Batch-injection amperometric determination of sulfamethazine, sulfacetamide and sulfathiazole on an electrode modified with a composite based on gold particles, carbon nanotubes and ionic liquid
- Authors: Shaydarova L.G.1, Chelnokova I.A.1, Ilyina М.А.1, Gafiatova I.А.1, Budnikov G.K.1
-
Affiliations:
- Kazan Federal University
- Issue: Vol 79, No 12 (2024)
- Pages: 1358-1368
- Section: ORIGINAL ARTICLES
- Submitted: 06.03.2025
- Accepted: 06.03.2025
- URL: https://journals.rcsi.science/0044-4502/article/view/282606
- DOI: https://doi.org/10.31857/S0044450224120089
- EDN: https://elibrary.ru/stltqw
- ID: 282606
Cite item
Full Text
Abstract
Electrodes modified with gold particles, multi-walled carbon nanotubes, an ionic liquid based on 1-butyl-3-methylimidazolium hexafluorophosphate, as well as a composite based on them for the voltammetric determination of sulfamethazine, sulfacetamide and sulfathiazole have been developed. It has been established by cyclic voltammetry that modification of the surface of a glass-carbon electrode with gold particles, a composite based on carbon nanotubes and an ionic liquid leads to an increase in its effective area. The electrochemical impedance data indicate an increase in the electron transfer rate on the modified electrodes compared to the unmodified one. A composite electrode with gold particles, carbon nanotubes and an ionic liquid with the best characteristics was used for the amperometric determination of sulfonamides under batch injection conditions. The optimal parameters for the determination of sulfonamides in the batch injection system have been established. The dependence of the analytical signal on the concentration of the compounds in question in logarithmic coordinates is linear in the range from 1 × 10–8 to 5 × 10– 3 M for sulfamethazine and sulfacetamide and from 1 × 10–7 to 5 × 10–3 M for sulfathiazole. The proposed method for the determination of sulfonamides has been tested in the analysis of medicines.
Full Text
Сульфаниламидные лекарственные препараты являются производными сульфаниловой кислоты и характеризуются широким спектром антибактериального действия. Высокая эффективность сульфаниламидов и относительно низкая стоимость обеспечили их повсеместное использование в ветеринарной практике не только для борьбы с инфекционными заболеваниями, но и в качестве кормовых добавок с целью стимуляции роста и повышения продуктивности домашнего скота и птицы. Употребление пищевых продуктов животного происхождения с остаточными количествами антибактериальных лекарственных средств сопряжено с риском для здоровья человека, связанным с возникновением у микроорганизмов приобретенной устойчивости к ним [1]. Наличие следовых количеств антибактериальных препаратов в продуктах питания при регулярном употреблении может вызвать аллергические реакции, подавление иммунитета, дисбактериоз, а длительный их прием может приводить к онкологическим заболеваниям [2].
В качестве методов контроля остаточных количеств антибактериальных средств в пищевых продуктах применяют преимущественно иммуноферментный анализ и высокоэффективную жидкостную хроматографию с масс-спектрометрическим детектированием [3–5], для которых характерна высокая стоимость, сложность проведения анализа и потребность в специфических реагентах.
Из электрохимических методов для определения антибиотиков в биологических жидкостях и фармацевтических препаратах чаще всего применяют вольтамперометрию и потенциометрию [6, 7]. Метод вольтамперометрии с использованием химически модифицированных электродов, обеспечивающий высокую чувствительность и в ряде случаев селективность определения веществ, нашел широкое применение при определении биологически активных соединений [8–10]. Для модификации поверхности рабочего электрода в последние годы все чаще применяют ионные жидкости (ИЖ) из-за их низкой токсичности, гидрофобности, высокой ионной проводимости и электрохимической стабильности. Исследования некоторых авторов посвящены получению и исследованию композиционных материалов на основе углеродных нанотрубок (УНТ) и ИЖ. Такие композитные системы характеризуются высокой проводимостью, широким рабочим диапазоном потенциалов и сочетают электрокаталитическую активность и адсорбционную способность УНТ с ионообменными и сольватирующими свойствами ИЖ [11], а значит, перспективны при создании новых модифицированных электродов для электрохимического определения органических соединений. Для стабилизации композита УНТ–ИЖ на рабочей поверхности стеклоуглеродного электрода (СУЭ) перспективно получение полимерных композитов, например на основе нафиона, который, как известно, позволяет достичь равномерного распределения нанотрубок в объеме композита с их минимальной агрегацией и не меняет электрокаталитические свойства УНТ [12].
Внедрение проточных методов в электроанализ приводит к автоматизации и миниатюризации процедур химического анализа [13]. Порционно-инжекционный анализ (ПрИА) [14, 15] позволяет исключить недостатки классического варианта проточно-инжекционного анализа, такие как использование насосов и коммуникаций, расход больших объемов пробы и реагентов-носителей.
Целью настоящей работы являлась разработка способа порционно-инжекционного амперометрического определения сульфаметазина, сульфацетамида и сульфатиазола на СУЭ, модифицированном композитом на основе частиц золота (Au), многостенных углеродных нанотрубок (МУНТ) и ИЖ состава 1-бутил-3-метилимидазолия гексафторфосфата, в лекарственных препаратах.
