Sorption concentration of flavonoids by ordered mesoporous silica synthesized in the presence of a potential sorbate
- Authors: Zavalyueva А.S.1, Karpov S.I.1, Selemenev V.F.1
- 
							Affiliations: 
							- Voronezh State University
 
- Issue: Vol 79, No 12 (2024)
- Pages: 1291-1299
- Section: ORIGINAL ARTICLES
- Submitted: 06.03.2025
- Accepted: 06.03.2025
- URL: https://journals.rcsi.science/0044-4502/article/view/282594
- DOI: https://doi.org/10.31857/S0044450224120024
- EDN: https://elibrary.ru/stuqli
- ID: 282594
Cite item
Abstract
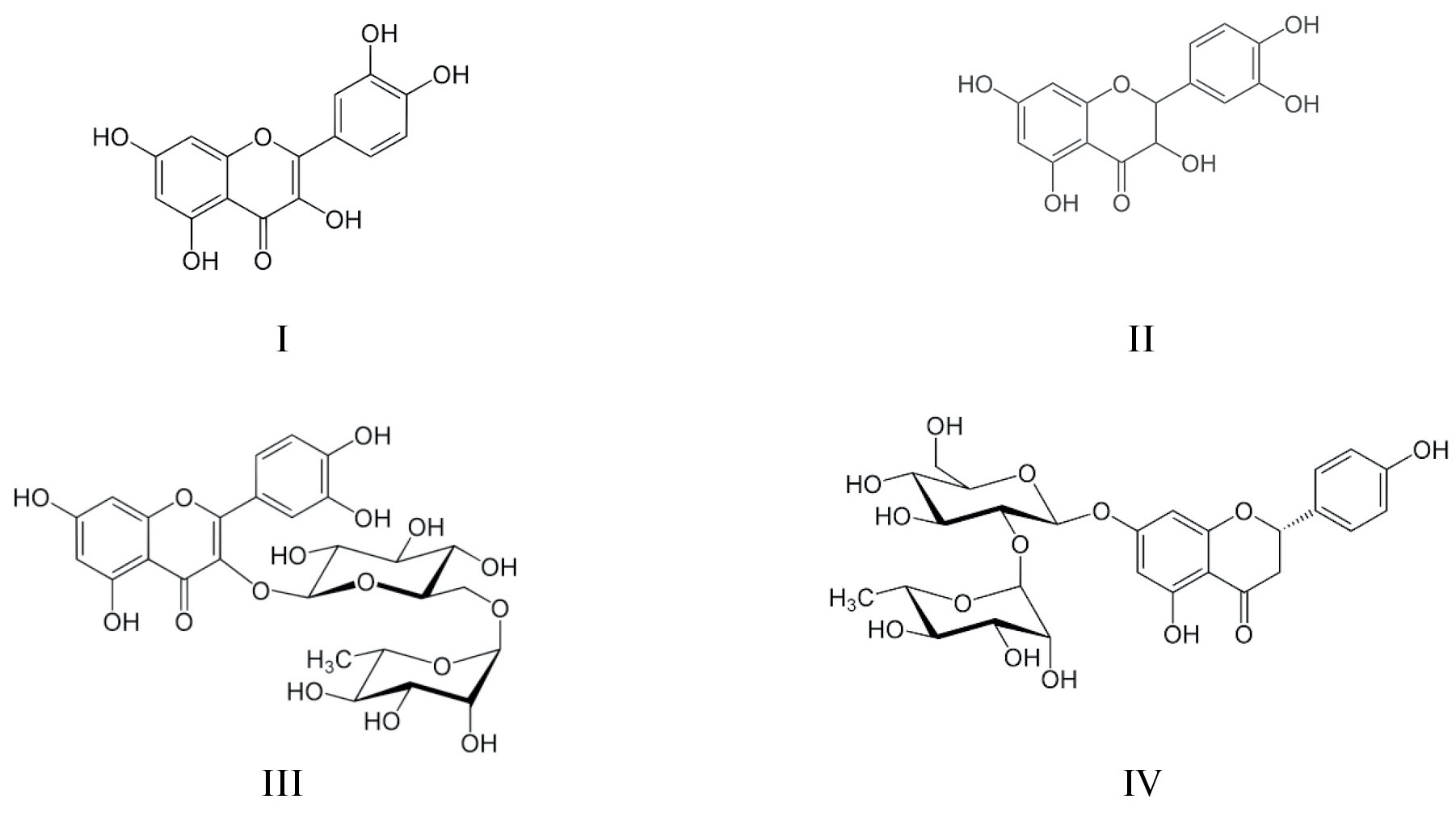
The use of nanostructured sorbents at the stages of sample preparation (extraction, concentration) of multicomponent mixtures in the processes of solid-phase extraction of organic substances is of great interest. In the present work, the sorption properties of ordered mesoporous analogues of SBA-15 synthesized in the presence of quercetin as a potential sorbate are studied. The features of sorption isolation and concentration of quercetin, dihydroquercetin, naringin and rutin under dynamic conditions from acetonitrile solutions by the method of breakthrough curves are considered. The use of a generalized criterion for optimizing the sorption concentration of CE within the framework of the model of dynamic sorption concentration of Venitsianov – Tsyzin, taking into account the limiting (mixed-diffusion) stage of sorption kinetics, made it possible to evaluate the effectiveness of sorption concentration of flavonoids on the studied sorbents. It is shown that the use of ordered silica synthesized in the presence of a potential sorbate makes it possible to significantly increase the concentration efficiency compared with unstructured silicas, as well as samples of an unmodified analogue of SBA-15.
Full Text
 
