PROTECTIVE AND ANTIOXIDANT EFFECTS OF INSULIN ON RAT BRAIN CORTICAL NEURONS IN A MODEL OF OXYGEN AND GLUCOSE DEPRIVATION IN VITRO
- Authors: Zakharova I.O.1, Zorina I.I.1, Bayunova L.V.1, Shpakov A.O.1, Avrova N.F.1
-
Affiliations:
- Sechenov Institute of Evolutionary Physiology and Biochemistry, Russian Academy of Sciences
- Issue: Vol 59, No 1 (2023)
- Pages: 20-31
- Section: EXPERIMENTAL ARTICLES
- URL: https://journals.rcsi.science/0044-4529/article/view/136682
- DOI: https://doi.org/10.31857/S0044452923010096
- EDN: https://elibrary.ru/GXXUDU
- ID: 136682
Cite item
Full Text
Abstract
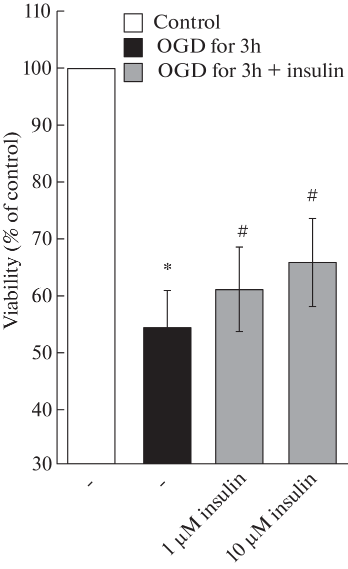
Intranasal insulin is one of the most promising protectors in the treatment of neurodegenerative and other diseases associated with brain injuries. In these diseases, insulin levels in the brain (in contrast to its blood levels) are as a rule heavily reduced, which, along with the development of insulin resistance, leads to impaired insulin signaling in neurons. The aim of this work was to study the protective effect of insulin on cultured rat cortical neurons using an in vitro oxygen–glucose deprivation (OGD) model of ischemia–reperfusion brain injury followed by a resumption of oxygen and glucose supply to neurons. OGD exposure for 1 or 3 h with subsequent incubation of cultured rat cortical neurons in complete (oxygen- and glucose-containing) growth medium decreased neuronal viability and increased the production of reactive oxygen species, while the preincubation of neurons with insulin at micromolar concentrations had protective and antioxidant effects. One-hour OGD followed by incubation in complete growth medium led to downregulation of protein kinase B/Akt (decreased pAkt(Ser473)/Akt ratio) and upregulation of glycogen synthase kinase-3beta (GSK-3beta), one of the main Akt targets (decreased pGSK-3beta(Ser9)/GSK-3beta ratio). In contrast, preincubation with insulin activated Akt and inactivated GSK-3beta. Apparently, these effects of insulin significantly contribute to its neuroprotective action, because GSK-3beta activation leads to mitochondrial dysfunction and neuronal death. Insulin was shown to increase the neuronal activity of protein kinase regulated by extracellular signals (ERK1/2), which was diminished by OGD and subsequent exposure to growth medium containing glucose and oxygen.
About the authors
I. O. Zakharova
Sechenov Institute of Evolutionary Physiology and Biochemistry, Russian Academy of Sciences
Email: avrova@iephb.ru
Russia, St. Petersburg
I. I. Zorina
Sechenov Institute of Evolutionary Physiology and Biochemistry, Russian Academy of Sciences
Email: avrova@iephb.ru
Russia, St. Petersburg
L. V. Bayunova
Sechenov Institute of Evolutionary Physiology and Biochemistry, Russian Academy of Sciences
Email: avrova@iephb.ru
Russia, St. Petersburg
A. O. Shpakov
Sechenov Institute of Evolutionary Physiology and Biochemistry, Russian Academy of Sciences
Email: avrova@iephb.ru
Russia, St. Petersburg
N. F. Avrova
Sechenov Institute of Evolutionary Physiology and Biochemistry, Russian Academy of Sciences
Author for correspondence.