ЭКСПЕРИМЕНТАЛЬНАЯ ЧАСТЬ
Для электрохимических измерений использовали потенциостат-гальваностат СH Instruments (CH Instruments Inc., США). Циклические вольтамперограммы регистрировали при скорости развертки потенциала 20 мВ/с.
Использовали трехэлектродную ячейку, в которой электродом сравнения служил хлоридсеребряный электрод, вспомогательным – платиновая проволока. В качестве рабочего электрода применяли СУЭ, СУЭ с электроосажденными частицами Au (Au – СУЭ), смесью МУНТ и ИЖ на основе 1-бутил-3-метилимидазолия гексафторфосфата (МУНТ–ИЖ–СУЭ) или композитом на основе частиц Au и смеси МУНТ–ИЖ (МУНТ–ИЖ–Au–СУЭ).
Поверхность СУЭ модифицировали частицами Au методом потенциостатического электролиза из раствора НAuCl4 х. ч. фирмы Aldrich (США) при потенциале электролиза (Еэ) –0.30 В и времени электролиза (tэ) 3 мин. Композит, содержащий МУНТ и ИЖ, готовили растворением 4 мг МУНТ фирмы Aldrich (США) и 50 мкл гексафторфосфата 1-бутил-3-метилимидазолия х. ч. фирмы Aldrich (США) в 400 мкл 2.5%-ного раствора нафиона, который готовили путем разбавления этанолом 5%-ного водно-этанольного раствора нафиона фирмы Aldrich (США). Полученную смесь далее диспергировали в ультразвуковой ванне (Bandelin electronic, Германия) в течение 30 мин. Модифицированный электрод МУНТ–ИЖ–СУЭ получали нанесением 3 мкл этой смеси на поверхность СУЭ и высушиванием на воздухе до полного испарения растворителя. Модификацию электрода композитом МУНТ–ИЖ–Au проводили последовательно в два этапа: сначала потенциостатически осаждали частицы Au, затем наносили 3 мкл смеси МУНТ–ИЖ на поверхность электрода Au–СУЭ и высушивали на воздухе до полного испарения растворителя.
Параметры электрохимического импеданса регистрировали в диапазоне частот 0.04 Гц–100 кГц при формальном редокс-потенциале пары Fe(CN)63-/4- с амплитудой 5 мВ. Для обработки полученных данных в условиях спектроскопии электрохимического импеданса использовали программное обеспечение NOVA 1.10.1.9 (Нидерланды) и эквивалентную ячейку Рэндлса [Rs(RetW)Q], Rs – сопротивление раствора и материала электрода, Ret – сопротивление переноса заряда, W – элемент Варбурга и Q – постояннофазовый элемент.
Для расчета площади эффективной поверхности использовали данные циклической вольтамперометрии раствора K4[Fe(CN)6] х. ч. фирмы Aldrich (США) в 0.1 М растворе KCl х. ч. ЗАО НПО “ТатхимПродукт” (Россия), полученные при разных скоростях развертки потенциала (0.01–0.1 В/с), расчет вели по уравнению Рэндлса–Шевчика [16]:
,
где Iп – высота тока пика, A; n – число переносимых электронов; A – эффективная площадь поверхности электрода, см2; D – коэффициент диффузии, см2/с (для K4[Fe(CN)6] в 0.1 М растворе KCl n = 1, D = 7.6 × 10–6 см2/с); c – концентрация K4[Fe(CN)6], моль/мл; v – скорость развертки потенциала, В/с.
При проведении ПрИА применяли установку, описанную ранее [17]. Для ввода пробы использовали электронную микропипетку Rаinin E4 XLS (METTLER TOLEDO, США), погруженную в раствор фонового электролита, при этом инжекцию пробы осуществляли непосредственно на поверхность рабочего электрода.
В качестве фонового электролита в стационарных условиях и потока-носителя в проточной системе использовали 0.05 М раствор H2SO4 (стандарт-титр, ЗАО “Уралхиминвест”, Россия). Растворы сульфаниламидов готовили растворением точных навесок сульфаметазина, сульфацетамида и сульфатиазола х. ч. фирмы Aldrich (США) в растворе фонового электролита. Серии растворов меньших концентраций готовили разбавлением исходных растворов непосредственно перед измерениями. Для приготовления растворов лекарственных средств таблетки предварительно измельчали и растирали. Навеску порошка растертых таблеток растворяли в 0.05 М H 2 SO 4, переносили в мерную колбу емк. 50 мл, встряхивали и доводили до метки этим же фоновым электролитом. Раствор тщательно перемешивали и фильтровали. Неизвестную концентрацию вещества определяли методом добавок.
Сульфацетамид определяли методом нитритометрии в соответствии с методикой, описанной в фармакопейной статье [18].
РЕЗУЛЬТАТЫ И ИХ ОБСУЖДЕНИЕ
Сульфаниламиды, к которым относятся сульфаметазин, сульфацетамид и сульфатиазол – синтетические химиотерапевтические средства широкого спектра действия. При электроокислении рассматриваемых сульфаниламидов на немодифицированном СУЭ наблюдаются плохо выраженные пики при достаточно высоких анодных потенциалах (Е > 1.20 В). Реакция предположительно протекает по схеме 1 [19].
Схема 1. Электроокисление сульфаниламидов.
Линейная зависимость величины анодного тока от концентрации рассматриваемых соединений на СУЭ в кислой среде наблюдается в узком интервале 5 × 10–4–5 × 10–3 М. Для повышения чувствительности метода использовали модифицированные электроды с каталитическими свойствами.