												
	                        About the authors
А. S. Zavalyueva
Voronezh State University
							Author for correspondence.
							Email: a-kh-01@yandex.ru
				                					                																			                												                	Russian Federation, 							Voronezh, 394018						
S. I. Karpov
Voronezh State University
														Email: a-kh-01@yandex.ru
				                					                																			                												                	Russian Federation, 							Voronezh, 394018						
V. F. Selemenev
Voronezh State University
														Email: a-kh-01@yandex.ru
				                					                																			                												                	Russian Federation, 							Voronezh, 394018						
References
- Темердашев З.А., Виницкая Е.А., Милевская В.В., Статкус М.А. Концентрирование углеродными сорбентами фенольных соединений и их хроматографическое определение в водных экстрактах лекарственных растений // Журн. аналит. химии. 2021. Т. 76. № 3. С. 208. https://doi.org/10.31857/S0044450221030142 (Temerdashev Z.A., Vinitskaya E.A., Milevskaya V.V., Statkus M.A. Preconcentration of phenolic compounds on carbon sorbents and their chromatographic determination in aqueous extracts of medicinal plants // J. Anal. Chem. 2021. V. 76. №. 3. P. 296. https://doi.org/10.1134/S106193482103014X)
- Ланин С.Н., Рычкова С.А. Виноградов А.Е., Вирясов М.Б., Востров И.А., Шаталов И.А. Сорбция водорастворимых витаминов на сорбентах различной природы // Сорбционные и хроматографические процессы. 2015. Т. 15. № 2. С. 179.
- Чикурова Н.Ю., Шемякина А.О., Брыскина Д.Э., Нуриев В.Н., Комаров А.А., Статкус М.А., Ставрианиди А.Н., Чернобровкина А.В. Новый сорбент для гидрофильной хроматографии на основе силикагеля, модифицированного по реакции Уги // Журн. аналит. химии. 2021. Т. 76. № 9. С. 832. https://doi.org/10.31857/S0044450221090036 (Chikurova N.Y., Shemyakina A.O., Nuriev V.N., Statkus M.A., Stavrianidi A.N., Chernobrovkina A.V., Bryskina D.E., Komarov A.A. A novel adsorbent for hydrophilic chromatography based on silica modified by the Ugi reaction // J. Anal. Chem. 2021. V. 76. № 9. P. 1083. https://doi.org/10.1134/S1061934821090033)
- Федорова И.А., Шаповалова Е.Н., Шпигун О.А. Разделение энантиомеров β -блокаторов и аминокислот на смешанном хиральном сорбенте, модифицированном макроциклическими антибиотиками эремомицином и ванкомицином // Журн. аналит. химии. 2017. Т. 72. № 1. P. 57. https://doi.org/10.7868/S0044450217010078 (Fedorova I.A., Shapovalova E.N., Shpigun O.A. Separation of β -blocker and amino acid enantiomers on a mixed chiral sorbent modified with macrocyclic antibiotics eremomycin and vancomycin // J. Anal. Chem. 2017. V. 72. № 1. P. 76. https://doi.org/10.1134/S1061934817010075)
- Beck J.S., Vartuli J.C., Roth W.J., Leonowicz M.E., Kresge C.T., Schmitt K.D. et al. A new family of mesoporous molecular sieves prepared with liquid crystal templates // J. Am. Chem. Soc. 1992. V. 114. P. 10834. https://doi.org/10.1021/JA00053A020
- Kresge C.T., Leonowicz M.E., Roth W.J., Vartuli J.C., Beck J.S. Ordered mesoporous molecular sieves synthesized by a liquid-crystal template mechanism // Nature. 1992. V. 359. P. 710. https://doi.org/10.1038/359710a0
