Voltammetric DNA sensors for detecting DNA damage based on poly (acridine orange) coatings obtained from relin and glycelin
- Authors: Porfirieva А.V.1, Khusnutdinova Z.F.1, Evtyugin G.A.1
-
Affiliations:
- Kazan Federal University
- Issue: Vol 79, No 12 (2024)
- Pages: 1369-1381
- Section: ORIGINAL ARTICLES
- Submitted: 06.03.2025
- Accepted: 06.03.2025
- URL: https://journals.rcsi.science/0044-4502/article/view/282610
- DOI: https://doi.org/10.31857/S0044450224120116
- EDN: https://elibrary.ru/stdqut
- ID: 282610
Cite item
Abstract
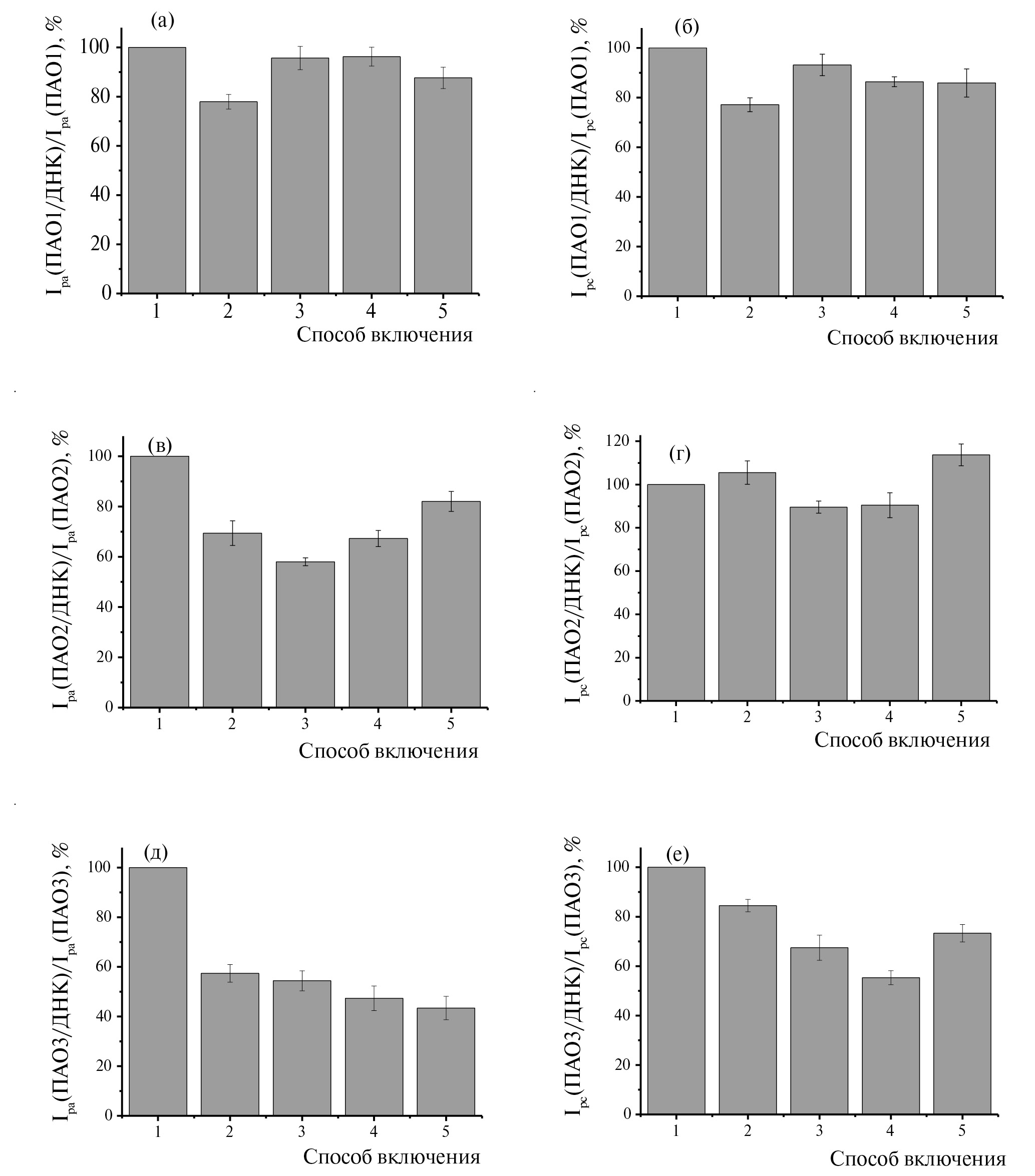
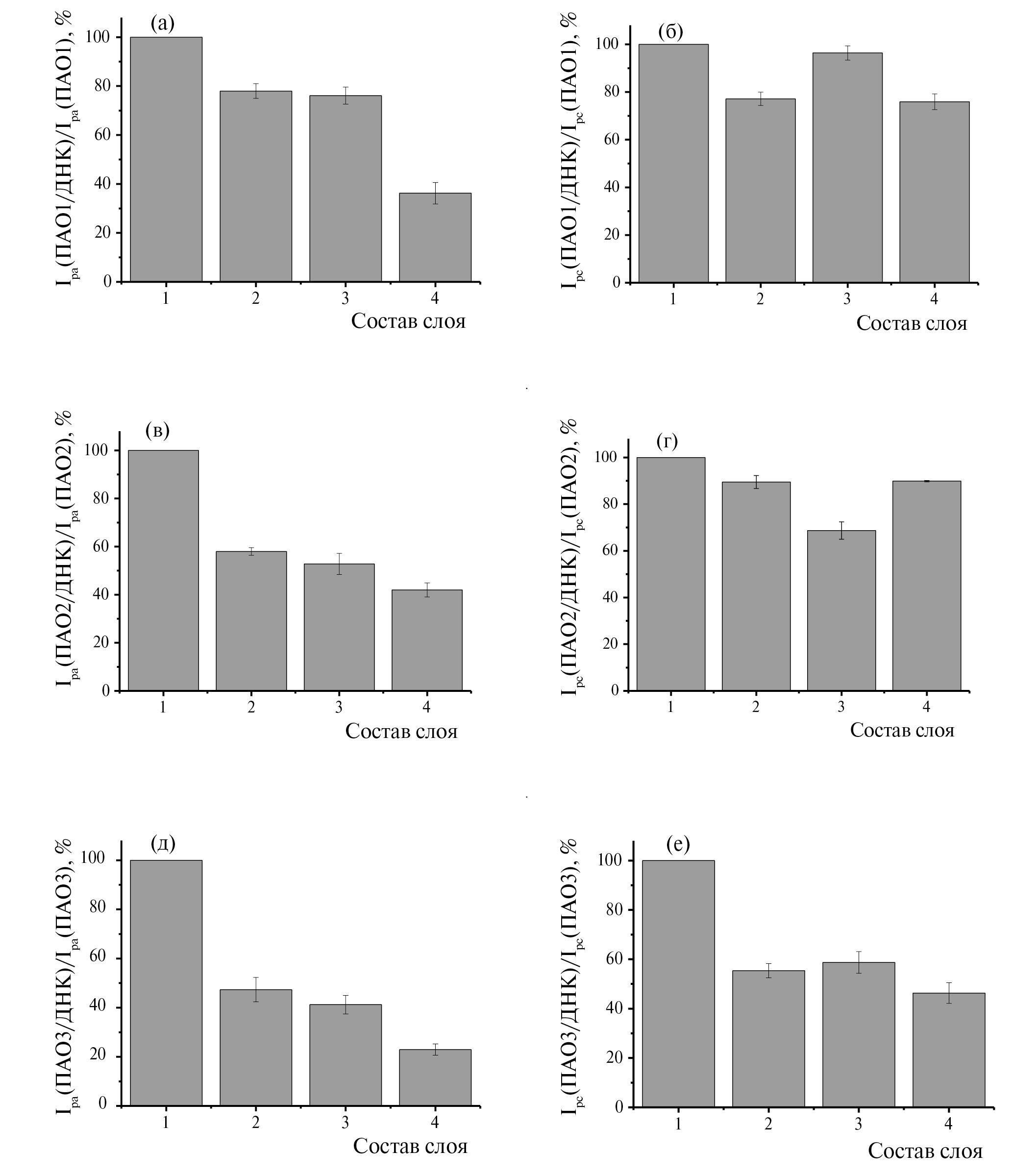
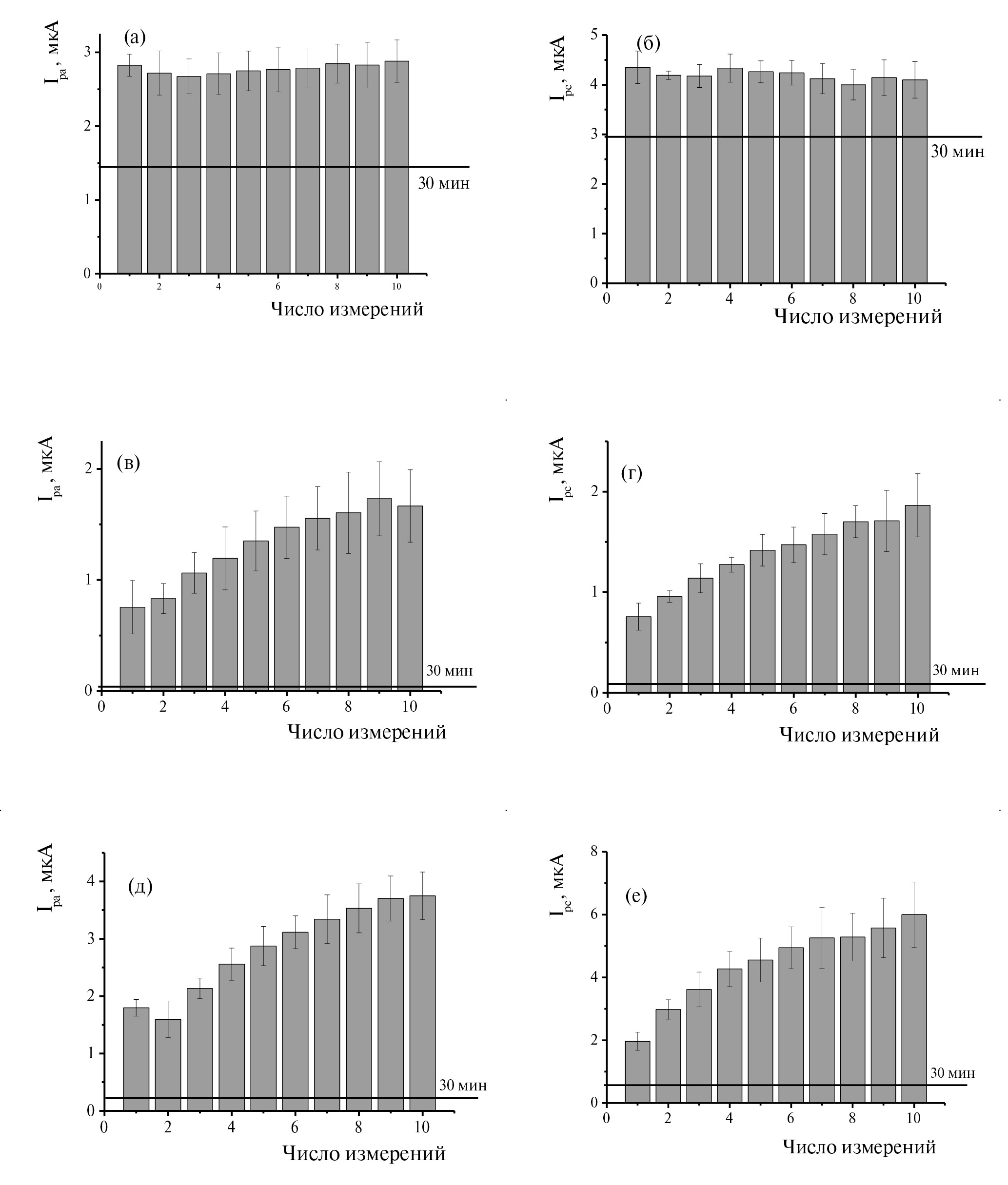
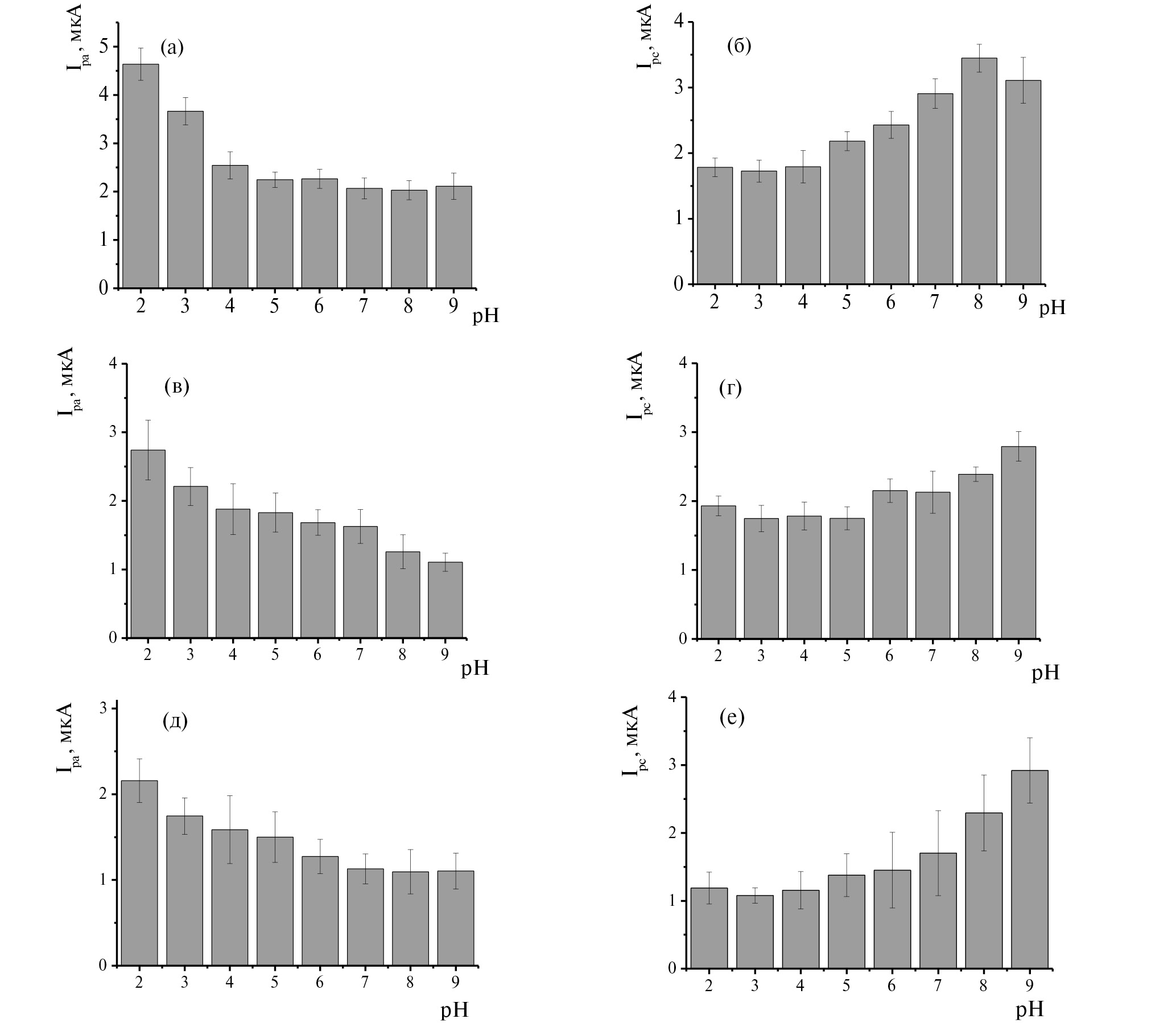
A voltammetric DNA sensor has been developed to register DNA damage from the calf thymus by changing redox signals on cyclic voltammograms of a poly (acridine orange) (PAO) coating synthesized on a printed carbon-containing electrode from media of deep eutectic solvents – relin and glycelin and a phosphate buffer solution. The working conditions of DNA immobilization on each of the presented polymer coatings have been established. The influence of the nature of the electropolymerization medium on the electrochemical characteristics of the polymer acridine dye layer and the sensitivity of the polymer response to thermal and oxidative DNA damage has been revealed. With the optimal composition of the surface layer, the DNA sensor based on PAO synthesized from aqueous media (PAO1) reliably allowed us to determine only the fact of chemical oxidation of DNA. The use of PAO synthesized from relin (PAO2) and glycelin (PAO3) media in DNA sensors demonstrated not only the high sensitivity of PAO2 and PAO3 coatings to the introduction of DNA from the thymus of the calf as a whole, but also made it possible to successfully distinguish native, thermally denatured and chemically oxidized DNA.