Золото, благодаря своей высокой электрохимической активности и химической стабильности, широко применяется в качестве модификатора рабочего электрода при определении различных биологически активных соединений [20, 21].
На анодной ветви циклической вольтамперограммы окисления золота (рис. 1а, кривая 1) в так называемой “кислородной” области потенциалов наблюдаются максимумы тока при Еп 0.90 и 1.20 В, соответствующие разряду адсорбированных гидроксид-ионов, который сопровождается переносом заряда на металл и образованием поверхностного оксида. При этом золото окисляется до степени окисления +3. В литературе приводятся сведения о том, что в области потенциалов, предшествующей выделению кислорода (E0O2/2H2O 1.23 В), возможно прямое окисление металлов при потенциалах, соответствующих значениям стандартных редокс-потенциалов [22].
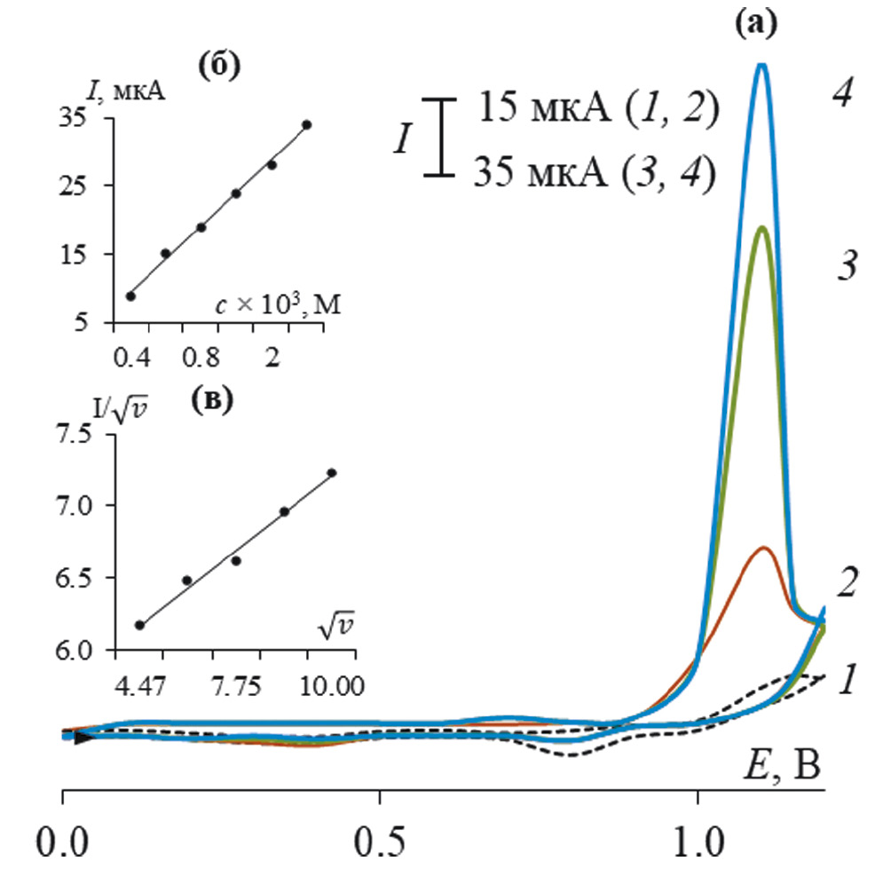
Рис. 1. Циклические вольтамперограммы на электроде Au –СУЭ в отсутствие сульфаметазина (1) и на электродах Au –СУЭ (2), МУНТ–ИЖ–СУЭ (3) и Au –МУНТ–ИЖ–СУЭ (4) в присутствии 5 × 10–3 М сульфаметазина на фоне 0.05 М H2SO4 (а). Зависимость тока при Е 1.10 В от концентрации сульфаметазина (б) и скорости наложения потенциала (в) при его окислении на электроде Au–СУ.
При электроокислении сульфаметазина на электроде Au –СУЭ на анодной ветви циклической вольтамперограммы регистрируется пик при потенциале 1.10 В (рис. 1а, кривая 2), т.е. при потенциале окисления модификатора. При этом величина тока этого пика линейно зависит от концентрации сульфаметазина (рис. 1б) и контролируется скоростью химической реакции (рис. 1в). Многократный прирост тока, по сравнению с током окисления модификатора, и смещение потенциала пика окисления рассматриваемых сульфаниламидов к менее положительным значениям, по сравнению с немодифицированным электродом, указывают на каталитическую природу электрохимической реакции [23].
При электроокислении сульфаметазина на электродах МУНТ–ИЖ–СУЭ и Au–МУНТ–ИЖ–СУЭ форма вольтамперограммы сохраняется (рис. 1а, кривые 3, 4), но при этом наблюдается значительное увеличение регистрируемых токов. Увеличение тока на МУНТ–ИЖ–СУЭ можно объяснить высокой проводимостью смешанного типа (электронной — в нанотрубках, ионной — в ионных жидкостях), а на Au–МУНТ–ИЖ–СУЭ – сочетанием высокой проводимости композита МУНТ–ИЖ, каталитических свойств частиц Au и увеличением поверхности электрода.