- Zhao D., Feng J., Huo Q., Melosh N., Fredrickson G.H., Chmelka B.F., Stucky G.D. Triblock copolymer syntheses of mesoporous silica with periodic 50 to 300 angstrom pores // Science. 1998. V. 279. P. 548. https://doi.org/10.1126/science.279.5350.548
- Gañán J., Pérez-Quintanilla D., Morante-Zarcero S., Sierra I. Comparison of different mesoporous silicas for off-line solid phase extraction of 17β-estradiol from waters and its determination by HPLC-DAD // J. Hazard. Mater. 2013. V. 260. P. 609. https://doi.org/10.1016/ j. jhazmat.2013.06.016
- Синяева Л.А., Беланова Н.А., Карпов С.И., Селеменев В.Ф., Roessner F. Сорбционное концентрирование фосфатидилхолина наноструктурированными мезопористыми материалами в динамических условиях // Журн. аналит. химии. Т. 73. № 9. С. 663. https://doi.org/10.1134/S0044450218090141 (Sinyaeva L.A., Belanova N.A., Karpov S.I., Selemenev V.F., Roessner F. Adsorption preconcentration of phosphatidylcholine on nanostructured mesoporous materials under dynamic conditions // J. Anal. Chem. 2018. V. 73. № 9. P. 847. https://doi.org/10.1134/S1061934818090149)
- Карпов С.И., Корабельникова Е.О. Разделение (+)-катехина и кверцетина на мезопористых композитах МСМ-41. Динамика сорбции флавоноидов // Журн. физ. химии. 2015. Т. 89. № 6. С. 1030. https://doi.org/10.7868/s0044453715060151 (Karpov S.I., Korabel'nikova E.O. Separation of (+)-catechin and quercetin on mesoporous MCM-41 composites: Dynamics of the sorption of flavonoids // Russ. J. Phys. Chem. A. 2015. V. 89. № 6. P. 1096. https://doi.org/10.1134/S0036024415060151)
- Карпов С.И., Беланова Н.А., Корабельникова Е.О., Недосекина И.В., Roessner F., Селеменев В.Ф. Хроматографическое разделение и концентрирование кверцетина и (+)-катехина с использованием мезопористых композитов на основе МСМ-41 // Журн. физ. химии. 2015. Т. 89. № 5. С. 855. https://doi.org/10.7868/S0044453715050179 (Karpov S.I., Belanova N.A., Korabel'nikova E.O., Nedosekina I.V., Selemenev V.F., Roessner F. Chromatographic separation and concentration of quercetin and (+)-catechin using mesoporous composites based on MCM-41 // Russ. J. Phys. Chem. A. 2015. V. 89. № 5. P. 882. https://doi.org//10.1134/S0036024415050179)
- Boateng I.D., Yang X.-M., Yin H., Liu W. Separation and purification of polyprenols from Ginkgo biloba leaves by silver ion anchored on imidazole-based ionic liquid functionalized mesopo rous MCM-41 sorbent // Food Chem. 2024. V. 450. Article 139284. https://doi.org/10.1016/j.foodchem.2024.139284
- Cao W., Ye L.H., Cao J., Xu J.-J., Peng L.-Q., Zhu Q.-Y., et al. Quantitative analysi s of flavanones from citrus fruits by using mesoporous molecular sieve-based miniaturized solid phase extraction coupled to ultrahigh-performance liquid chromatography and quadrupole time-of-flight mass spectrometry // J. Chromatogr. A. 2015. V. 1406. P. 68. https://doi.org/10.1016/j.chroma.2015.06.035
- Wang X., Li J., Yang X., Gao X.-M., Wang H., Chang Y.-X. A rapid and efficient extraction method based on industrial MCM-41-miniaturized matrix solid-phase dispersion extraction with response surface methodology for simultaneous quantification of six flavonoids in Pollen typhae by ultra-high-performance liquid chromatography // J. Sep. Sci. 2019. V. 42. № 14. P. 2426. https://doi.org/10.1002/jssc.201900227