Email: avrova@iephb.ru
Russia, St. Petersburg
References
- Chen Y, Guo Z, Mao YF, Zheng T, Zhang B (2018) Intranasal insulin ameliorates cerebral hypometabolism, neuronal loss, and astrogliosis in streptosotocin-induced Alzheimer’s rat model. Neurotox Res 33: 716–724. https://doi.org/10.1007/s12640-017-9809-7
- Song Y, Ding W, Bei Y, Xiao Y, Tong HD, Wang LB, Ai LY (2018) Insulin is a potential antioxidant for diabetes-associated cognitive decline via regulating Nrf2 dependent antioxidant enzymes. Biomed Pharmacother 104: 474–484. https://doi.org/10.1016/j.biopha.2018.04.097
- Fine JM, Stroebel BM, Faltesek KA, Terai, K; Haase L, Knutzen K.E, Kosyakovsky J, Bowe TJ, Fuller A.K, Frey WH, Hanson LR (2020) Intranasal delivery of low-dose insulin ameliorates motor dysfunction and dopaminergic cell death in a 6-OHDA rat model of Parkinson’s Disease. Neurosci Lett 714: 134567. https://doi.org/10.1016/j.neulet.2019.134567
- Milstein JL, Ferris HA (2021) The brain as an insulin-sensitive metabolic organ. Mol Metab. 52: 101234. https://doi.org/10.1016/j.molmet.2021.101234
- Claxton A, Baker LD, Hanson AJ, Trittschuh EH, Collerton B, Morgan A, Callaghan M, Arbuckle M, Behl C, Craft S (2015) Long-acting insulin Detemir improves cognition for adults with mild cognitive impairment or early-stage Alzheimer’s disease dementia. J Alzheimers Dis 44: 897–906. https://doi.org/10.3233/JAD-141791
- Craft S, Claxton A, Baker LD, Hanson AJ, Collerton B, Trittschuh EH, Dahl D, Caulder E, Neth B, Montine TJ, Jung Y, Maldjian J, Whitlow C, Friedman S (2017) Effects of regular and long-acting insulin on cognition and Alzheimer’s disease biomarkers: A pilot clinical trial. J Alzheimers Dis 57: 1325–1334. https://doi.org/:10.3233/JAD-161256
- Avgerinos KI, Kalaitzidis G, Malli A, Kalaitzoglou D, Myserlis PG, Lioutas VA (2018) Intranasal insulin in Alzheimer’s dementia or mild cognitive impairment. A systematic review. J Neurol 265: 1497–1510. https://doi.org/10.1007/s00415-018-8768-0
- Novak P, Maldonado DAP, Novak V (2019) Safety and preliminary efficacy of intranasal insulin for cognitive impairment in Parkinson disease and multiple system atrophy: A double-blinded placebo-controlled pilot study. PLoS One 14: e0214364. https://doi.org/10.1371/journal.pone.0214364
- Lochhead JJ, Kellohen KL, Ronaldson PT, Davis TP (2019) Distribution of insulin in trigeminal nerve and brain after intranasal administration. Sci Rep 9: 2621. https://doi.org/10.1038/s41598-019-39191-5
- Fan LW, Carter K, Beatt A, Pang Y (2019) Rapid transport of insulin to the brain following intranasal administration in rats. Neural Regen Res 14: 1046–1051. https://doi.org/10.4103/1673-5374.250624
- Hallschmid M (2021) Intranasal insulin. J Neuroendocrinol 33: e12934. https://doi.org/10.1111/jne.12934
- Shpakov AO, Derkach KV, Berstein LM (2015) Brain signaling systems in the Type 2 diabetes and metabolic syndrome: promising target to treat and prevent these diseases. Future Sci OA 1: FSO25. https://doi.org/10.4155/fso.15.23
- Minokoshi Y, Alquier T, Furukawa N, Kim YB, Lee A, Xue B, Mu J, Foufelle F, Ferré P, Birnbaum MJ (2004) AMP-kinase regulates food intake by responding to hormonal and nutrient signals in the hypothalamus. Nature 428: 569–574. https://doi.org/10.1038/nature02440
- Rizk NN, Myatt-Jones.J, Rafols J, Dunbar JC (2007) Insulin-like growth factor-1 (IGF-1) decreases ischemia-reperfusion induced apoptosis and necrosis in diabetic rats. Endocrine 31: 66–71. https://doi.org/10.1007/s12020-007-0012-0
- Jiang LH, Yuan XL, Yang NY, Ren., Zhao. M, Luo BX, Bian YY, Xu JY, Lu DX, Zheng YY, Zhang CJ, Diao YM, Xia BM, Chen GJ (2015) Daucosterol protects neurons against oxygen-glucose deprivation/reperfusion-mediated injury by activating IGF1 signaling pathway. Steroid Biochem Mol Biol 152: 45–52. https://doi.org/10.1016/j.jsbmb.2015.04.007