Данные расчетов площади эффективной поверхности электродов показывают, что осаждение частиц Au на поверхность СУЭ приводит к увеличению площади эффективной поверхности до 8.26 мм2 по сравнению с немодифицированным СУЭ с площадью эффективной поверхности 5.51 мм2. Нанесение композита МУНТ–ИЖ на поверхность СУЭ способствует росту эффективной площади поверхности до 12.57 мм2, а на поверхность Au–СУЭ – до 22.03 мм2, что, вероятно, обусловлено высокоразвитой поверхностью углеродных нанотрубок.
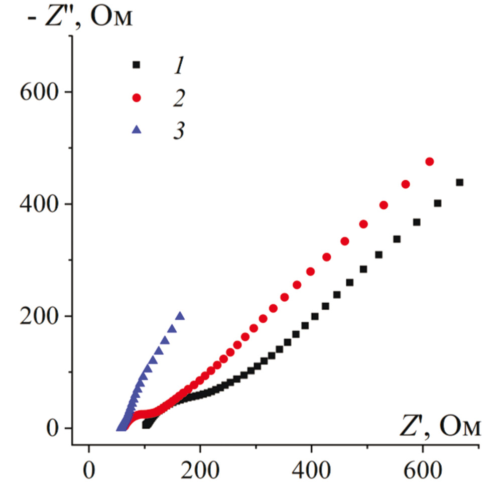
C помощью спектроскопии электрохимического импеданса оценили условия электронного обмена на границе раздела фаз (электрод/раствор, модификатор/раствор). Графическим отображением результатов данного метода является диаграмма Найквиста, которая представляет собой зависимость мнимой части импеданса от действительной. Область высоких частот соответствует кинетическому контролю и обычно сопровождается формированием одного или нескольких полукругов на диаграмме, область низких частот соответствует диффузионному контролю и выражается в виде прямой линии на зависимости. Диаметр упомянутых полукругов несет информацию о сопротивлении переноса заряда (Ret) на границе раздела фаз и позволяет проводить сравнительную характеристику различных модификаторов. На рис. 2 приведены диаграммы Найквиста для электродов СУЭ, Au –СУЭ и Au –МУНТ–ИЖ–СУЭ. Различное положение диаграмм соответствует изменению сопротивления материала электрода (Rs) после его модификации. Для немодифицированного СУЭ наблюдается один полукруг, соответствующий Ret 159 Ом. Электроосаждение частиц Au на поверхность электрода привело к снижению сопротивления переноса заряда в 2.7 раза (Ret = 59 Ом), что объясняется лучшей электропроводностью золота по сравнению со стеклоуглеродом. Последующая модификация электрода нанотрубками привела к дальнейшему снижению параметра Ret и изменению морфологии диаграммы Найквиста. Зависимость для электрода МУНТ–ИЖ– Au –СУЭ представляет собой почти прямую линию. Необходимо отметить, что подобное поведение характерно для электродов, покрытых МУНТ [24–26]. Такой вид спектра можно объяснить снижением сопротивления переноса заряда на границе раздела фаз в силу медиаторных свойств углеродных наноматериалов и значительным улучшением условий электронного обмена. Таким образом, данные спектроскопии электрохимического импеданса показывают положительное влияние каждой последующей модификации СУЭ в отношении электронного обмена.
Рис. 2. Диаграммы Найквиста для СУЭ (1), Au–СУЭ (2) и МУНТ–ИЖ–Au–СУЭ (3) в присутствии 0.01 М раствора K4[Fe(CN)6]/K3Fe(CN)6 на фоне 0.05 М H2SO4 в диапазоне частот от 0.04 Гц до 100 кГц с амплитудой 5 мВ при потенциале 0.31 В.
На основе полученных результатов можно предположить, что электрод МУНТ–ИЖ– Au–СУЭ обладает наилучшими электродными характеристиками.
На примере сульфаметазина сопоставили электрокаталитические свойства электродов Au–СУЭ, МУНТ–ИЖ–СУЭ и композитного электрода МУНТ–ИЖ–Au–СУЭ (рис. 1а, табл. 1). Наибольшее значение тока окисления сульфаметазина получено на композитном электроде МУНТ–ИЖ–Au–СУЭ, что, вероятно, связано с проявлением аддитивного эффекта каталитических свойств композита МУНТ–ИЖ и частиц Au, нанесенных на поверхность электрода, а также более развитой поверхностью модифицированных электродов. Отклик такого электрода обладает высокими стабильностью и воспроизводимостью (sr < 0.05).
Таблица 1. Вольтамперные характеристики окисления сульфаниламидов (c = 5 × 10–3 М) на модифицированных электродах на фоне 0.05 М H2SO4
Субстрат | Электрод | Eкат, В | Iкат, мкА |
Сульфаметазин | Au–СУЭ | 1.10 | 34 |
МУНТ–ИЖ–СУЭ | 1.10 | 199 | |
Au–МУНТ–ИЖ–СУЭ | 1.10 | 275 | |
Сульфацетамид | Au–МУНТ–ИЖ–СУЭ | 1.10 | 228 |
Сульфатиазол | Au–МУНТ–ИЖ–СУЭ | 1.10 | 213 |
Примечание: Екат, Iкат – потенциал и ток окисления субстрата на химически модифицированных электродах.
Установлено, что композит МУНТ–ИЖ–Au также проявляет высокую каталитическую активность при электроокислении сульфацетамида и сульфатиазола (табл. 1).
