxetine on spatial memory in both control rats and in rats with the effects of hypoxia.
About the authors
V. A. Mikhailenko
Pavlov Institute of Physiology, Russian Academy of Sciences
Author for correspondence.
Email: viktormikhailenko@yandex.ru
Russia, St. Petersburg
I. P. Butkevich
Pavlov Institute of Physiology, Russian Academy of Sciences
Email: viktormikhailenko@yandex.ru
Russia, St. Petersburg
E. A. Vershinina
Pavlov Institute of Physiology, Russian Academy of Sciences
Email: viktormikhailenko@yandex.ru
Russia, St. Petersburg
References
- Van Bodegom M, Homberg JR, Henckens MJAG (2017) Modulation of the hypothalamic-pituitary-adrenal axis by early life stress exposure. Front Cell Neurosci 19: 11–87. https://doi.org/10.3389/fncel.2017.00087
- Giannopoulou I, Pagida MA, Briana DD, Panayotacopoulou MA (2018) Perinatal hypoxia as a risk factor for psychopathology later in life: the role of dopamine and neurotrophins. Hormones (Athens) 17: 25–32. https://doi.org/10.1007/s42000-018-0007-7
- Matthews SG, McGowan PO (2019) Developmental programming of the HPA axis and related behaviours: epigenetic mechanisms. J Endocrinol 242: 69–79. https://doi.org/10.1530/joe-19-0057
- Maccari S, Krugers HJ, Morley-Fletcher S, Szyf M, Brunton PJ (2014) The consequences of early-life adversity: neurobiological, behavioural and epigenetic adaptations. J Neuroendocrinol 26: 707–723. https://doi.org/10.1111/jne.12175
- Renz H, Adkins BD, Bartfeld S, Blumberg RS, Farber DL, Garssen J, Ghazal P, Hackam DJ, Marsland BJ, McCoy KD, Penders J, Prinz I, Verhasselt V, von Mutius E, Weiser JN, Wesemann DR, Hornef MW (2018) The neonatal window of opportunity-early priming for life. J Allergy Clin Immunol 141 (4): 1212–1214. https://doi.org/10.1016/j.jaci.2017.11.019
- Rice D, Barone JrS (2000) Critical periods of vulnerability for the developing nervous system: evidence from humans and animal models. Environmental Health Perspectives 108: 511–533. https://doi.org/10.1289/ehp.00108s3511
- Lupien SJ, McEwen BS, Gunnar MR, Heim C (2009) Effects of stress throughout the lifespan on the brain, behaviour and cognition. Nat Rev Neurosci 10: 434–445. https://doi.org/10.1038/nrn2639
- Gehrand AL, Phillips J, Malott K, Raff H (2020) Corticosterone, adrenal, and the pituitary-gonadal axis in neonatal rats: effect of maternal separation and hypoxia. Endocrinology 161: bqaa085. https://doi.org/10.1210/endocr/bqaa085
- Rybnikova E, Nalivaeva N (2021) Glucocorticoid-dependent mechanisms of brain tolerance to hypoxia. Int J Mol Sci 22: 7982. https://doi.org/10.3390/ijms22157982
- Millar LJ, Shi L, Hoerder-Suabedissen A, Molnár Z (2017) Neonatal hypoxia ischaemia: mechanisms, models, and therapeutic challenges. Front Cell Neurosci 11: 78. https://doi.org/10.3389/fncel.2017.00078
- Semenov DG, Belyakov AV, Rybnikova EA (2022) Experimental modeling of damaging and protective hypoxia of the mammalian brain. J Evol Biochem Physiol 58: 2021–2034. https://doi.org/10.1134/s0022093022060291
- Sanches EFF, Arteni NSS, Nicola F, Boisserand L, Willborn S, Netto CAA (2013) Early hypoxia-ischemia causes hemisphere and sex-dependent cognitive impairment and histological damage. Neuroscience 237: 208–215. https://doi.org/10.1016/j.neuroscience.2013.01.066