Keywords
Full Text
About the authors
А. V. Porfirieva
Kazan Federal University
Author for correspondence.
Email: porfireva-a@inbox.ru
Russian Federation, Kazan, 420008
Z. F. Khusnutdinova
Kazan Federal University
Email: porfireva-a@inbox.ru
Russian Federation, Kazan, 420008
G. A. Evtyugin
Kazan Federal University
Email: porfireva-a@inbox.ru
Russian Federation, Kazan, 420008
References
- Gunasekaran B.M., Srinivasan S., Ezhilan M., Nesakumar N. Nucleic acid-based electrochemical biosensors // Clin. Chim. Acta. 2024. V.559. Article 119715.
- Jampasa S., Jikul B., Kreangkaiwal C., Khamcharoen W., Jesadabundit W., Waiwinya W., et al. Multiple signaling probe-based ultrasensitive electrochemical DNA sensor integrated with NFC- enabled smartphone to diagnose leptospirosis // Sens. Actuators B. 2024. V. 406. Article 135411.
- Franchin L., Paccagnella A., Bonaldo S. Influence of surface passivation on Campylobacter jejuni specificity of an impedimetric genosensor for poultry infection monitoring in agri-food industry // IEEE Sens. Lett. 2024. P. 1.
- Lee J.-H., Oh B.-K., Choi J.-W. Electrochemical sensor based on direct electron transfer of HIV-1 Virus at Au nanoparticle modified ITO electrode // Biosens. Bioelectron. 2013. V. 49. P. 531.
- Mokni M., Tlili A., Khalij Y., Attia G., Zerrouki C., Hmida W., et al. Designing a simple electrochemical genosensor for the detection of urinary PCA3, a prostate cancer biomarker // Micromachines. 2024. V. 15. № 5. Article 602.
- Wang X., Shu G., Gao C., Yang Y., Xu Q., Tang M. Electrochemical biosensor based on functional composite nanofibers for detection of K-ras gene via multiple signal amplification strategy // Anal. Biochem. 2014. V.466. P. 51.
- Porfireva A., Begisheva E., Evtugyn V., Evtugyn G. Electrochemical DNA sensor for valrubicin detection based on poly (Azure C) films deposited from deep eutectic solvent // Biosensors. 2023. V. 13. № 10. Article 931.
- Goida A., Kuzin Y., Evtugyn V., Porfireva A., Evtugyn G., Hianik T. Electrochemical sensing of idarubicin —DNA interaction using electropolymerized Azure B and Methylene Blue mediation // Chemosensors. 2022. V. 10. № 1. Article 33.
- Goida A., Rogov A., Kuzin Y., Porfireva A., Evtugyn G. Impedimetric DNA sensors for epirubicin detection based on polythionine films electropolymerized from deep eutectic solvent // Sensors. 2023. V. 23. № 19. Article 8242.
- Kuzin Y., Kappo D., Porfireva A., Shurpik D., Stoikov I., Evtugyn G., Hianik T. Electrochemical DNA sensor based on carbon black — poly (Neutral Red) composite for detection of oxidative DNA damage // Sensors. 2018. V. 18. № 10. Article 3489.
- Güngör M.A., Alev O., Kaya H.K., Arslan L.Ç., Büyükköse S., Öztürk Z.Z., Kuralay F. Atomic layer deposited zinc oxide thin film on pencil graphite for DNA sensor applications // Mater. Today Commun. 2023. V. 36. Article 106776.
- Schmidt A., Liu M. Recent advances in the chemistry of acridines // Adv. Heterocycl. Chem. 2015. V. 115. P. 287.
- Vald és A.F.-C. Acridine and acridinones: old and new structures with antimalarial activity // Open Med. Chem. J. 2015. V. 5. P. 11.
- Réthy B., Zupk ó I., Minorics R., Hohmann J., Ocsovszki I., Falkay G. Investigation of cytotoxic activity on human cancer cell lines of arborinine and furanoacridones isolated from Ruta graveolens // Planta Med. 2007. V. 73. P. 41.