Аналитические характеристики вольтамперометрического определения сульфаниламидов на электроде МУНТ–ИЖ– Au –СУЭ приведены в табл. 2. Использование модифицированного электрода позволяет снизить нижнюю границу определяемых содержаний на 2–3 порядка относительно немодифицированного СУЭ.
Таблица 2. Аналитические характеристики определения сульфаниламидов методами циклической вольтамперометрии и порционно-инжекционной амперометрии на электроде Au–МУНТ–ИЖ–СУЭ на фоне 0.05 М H2SO4
Аналит | Диапазон концентраций, М | Уравнение регрессии lgI = a + blgс (I, мкА; с, М) | R2 | |
а ± Δa | b ± Δb | |||
Циклическая вольтамперометрия (стационарные условия) | ||||
Сульфаметазин | 5 × 10–7–5 × 10–3 | 2.22 ± 0.02 | 0.2 40 ± 0.011 | 0. 9939 |
Сульфацетамид | 1 × 10–7–1 × 10–3 | 2.17 ± 0.02 | 0.2 41 ± 0.012 | 0.9933 |
Сульфатиазол | 1 × 10–6–1 × 10–3 | 2.10 ± 0.02 | 0.30 ± 0.02 | 0.9950 |
Порционно-инжекционная амперометрия (проточные условия) | ||||
Сульфаметазин | 1 × 10–8–5 × 10–3 | 2.01 ± 0.02 | 0.181 ± 0.007 | 0.9945 |
Сульфацетамид | 1 × 10–8–5 × 10–3 | 1.945 ± 0.009 | 0.156 ± 0.004 | 0.9982 |
Сульфатиазол | 1 × 10–7–5 × 10–3 | 1.930 ± 0.006 | 0.150 ± 0.002 | 0.9992 |
Для разработки амперометрического способа определения рассматриваемых сульфаниламидов в условиях ПрИА в качестве рабочего электрода использовали Au–МУНТ–ИЖ–СУЭ.
Методика выполнения эксперимента заключается в следующем: инжекцию небольшого количества пробы осуществляли с помощью электронной микропипетки, погруженной в раствор фонового электролита в направлении непосредственно на поверхность рабочего электрода, который расположен в нижней части электрохимической ячейки поверхностью вверх на небольшом расстоянии от наконечника микропипетки. Аналитический сигнал измеряли в потенциостатическом режиме. В этом случае на чувствительность амперометрического определения влияет величина накладываемого потенциала (Е), объем инжектируемой пробы (V) и скорость инжектирования (u). В качестве примера на рис. 3 приведены зависимости тока, регистрируемого при амперометрическом определении сульфаметазина в условиях ПрИА, от Е, V и u. Для остальных исследуемых соединений получили аналогичные зависимости. Значения, отвечающие максимальному аналитическому сигналу, а именно: Е = 1.15 В, V = 0.60 мл и u = 15 мл/мин выбрали как рабочие для дальнейших измерений.
Рис. 3. Зависимость тока окисления сульфаметазина (с = 5 × 10–3 М) на электроде МУНТ–ИЖ–Au–СУЭ от накладываемого потенциала (а), объема пробы (б) и скорости инжекции (в) в порционно-инжекционных условиях на фоне 0.05 М H2SO4.
Для количественной оценки степени дисперсии пробы, содержащей сульфаметазин, рассчитали коэффициент дисперсии (D) как отношение концентрации определяемого соединения в стационарных и проточных условиях. Получили значение D = 2, что соответствует ограниченной дисперсии [27].
В табл. 2 представлены аналитические характеристики определения рассматриваемых сульфаниламидов, полученные методом порционно-инжекционной амперометрии. Разработанный порционно-инжекционный амперометрический способ определения сульфаниламидов на композитном электроде МУНТ–ИЖ– Au –СУЭ позволяет проводить определение в более широком интервале концентраций и снизить нижнюю границу определяемых содержаний на 3–4 порядка по сравнению с немодифицированным СУЭ.
На рис. 4 показана зависимость аналитического сигнала от концентрации аналита при амперометрическом определении сульфаметазина в условиях ПрИА. При использовании химически модифицированных электродов (ХМЭ) в варианте ПрИА в меньшей степени происходит вымывание модификатора с поверхности электрода по сравнению с классическим проточно-инжекционным анализом (ПИА), поскольку отсутствует постоянно движущийся поток раствора-носителя. Рассчитанные значения sr регистрируемых сигналов не превышают 2.0% (n = 10, P = 0.95), что говорит о хорошей воспроизводимости аналитического сигнала в проточных условиях.
Рис. 4. Зависимость тока окисления сульфаметазина (с = 5 × 10–3 М) на электроде МУНТ–ИЖ–Au–СУЭ от концентрации аналита на фоне 0.05 М H2SO4
Поскольку в ПрИА проба попадает непосредственно на детектор, время проведения анализа сокращается по сравнению с ПИА, где от момента ввода пробы до регистрации аналитического сигнала проходит промежуток времени, затрачиваемый на передвижение пробы через коммуникации проточной системы до детектора. Так как время, затрачиваемое на проведение анализа, является определяющим фактором производительности метода, ПрИА с этой точки зрения выгодно отличается от ПИА. Теоретическая производительность ПрИА на предложенном ХМЭ достигает 360 определений/ч (при времени отклика ХМЭ 10 с).