- Duran-Carabali LE, Odorcyk FK, Sanches EF, de Mattos MM, Anschau FCA, Netto CAA (2022) Effect of environmental enrichment on behavioral and morphological outcomes following neonatal hypoxia-ischemia in rodent models: a systematic review and meta-analysis affiliations expand. Mol Neurobiol 59: 1970–1991. https://doi.org/10.1007/s12035-022-02730-9
- Khozhai LI, Otellin VA (2022) Distribution of GABAergic neurons and expression levels of GABA transporter 1 in the rat neocortex during the neonatal period after perinatal hypoxic exposure. J Evol Biochem Physiol 58: 1432–1441. https://doi.org/10.1134/S0022093022060023
- Bombardi C, Grandis A, Pivac N, Sagud M, Lucas G, Chagraoui A, Lemaire-Mayo V, De Deurwaerdère P, Di Giovanni G (2021) Serotonin modulation of hippocampal functions: From anatomy to neurotherapeutics. Progress Brain Res 261: 83–158. https://doi.org/10.1016/bs.pbr.2021.01.031
- Carneiro IBC, Toscano AE, da Cunha MSB, Lacerda DC, Pontes PB, de Castro RM, de Jesus Deiró TCB, Mede-iros JMB (2022) Serotonergic mechanisms associated with experimental models of hypoxia: a systematic review. Int J Dev Neurosci 82(8):668–680. https://doi.org/10.1002/jdn.10226
- Vorhees CV, Williams MT (2014) Assessing spatial learning and memory in rodents. ILAR J 55: 310–332. https://doi.org/10.1093/ilar/ilu013
- Nagano R, Nagano M, Nakai A, Takeshita T, Suzuki H (2017) Differential effects of neonatal SSRI treatments on hypoxia-induced behavioral changes in male and female offspring. Neuroscience 360: 95–105. https://doi.org/10.1016/j.neuroscience.2017.07.051
- Tate K, Kirk B, Tseng A, Ulffers A, Litwa K (2021) Effects of the selective serotonin reuptake inhibitor fluoxetine on developing neural circuits in a model of the human fetal cortex. Int J Mol Sci 22:10457. https://doi.org/10.3390/ijms221910457
- Khodanovich M, Kisel A, Kudabaeva M, Chernysheva G, Smolyakova V, Krutenkova E (2018) effects of fluoxetine on hippocampal neurogenesis and neuroprotection in the model of global cerebral ischemia in rats. Int J Mol Sci 19: 162. https://doi.org/10.3390/ijms19010162
- Dobbing J (1981) Nutritional growth restriction and the nervous system. Davidson AN, Thompson RHS (Eds.), The Molecular Basis of Neuropathology. Edward Arnold Co. London. 221–233.
- Cohen SJ, Stackman RW (2015) Assessing rodent hippocampal involvement in the novel object behavior. Brain Res 285: 105–117. https://doi.org/10.1016/j.bbr.2014.08.002
- Morris RGM (1981) Spatial localization does not require the presence of local cues. Learning and Motivation 12: 239–260. https://doi.org/10.1016/0023-9690(81)90020-5
- Sukhanova IuA, Sebentsova EA, Khukhareva DD, Vy-sokikh MYu, Bezuglov VV, Bobrov MYu, Levitskaya NG (2019) Early-life N-arachidonoyl-dopamine exposure increases antioxidant capacity of the brain tissues and reduces functional deficits after neonatal hypoxia in rats. Int J Dev Neurosci 78: 7–18. https://doi.org/10.1016/j.ijdevneu.2019.06.007
- Zhuravin IA, Dubrovskaya NM, Vasilev DS, Postnikova TY, Zaitsev AV (2019) Prenatal hypoxia produces memory deficits associated with impairment of long-term synaptic plasticity in young rats. Neurobiol Learn Mem 164: 107066. https://doi.org/10.1016/j.nlm.2019.107066