- Kusuzaki K., Murata H., Matsubara T., Satonaka H., Wakabayashi T., Matsumine A., Uchida A. Review. Acridine orange could be an innovative anticancer agent under photon energy // In Vivo. 2007. V. 21. P. 205.
- Johnson R.P., Richardson J.A., Brown T., Bartlett P.N. A label-free, electrochemical SERS-based assay for detection of DNA hybridization and discrimination of mutations // J. Am. Chem. Soc. 2012. V. 134. № 34. P. 14099.
- Işık H., Öztürk G., Ağın F., Kul D. Electroanalytical analysis of guaifenesin on poly (acridine orange) modified glassy carbon electrode and its determination in pharmaceuticals and serum samples // CCHT S. 2021. V. 24. P. 376.
- Agin F. Electrochemical determination of amoxicillin on a poly (acridine orange) modified glassy carbon electrode // Anal. Lett. 2016. V. 49. P. 1366.
- Kul D., Dogan-Topal B., Ozkan S.A., Uslu B. Poly (acridine orange)- modified glassy carbon electrodes: electrosynthesis, characterisation and sensor application with uric acid // J. Appl. Electrochem. 2014. V. 44. P. 831.
- Zhang Y. Voltammetric behavior of dobutamine at poly (acridine orange) film modified electrode and its determination by adsorptive stripping voltammetry // Anal. Lett. 2004. V. 37. P. 2031.
- Zhang Y., Ma Z. Electrochemical behavior of hydroquinone at poly (acridine orange)– modified electrode and its separate detection in the presence of o- hydroquinone and m‐ hydroquinone // Anal. Lett. 2006. V. 39. P. 1289.
- Zhang Y., Zhuang H. Poly (acridine orange) film modified electrode for the determination 1- naphthol in the presence of 2- naphthol // Electrochim. Acta. 2009. V. 54. P. 7364.
- Sun W., Wang Y., Gong S., Cheng Y., Shi F., Sun Z. Application of poly(acridine orange) and graphene modified carbon/ionic liquid paste electrode for the sensitive electrochemical detection of rutin. // Electrochim Acta. 2013. V. 109. P. 298.
- Wang Z., Xia J., Zhu L., Zhang F., Guo X., Li Y., Xia Y. The fabrication of poly (acridine orange)/graphene modified electrode with electrolysis micelle disruption method for selective determination of uric acid // Sens. Actuators B. 2012. V. 161. P. 131.
- Tkach V.V., De Oliveira S.C., Kushnir M.V., Brazhko O.A., Briosa e Gala H., Luganska O.V., Yagodynets ´ P. I. A descrição matemática do desempenho eletroanalítico do compósito poli(alaranjado da acridina)-oxihidróxido de vanádio na detecção eletrorredutiva da entacapone // Rev. Colomb. Cienc. Quím. Farm. 2019. V 48. № 2. P. 455.
- Dalkiran B., Brett C.M. A. Polyphenazine and polytriphenylmethane redox polymer / nanomaterial – based electrochemical sensors and biosensors: a review // Microchim. Acta. 2021. V. 188. Article 178.
- Schlereth D.D., Karyakin A.A. Electropolymerization of phenothiazine, phenoxazine and phenazine derivatives: Characterization of the polymers by UV-visible difference spectroelectrochemistry and Fourier transform IR spectroscopy // J. Electroanal. Chem. 1995. V. 395. P. 221.
- Porfireva A.V., Goida A.I., Rogov A.M., Evtugyn G.A. Impedimetric DNA sensor based on poly(proflavine) for determination of anthracycline drugs // Electroanalysis. 2020. V. 32. № 4. P. 827.
- Porfireva A., Subjakova V., Evtugyn G., Hianik T. Electrochemical DNA sensors based on nanomaterials for pharmaceutical determination / Nanosensors / Eds. Nikolelis D., Nikoleli G.P. Boca Raton: CRC Press, 2023. P. 23.
- Alabdullah S.S. M., Ismail H.K., Ryder K.S., Abbott A.P. Evidence supporting an emulsion polymerisation mechanism for the formation of polyaniline // Electrochim. Acta. 2020. V. 354. Article 136737.
- Stoewe R.; Prütz W.A. Copper-catalyzed DNA damage by ascorbate and hydrogen peroxide: Kinetics and yield // Free Radic. Biol. Med. 1987. V. 3. P. 97.
Supplementary files