Полученные аналитические характеристики амперометрического определения рассматриваемых соединений сопоставимы, а в некоторых случаях гораздо лучше результатов, описанных в литературе (табл. 3).
Таблица 3. Сопоставление аналитических характеристик электрохимического определения сульфаметазина, сульфацетамида и сульфатиазола на модифицированных электродах
Метод | Электрод | Диапазон линейности, мкМ | Предел обнаружения, мкМ | Литература |
Сульфаметазин | ||||
КвВА | 3,4-Этилендиокситиофен–MnO2–ПЭ | 1.0 – 500 | 0.16 | [2 8] |
КвВА | НФ-СУЭ | 0.01 – 1.0 | 0.0068 | [2 9] |
ДифВА | Au–Ag–СУЭ | 0.1 – 1.00 | 0.097 | [30] |
ЦВА | МУНТ–СУЭ | 0.5 – 110 | 0.032 | [31] |
ПрИ-Амп | Au–МУНТ–ИЖ–СУЭ | 0.01 – 5000 | 0.007 | Данная работа |
Сульфацетамид | ||||
КвВА | МУНТ–1,5-диаминонафтален–СУЭ | 5 – 0.0015 | 0.11 | [32] |
ПрИ-Амп | Au–МУНТ–ИЖ–СУЭ | 0.01 – 5000 | 0.007 | Данная работа |
Сульфатиазол | ||||
ДифВА | Mn3O4–C3N4–УПЭ | 0.75 – 100 | 0.11 | [33] |
ПрИ-Амп | Au–МУНТ–ИЖ–СУЭ | 0.1 – 5000 | 0.08 | Данная работа |
Примечание: ЦВА – циклическая вольтамперометрия, ДифВА – дифференциальная вольтамерометрия, КвВА – квадратно-волновая вольтамперометрия, ПрИ-Амп – порционно-инжекционная амперометрия, ПЭ – планарный электрод, УПЭ – угольно-пастовый электрод.
Для оценки качества некоторых лекарственных препаратов выполнили амперометрическое определение сульфаметазина и сульфацетамида на электроде МУНТ–ИЖ– Au –СУЭ в условиях ПрИА. Приготовленные растворы лекарственных средств инжектировали в проточную систему с помощью микропипетки, затем регистрировали хроноамперограмму, на которой измеряли величину тока при выбранном потенциале. Результаты определения сульфаметазина и сульфацетамида по амперометрическому отклику электрода МУНТ–ИЖ–Au–СУЭ приведены в табл. 4. Установлено, что присутствие матричных компонентов (декстроза, лактоза, крахмал, тальк, стеариновая кислота, полисорбат) не мешает определению сульфаниламидов. Полученные результаты порционно-инжекционного определения сульфацетамида на ХМЭ сопоставили с результатами, полученными методом нитритометрии. Анализ результатов по F- и t-критериям показывает, что методы равноточны (Fрасч < Fтабл), а расхождение между средними результатами незначимо (tрасч < tтабл) (табл. 5).
Таблица 4. Результаты определения сульфаметазина и сульфацетамида в лекарственных препаратах методом амперометрии на МУНТ–ИЖ–Au–СУЭ в условиях ПрИА (n = 6, P = 0.95, tтабл = 2.57)
Лекарственный препарат | Аналит | Содержание в препарате, г | Найдено, г | sr |
Сульфадимидин “Ирбитский химфармзавод ОАО” | Сульфаметазин | 0.5 | 0.48 ± 0.02 | 0.05 |
Сульфадимезин “Ирбитский химфармзавод ОАО” | 0.5 | 0.53 ± 0.02 | 0.03 | |
Сульфацил натрия капли глазные 20 % “ОАО Диафарм” | С ульфацетамид | 0.2 | 0.22 ± 0.0 3 | 0.04 |
Сульфацил натрия-СОЛОфарм капли глазные 20% “Гротекс ООО” | 0.2 | 0.19 ± 0.02 | 0.04 |
Таблица 5. Результаты определения сульфацетамида в лекарственных средствах методом амперометрии на МУНТ–ИЖ–Au–СУЭ в условиях ПрИА (метод I) и методом нитритометрии (метод II) (n = 6, P = 0.95, Fтабл. = 5.05, tтабл = 2.57)
Лекарственный препарат | Содержание в препарате, г | Найдено, г методом I | Найдено, г методом II | Fрасч | tрасч |
Сульфацил натрия капли глазные 20% “ОАО Диафарм” | 0.2 | 0.22 ± 0.03 | 0.21 ± 0.02 | 2.33 | 0.87 |
Сульфацил натрия-СОЛОфарм капли глазные 20% “Гротекс ООО” | 0.2 | 0.19 ± 0.03 | 0.20 ± 0.02 | 2.27 | 0.71 |
* * *
Таким образом, для разработанного способа порционно-инжекционного амперометрического определения сульфаниламидов (сульфаметазина, сульфацетамида и сульфатиазола) характерны небольшие объемы проб, простота конструкции и портативность порционно-инжекционной системы, а также высокая чувствительность, обусловленная ка талитическим свойствами модифицированного электрода и малой дисперсией пробы. Показано, что разработанный электрод МУНТ–ИЖ–Au–СУЭ можно использовать для амперометрического определения сульфаметазина и сульфацетамида в условиях ПрИА в лекарственных препаратах. Отмеченные достоинства дают перспективу внедрения данного метода в аналитическую практику при решении задач автоматизации и миниатюризации химического анализа объектов различной природы.