- Takada SH, Dos Santos Haemmerle CA, Motta-Teixeira LC, Machado-Nils AV, Lee VY, Takase LF, Cruz-Rizzolo RJ, Kihara AH, Xavier GF, Watanabe I-S, Nogueira MI (2015) Neonatal anoxia in rats: hippocampal cellular and subcellular changes related to cell death and spatial memory. Neuroscience 284: 247–259. https://doi.org/10.1016/j.neuroscience.2014.08.054
- Toda T, Gage FH (2018) Review: adult neurogenesis contributes to hippocampalplasticity. Cell Tissue Res 373: 693–709. https://doi.org/10.1007/s00441-017-2735-4
- Kempermann G (2022) What is adult hippocampal neurogenesis good for? Front Neurosci 16: 852680. https://doi.org/10.3389/fnins.2022.852680
- Bond AM, Ming G-l, Song H (2022) What is the relationship between hippocampal neurogenesis across different stages of the lifespan? Front Neurosci 16: 891713. https://doi.org/10.3389/fnins.2022.891713
- Masachs N, Charrier V, Farrugia F, Lemaire V, Blin N, Mazier W, Tronel S, Montaron M-F, Ge S, Marsicano G, Cota D, Deroche-Gamonet V, Herry C, Abrous DN (2021) The temporal origin of dentate granule neurons dictates their role in spatial memory. Mol Psychiatry 26: 7130–7140. https://doi.org/10.1038/s41380-021-01276-x
- Muntsant A, Shrivastava K, Recasens M, Giménez-Llort L (2019) Severe perinatal hypoxic-ischemic brain injury induces long-term sensorimotor deficits, anxiety-like behaviors and cognitive impairment in a sex-, age- and task-selective manner in C57BL/6 mice but can be modulated by neonatal handling. Front Behav Neurosci 13: 7. https://doi.org/10.3389/fnbeh.2019.00007
- Butkevich IP, Mikhailenko VA (2018) Effect of fluoxetine in prenatal period on nociceptive system reactivity and psychoemotional behavior in young female rats. Bull Exp Biol Med 165: 209–212. https://doi.org/10.1007/s10517-018-4131-9
- France G, Volianskis R, Ingram R, Bannister N, Rothärmel R, Irvine MW, Fang G, Burnell ES, Sapkota K, Costa BM, Vhpra DA, Michael-Titus AT, Monaghan DT, Georgiou J, Bortolotto ZA, Jane DE, Collingridge GL, Volianskis A (2022) Differential regulation of STP, LTP and LTD by structurally diverse NMDA receptor subunit-specific positive allosteric modulators. Neuropharmacology 202: 108840. https://doi.org/10.1016/j.neuropharm.2021.108840
- Luine V (2002) Sex differences in chronic stress effects on memory in rats. Stress 5: 205–216. https://doi.org/10.1080/1025389021000010549
- Luine V, Gomez J, Beck K, Bowman R (2017) Sex differences in chronic stress effects on cognition in rodents. Pharmacology, Biochem Behav 152: 13–19. https://doi.org/10.1016/j.pbb.2016.08.005
- Goel N, Philippe TJ, Chang J, Koblanski ME, Viau V (2022) Cellular and serotonergic correlates of habituated neuroendocrine responses in male and female rats. Psychoneuroendocrinology 136: 105599. https://doi.org/10.1016/j.psyneuen.2021.105599
- Philippe TJ, Bao L, Koblanski ME, Viau V (2022) Sex differences in serotonin 5-HT 1A receptor responses to repeated restraint stress in adult male and female rats. Int J Neuropsychopharmacol 25: 863–876. https://doi.org/10.1093/ijnp/pyac046
- Taxier LR, Gross KS, Frick KM (2020). Oestradiol as a neuromodulator of learning and memory. Nat Rev Neurosci 21: 535–550. https://doi.org/10.1038/s41583-020-0362-7
- Rocks D, Kundakovic M (2022) Hippocampus-based behavioral, structural, and molecular dynamics across the estrous cycle. J Neuroendocrinol e13216. https://doi.org/10.1111/jne.13216
Supplementary files








