Application of a composite based on magnetite nanoparticles, graphene oxide and ionic liquid for the extraction of bisphenol A from bottom sediments by matrix solid-phase dispersion
- Authors: Gubin A.S.1, Sukhanov P.T.1, Kushnir A.A.1
-
Affiliations:
- Voronezh State University of Engineering Technologies
- Issue: Vol 79, No 9 (2024)
- Pages: 1016-1027
- Section: ORIGINAL ARTICLES
- Submitted: 23.02.2025
- Accepted: 23.02.2025
- URL: https://journals.rcsi.science/0044-4502/article/view/281174
- DOI: https://doi.org/10.31857/S0044450224090066
- EDN: https://elibrary.ru/titgjz
- ID: 281174
Cite item
Full Text
Abstract
A composite based on Fe3O4 nanoparticles, graphene oxide and ionic liquid (1-butyl-3-methylimidazolium-2-carboxylate) is proposed as a sorbent for the extraction of bisphenol A (BPA) from bottom sediments by matrix solid-phase dispersion (MSPD). The saturation magnetization of the synthesized sorbent was 34 emu/g. Grinding of bottom sediments and subsequent grinding with the sorbent was carried out in a ball mill. Some stages of MSPD are partially automated, in particular the procedures of magnetic separation, BPA desorption and sorbent regeneration. The degree of extraction of BPA under experimentally selected conditions (sorbent weight is 0.5 g, the time required for grinding the sorbent is 5 minutes) is 94%. The sorbent can withstand four sorption-desorption cycles without loss of sorption capacity. To clean the matrix from interfering influences, washing with n-heptane is proposed. Bisphenol A was determined by gas chromatography-mass spectrometry after derivatization with acetic anhydride. The analytical characteristics of the method were established using model samples of bottom sediments that artificially polluted BPA. The limit of determination by the developed method was 0.1 μm/kg, the linearity interval of the calibration graph was 0.3–12 μm/kg (r2 = 0.994). The bottom sediments selected near the discharge of the Voronezh wastewater treatment plants (Voronezh River and Don River) were used as real objects for analysis. The concentration of BPA in bottom sediments was 3.83–6.52 μm/kg.
Full Text
Матричное твердофазное диспергирование (МТФД) впервые описано в 1989 г. С. Баркером с соавт. [1]. Сорбенты для МТФД должны обладать абразивными свойствами, поэтому ранее обычно применяли твердый материал-носитель октадецилсилил (С18) – производное диоксида кремния, используемое в обращенно-фазовой хроматографии. Сущность МТФД состоит в том, что образец для анализа (в большинстве случаев твердый) помещают в агатовую ступку, содержащую другой твердый материал (сорбент) и перетирают [2]. При анализе жидких проб или проб с повышенной влажностью воду удаляют добавлением прокаленного Na2SO4. При смешивании должно произойти истирание и разрушение образца пробы. Затем перетертый образец переносят в колонку, подходящую для проведения последовательного элюирования растворителями. Для выделения выбранного соединения может быть использован один или несколько растворителей. Выделение определяемого вещества достигается применением вспомогательных колонок, заполненных сорбентами или носителями, используемыми в колоночной хроматографии.
За последние 10 лет при реализации МТФД перечень применяемых сорбентов значительно расширился. В настоящее время используют молекулярно импринтированные полимеры [3, 4], композиты на основе молекулярно импринтированных полимеров и силикагеля [5], нанопластинки графена [6] и диоксид кремния, инкапсулированный в графен [7], молекулярные сита [8], хитозан [9], некоторые другие материалы. Также изменились подходы к перетиранию образца с абразивными материалами. Для этой цели оказалось перспективным применение шаровых мельниц [10].