ФИНАНСИРОВАНИЕ РАБОТЫ
Работа выполнена за счет средств Программы стратегического академического лидерства Казанского (Приволжского) федерального университета (“Приоритет-2030”).
КОНФЛИКТ ИНТЕРЕСОВ
Авторы данной работы заявляют об отсутствии конфликта интересов.
About the authors
L. G. Shaydarova
Kazan Federal University
Author for correspondence.
Email: LarisaShaidarova@mail.ru
Russian Federation, Kazan, 420008
I. A. Chelnokova
Kazan Federal University
Email: LarisaShaidarova@mail.ru
Russian Federation, Kazan, 420008
М. А. Ilyina
Kazan Federal University
Email: LarisaShaidarova@mail.ru
Russian Federation, Kazan, 420008
I. А. Gafiatova
Kazan Federal University
Email: LarisaShaidarova@mail.ru
Russian Federation, Kazan, 420008
G. K. Budnikov
Kazan Federal University
Email: LarisaShaidarova@mail.ru
Russian Federation, Kazan, 420008
References
- Aarestrup F.M. The livestock reservoir for antimicrobial resistance: A personal view on changing patterns of risks, effects of interventions and the way forward // Philos. Trans. R. Soc. B: Biol. Sci. 2015. V. 370. № 1670. P. 20140085.
- Zhang J., Haines C., Watson A.J.M., Hart A.R., Platt M.J., Pardoll D.M., et al. Oral antibiotic use and risk of colorectal cancer in the United Kingdom, 1989–2012: A matched case–control study // Gut. 2019. V. 68. № 11. P. 1971.
- Duan C. Zhang Y., Li P., Li Q., Yu W., Wen K., et al. Dual-wavelength fluorescence polarization immunoassay for simultaneous detection of sulfonamides and antibacterial synergists in milk // Biosensors. 2022. V. 12. № 11. P. 1053.
- Бельтюкова С.В., Ливенцова Е.О. Методы определения антибиотиков в пищевых продуктах (Обзор) // Методы и объекты химического анализа. 2013. Т. 8. №1. С. 4.
- Кирпичная В.К. Контроль содержания антибиотиков в пищевых продуктах хроматографическими методами // Пищевая промышленность. 2013. № 8. С. 52.
- Yarkaeva Y.A. Maistrenko V.N., Dymova D.A., Zagitova L.R., Nazyrov M.I. Polyaniline and poly(2-methoxyaniline) based molecular imprinted polymer sensors for amoxicillin voltammetric determination // Electrochim. Acta. 2022. V. 433. № 12. Article 141222
- Кулапина Е.Г., Мурсалов Р.К., Кулапина О.И., Анкина В.Д. Электроаналитические свойства немодифицированных и модифицированных твердоконтактных потенциометрических β-лактамных сенсоров в водных и биологических средах. // Заводск. лаборатория. Диагностика материалов. 2022. Т. 88 № 6. С. 15.
- Шайдарова Л.Г., Будников Г.К. Химически модифицированные электроды на основе благородных металлов, полимерных пленок или их композитов в органической вольтамперометрии. Обзор // Журн. аналит. химии. 2008. Т. 63. № 10. С. 1014. (Shaidarova L.G., Budnikov H.C. Chemically modified electrodes based on noble metals, polymer films, or their composites in organic voltammetry: A review // J. Anal. Chem. 2008. V. 63. № 10. P. 922.)
- Megale J.D., Souza D.D. New approaches in antibiotics detection: The use of square wave voltammetry // J. Pharm. Biomed. Anal. 2023. V. 234. Article 115526.
- Meenakshi S., Rama R., Pandian K., Gopinath S.C. B. Modified electrodes for electrochemical determination of metronidazole in drug formulations and biological samples: An overview // Microchem. J. 2021. V. 165. Article 106151
- Шведене Н.В. Чернышëв Д.В., Плетнëв И.В. Ионные жидкости в электрохимических сенсорах // Рос. хим. журн. (Журн. Рос. хим. об-ва им. Д.И. Менделеева). 2008. Т. 52. № 2. С. 91.
- Шпигун Л.К. Исаева Н.А., Андрюхина Е.Ю., Камилова П.М. Вольтамперометрические сенсоры на основе гель-композитов, содержащих углеродные нанотрубки и ионную жидкость // Журн. аналит. химии. 2016. Т. 71. № 8. С. 846. (Shpigun L.K., Isaeva N.A., Andryukhina E.Y., Kamilova P.M. Voltammetric sensors based on gel composites containing carbon nanotubes and an ionic liquid. // J. Anal. Chem. 2016. V. 71. № 8. P. 814.)
- Kurbanoglu S., Unal M.A., Ozkan S.A. Recent developments on electrochemical flow injection in pharmaceuticals and biologically important compounds // Electrochim. Acta. 2018. V. 287. P. 135.
- Hasso M., Sarakhman O., Durdic S., Stankovic D., Svorc Ľ. Advanced electrochemical platform for simple and rapid quantification of tannic acid in beverages using batch injection analysis with amperometric detection // J. Electroanal. Chem. 2023. V. 942. Article 117578
- Hasso M., Matuskova I., Svorc Ľ. Easy, rapid and high-throughput analytical sensing platform for theobromine quantification in chocolate and cocoa products based on batch injection analysis with amperometric detection // J. Food Compos. Anal. 2023. V. 115. Article 105035
- Bard A.J., Faulkner L.R. Electrochemical Methods: Fundamentals and Applications. New York, USA: John Wiley, 2001. 864 p.