- Gong P, Zou Y, Zhang W, Tian Q, Han S, Xu Z, Chen Q, Wang X, Li M (2021) The neuroprotective effects of Insulin-like growth factor-1 via the Hippo/YAP signaling pathway are mediated by the PI3K/AKT cascade following cerebral ischemia/reperfusion injury. Brain Res Bull 177: 373–387. https://doi.org/10.1016/j.brainresbull.2021.10.017
- Lioutas VA, Alfaro-Martinez F, Bedoya F, Chung CC, Pimentel DA, Novak V (2015) Intranasal insulin and insulin-like growth factor-1 as neuroprotectants in acute ischemic stroke. Transl Stroke Res 6: 264–275. https://doi.org/10.1007/s12975-015-0409-7
- Zorina II, Galkina OV, Bayunova LV, Zakharova IO (2019) Effect of insulin on lipid peroxidation and glutathione levels in a two-vessel occlusion model of rat forebrain ischemia followed by reperfusion. J Evol Biochem Physiol 35: 333–335. https://doi.org/10.1134/S0022093019040094
- Zorina II, Fokina EA, Zakharova IO, Bayunova LV, Shpakov AO (2020) Characteristics of changes in lipid peroxidation and Na+/K+-ATPase activity in the cortex of old rats in conditions of two-vessel cerebral ischemia/reperfusion. Adv Geront 10: 156–161. https://doi.org/10.1134/s2079057020020162
- Mielke JG, Wang YT (2005) Insulin exerts neuroprotection by counteracting the decrease in cell-surface GABA receptors following oxygen-glucose deprivation in cultured cortical neurons. J Neurochem 92: 103–113. https://doi.org/10.1111/j.1471-4159.2004.02841.x
- Sun X, Yao H, Douglas RM, Gu XQ, Wang J, Haddad GG (2010) Insulin/PI3K signaling protects dentate neurons from oxygen-glucose deprivation in organotypic slice cultures. J Neurochem 112: 377–388. https://doi.org/10.1111/j.1471-4159.2009.06450.x
- Dichter MA (1978) Rat cortical neurons in cell culture: culture methods, cell morphology, electrophysiology, and synapse formation. Brain Res 149: 279–293. https://doi.org/10.1016/0006-8993(78)90476-6
- Mironova EV, Evstratova AA, Antonov SM (2007) A fluorescence vital assay for the recognition and quantification of excitotoxic cell death by necrosis and apoptosis using confocal microscopy on neurons in culture. J Neurosci Methods 163: 1–8. https://doi.org/10.1016/j.jneumeth.2007.02.010
- Hansen MB, Nielsen SE, Berg K (1989) Re-examination and further development of a precise and rapid dye method for measuring cell growth/cell kill. J Immunol Methods 119: 203–210. https://doi.org/10.1016/0022-1759(89)90397-9
- Zorina II, Bayunova LV, Zakharova IO, Avrova NF (2018) The dependence of the protective effect of insulin on its concentration and modulation of ERK1/2 activity under the conditions of oxidative stress in cortical neurons. Neurochem J 10: 111–116. https://doi.org/0.1134/S1819712417040110
- Zakharova I, Sokolova T, Vlasova Y, Bayunova L, Rychkova M, Avrova N (2017) α-Tocopherol at nanomolar concentration protects cortical neurons against oxidative stress. Int J Mol Sci. 18: 216. https://doi.org/10.3390/ijms18010216
- Bonde C, Noraberg J, Noer H, Zimmer J (2005) Ionotropic glutamate receptors and glutamate transporters are involved in necrotic neuronal cell death induced by oxygen-glucose deprivation of hippocampal slice cultures. Neuroscience 136: 779–794. https://doi.org/10.1016/j.neuroscience.2005.07.020
- Zakharova IO, Sokolova TV, Zorina I, Bayunova LV, Rychkova MP, Avrova NF (2018) Protective effect of insulin on rat cortical neurons in oxidative stress and its dependence on modulation of protein kinase B (Akt) activity. J Evol Biochem Physiol 54: 192–204. https://doi.org/10.1134/S0022093018030043
- Bayunova LV, Zorina II, Zakharova IO, Avrova NF (2018) Insulin increases viability of neurons in rat cerebral cortex and normalizes Bax/Bcl-2 atio under conditions of oxidative stress. Bull Exp Bio Med 165: 14–17. https://doi.org/10.1007/s10517-018-4088-8
- Zakharova, IO, Sokolova TV, Bayunova LV, Zorina II, Rychkova MP, Shpakov AO, Avrova NF (2019) The protective effect of insulin on rat cortical neurons in oxidative stress and its dependence on the modulation of Akt, GSK-3beta, ERK1/2, and AMPK activities. Int J Mol Sci 20 (15): E3702. https://doi.org/10.3390/ijms20153702
Supplementary files