- Cotea V. V., Luchiana C.E., Bilbaa N., Niculauac M. Mesoporous silica SBA-15, a new adsorbent for bioactive polyphenols from red wine // Anal. Chim. Acta. 2012. V. 732. P. 180. https://doi.org/10.1016/ j. aca.2011.10.019
- Золотов Ю.А., Цизин Г.И., Моросанова Е.И., Дмитриенко С.Г. Сорбционное концентрирование микрокомпонентов для целей химического анализа // Успехи химии. 2005. Т. 74. № 1. С. 41.
- Хлуднева А.С., Карпов С.И., Roessner F., Селеменев В.Ф. Структура и сорбционные свойства мезопористых кремнеземов, синтезированных при варьировании температуры и кремниевой основы // Сорбционные и хроматографические процессы. 2021. Т. 21. № 5. С. 669. https://doi.org/10.17308/ sorpchrom.2021.21/3773
- Мамылов С.Г., Ломовский И.О., Ломовский О.И. Термическое взаимодействие кверцетина и глюкозы. Влияние механохимического воздействия. Квантово-химический расчет маршрутов реакции // Фундаментальные проблемы современного материаловедения. 2022. Т. 19. № 3. С. 315. https://doi.org/10.25712/ASTU.1811-1416.2022. 03.004
- Hafezian S.M., Azizi S.N., Biparva P., Bekhradnia A. High-efficiency purification of sulforaphane from the broccoli extract by nanostructured SBA-15 silica using solid-phase extraction method // J. Chromatogr. B. 2019. V. 1108. P. 1. https://doi.org/10.1016/j.jchromb.2019.01.007
- Wang L., Yan H., Yang C., Li Z., Qiao F. Synthesis of mimic molecularly imprinted ordered mesoporous silica adsorbent by thermally reversible semicovalent approach for pipette-tip solid-phase extraction-liquid chromatography fluorescence determination of estradiol in milk // J. Chromatogr. A. 2016. V. 1456. P. 58. https://doi.org/10.1016/j.chroma.2016.06.010
- Scheid C., Mello W., Buchner S., Benvenutti E.V., Deon M., Merib J. Efficient analysis of polycyclic aromatic hydrocarbons by dispersive-µ-solid-phase extraction using silica-based nanostructured sorbent phases coupled to gas chromatography-mass spectrometry // Adv. Sample Prep. 2023. V. 7. P. 10070. https://doi.org/10.1016/ j. sampre.2023.100070
- Беланова Н.А., Карпов С.И., Селеменев В.Ф., Ресснер Ф., Макаревич Е.О. Способ концентрирования и разделения флавоноидов. Патент РФ № 2646805 C 1. Заявка 2016149469 от 15.12.2016, опубл. 07.03.2018.
- Кузьминых В.А., Чикин Г.А., Селеменев В.Ф. Асимптотическая теория динамики ионообменной сорбции при необменном поглощении электролита и соизмеримых диффузионных сопротивлениях взаимодействующих фаз / Труды VIII региональной конференции “Проблемы химии и химической технологии”. Воронеж. 21–22 сентября 2000. С. 123.
- Fang Z., Welzt B. Optimisation of experimental parameters for flow injection flame atomic absorption spectrom etry // J. Anal. Atom. Spectrom. 1989. V. 4. P. 83.
- Веницианов Е.В., Ковалев И.А., Цизин Г.И. Оптимизация динамического сорбционного концентрирования в аналитической химии // Теория и практика сорбционных процессов. Межвузовский сб. науч. трудов. 1998. Т. 23. С. 24.
- Веницианов В.В., Волков Б.И., Иоффе В.П., Колосова Г.М., Рубинштейн Н.Н. Некоторые задачи динамики сорбции в области линейной изотермы при внешнедиффузионной кинетике // Заводск. лаборатория. 1971. № 5. С. 544.
Supplementary files
 
				
			 
					 
						 
						 
						 
						 
				 
									
 
  
  
  Email this article
			Email this article 
 Open Access
		                                Open Access Access granted
						Access granted