- Шайдарова, Л. Г., Челнокова И.А., Дегтева М.А., Махмутова Г.Ф., Лексина Ю. А., Гедмина А.В., Будников Г.К. Амперометрическое детектирование кофеина на электроде, модифицированном композитом на основе смешановалентных оксидов иридия и рутения, в условиях порционно-инжекционного анализа // Хим.-фарм. журн. 2015. Т. 49. № 10. С. 49.
- Сульфацетамид (ФС 2.1.0182.18). XIV Государственная Фармакопея Российской Федерации. Часть 3. Москва, 2018. С. 4840.
- Cesarino, I., Simoes R.P., Lavarda F.C., Batagin-Neto A. Electrochemical oxidation of sulfamethazine on a glassy carbon electrode modified with graphene and gold nanoparticles / // Electrochim. Acta. 2016. V. 192. P. 8.
- Шайдарова Л.Г., Челнокова И.А., Лексина Ю.А., Хайруллина Д.Ю., Будников Г.К. Проточно-инжекционное амперометрическое определение 5-гидрокситриптофана, пиридоксина и аскорбиновой кислоты на планарном электроде, модифицированном частицами бинарной системы золото-палладий // Аналитика. 2022. Т. 12. № 4. С. 280.
- Шайдарова Л.Г., Челнокова И.А., Ильина М.А., Лексина Ю.А., Будников Г.К. Амперометрическое детектирование триптофана и пиридоксина на двойном планарном электроде, модифицированном наночастицами золота, в проточно-инжекционной системе // Журн. аналит. химии. 2019. Т. 74. № 6. С. 437. (Shaidarova L.G, Chelnokova I.A., Il'ina M.A., Leksina Yu.A., Budnikov H.C. amperometric detection of tryptophane and pyridoxine on a dual screen-printed electrode modified by gold nanoparticles in a flow-injection system // J. Anal. Chem. 2019. V. 74. № 6. P. 584.)
- Juodkazis K., Juodkazyte J., Juodiene T., Sukiene V., Savickaja I. Alternative view of anodic surface oxidation of noble metals // Electrochim. Acta. 2006. V. 51. № 27. P. 6159.
- Будников Г.К., Майстренко В.Н., Евтюгин Г.А., Основы современного электрохимического анализа. М.: БИНО М. Лаборатория знаний, 2003. C. 592.
- He B.-S., Chen W.-B. Voltammetric determination of sulfonamides with a modified glassy carbon electrode using carboxyl multiwalled carbon nanotubes // J. Braz. Chem. Soc. 2016. V. 27. № 12. P. 2216.
- Li Y., Hsu P.-C., Chen S.-M., Lou B.-S., Ali M.A., Al-Hemaid F.M. A. Simultaneously determination of procaine and catechol at functionalized multi-walled carbon nanotube with poly-glutamic acid modified electrode // J. Biobased Mater. Bioenergy. 2014. V. 8. № 2. P. 1.
- Silva M.N.T., Rocha R.G., Richter E.M., Munoz R.A.A., Nossol E. Nickel oxy-hydroxy/multi-wall carbon nanotubes film coupled with a 3D-printed device as a nonenzymatic glucose sensor // Biosensors (Basel). 2023. V. 13. № 6. P. 646.
- Москвин Л.Н., Булатов А.В., Москвин А.Л. Проточные методы анализа. СПб: ВВМ, 2008. С. 48.
- Su Y.-L., Cheng S.-H. A novel electroanalytical assay for sulfamethazine determination in food samples based on conducting polymer nanocomposite-modified electrodes // Talanta. 2018. V. 180. P. 81.
- Guzmán-Vázquez de Prada A., Reviejo A.J., Pingarrón J.M. A method for the quantification of low concentration sulfamethazine residues in milk based on molecularly imprinted clean-up and surface preconcentration at a Nafion-modified glassy carbon electrode // J. Pharm. Biomed. Anal. 2006. V. 40. № 2. P. 281.
- Lalmalsawmi J., Tiwari D., Lee S.-M., Kim D.-J., Kim H. Efficient electrochemical sensor for trace detection of sulfamethazine in spring water: Use of novel nanocomposite material coated with Ag or Au nanoparticles // Microchem. J. 2022. V. 179. Article 107520.
- He B.-S., Chen W.-B. Voltammetric determination of sulfonamides with a modified glassy carbon electrode using carboxyl multiwalled carbon nanotubes // J. Braz. Chem. Soc. 2016. V. 27. P. 2216.
- Yadav S., Choubey P.K., Agrawal B., Goyal R.N. Carbon nanotube embedded poly 1,5-diaminonapthalene modified pyrolytic graphite sensor for the determination of sulfacetamide in pharmaceutical formulations // Talanta. 2014. V. 118. P. 96.
- Javanshiri-Ghasemabadi J., Sadeghi S. Facile fabrication of an electrochemical sensor for the determination of two sulfonamide antibiotics in milk, honey and water samples using the effective modification of carbon paste electrode with graphitic carbon nitride and manganese oxide nanostructures // J. Food Compos. Anal. 2023. V. 120. Article 105294.
Supplementary files