С развитием МТФД начали реализовываться подходы с использованием магнитных сорбентов. Наночастицы (НЧ) Fe3O4 являются перспективным материалом для МТФД [11]. Метод МТФД с использованием в качестве сорбента магнетита в сочетании с ВЭЖХ с масс-спектрометрическим детектированием применен для концентрирования и определения 30 пестицидов в пищевых продуктах [12]. Применение магнитных наносорбентов для МТФД является одним из современных трендов концентрирования [12]: существенно упрощается извлечение сорбента из матрицы, а также процедура выделения аналита, сокращается время пробоподготовки. Вместо вспомогательных колонок можно использовать магнитную сепарацию [13].
Метод МТФД позволяет проводить процедуру извлечения аналита за короткий промежуток времени в объектах сложного состава: пищевые продукты, биологические объекты, лекарственные препараты (табл. 1).
Таблица 1. Применение матричного твердофазного диспергирования для концентрирования аналитов из различных объектов
Аналиты | Объект анализа | Сорбент | Условия концентрирования | R, % | Литература |
20 лекарственных веществ (фторхинолины, тетрациклины и сульфаниламиды) | Образцы свинины | Молекулярно импринтированные полимеры | moб = 0.2 г, mc=0.15 г, t = 3 мин | 74.5–102.7 | [3] |
Камптотецин | Плоды, кора и листья Camptothecaacuminate | Молекулярноимпринтированные полимеры | moб = 0.1 г, mc = 0.1 г, t = 5 мин | 96.1–103.3 | [4] |
Акриламид | Печенье и хлеб | Композиты на основе молекулярно импринтированных полимеров и силикагеля | moб = 0.1г, mc= 0.15 г | 83.7–99.3 | [5] |
6 фенольных кислот | Растительный препарат Danshen Tablets | Графеновые нанопластинки | moб = 24 мг, mc= 24 мг, t = 1 мин | 82.3 – 98.3 | [6] |
Полиметоксилированные флавоноиды | Листья Murrayapanaculata (L.) Jack | Диоксид кремния, инкапсулированный в графен | moб = 25 мг, mc=50 мг, t =3 мин | 92.6–102.3 | [7] |
Неорганический йод и йодированные аминокислоты | Морские водоросли | Молекулярное сито (SBA-15) с ионной жидкостью | moб = 50 мг, mc= 50 мг, t = 30 с | 86.5–95.4 | [8] |
Природные фенолы | Плоды оливы (Canariumalbum L.) | Хитозан | moб = 50 мг, mc= 25 мг, t = 1 мин | 80.1–113.0 | [9] |
5 фенолов | Лекарство Rubi Fructus | Al-SBA-15 | moб/mc= 1:3, t = 180 с | 98–102 | [10] |
30 пестицидов | Салат, огурец, морковь, томат, перец, лук-шалот, капуста | Наночастицы Fe3O4 | moб = 50 мг, mc= 50мг, t = 0.5 мин | 71.0–110.8 | [11] |
Парабены | Молоко | Магнитный оксид графена, покрытый поли(индолтиофеном) | mc= 50 мг, t = 3 мин | 83–92 | [14] |
Примечание: t – время диспергирования, mc – масса сорбента, moб – масса объекта анализа.
Материалы на основе графена и его производных являются эффективными сорбентами [15]. Простейшим способом функционализации графена является образование на его поверхности полярных групп (–СООН, –СОО, –ОН). Функционализация достигается окислением графитового порошка и других родственных материалов до оксида графена (ОГ) [16]. Функционализация ОГ ионными жидкостями (ИЖ) позволяет получить экологически чистый адсорбент с большой удельной площадью поверхности за счет изменения функциональных групп на поверхности магнитного ОГ [17].
Бисфенол А (БФА) – многотоннажный химический продукт, наиболее широко применяемый в производстве поликарбонатных полимеров [18]. БФА также широко используется при производстве контейнеров для пищевых продуктов и напитков, посуды, водопроводных труб [19], бумаги [20]. Для человека БФА считается относительно малотоксичным, однако вызывает в организме побочные эффекты, связанные с эстрогенной активностью [21, 22]. Значительно большую опасность БФА представляет для водной биоты [23]. Установлено, что БФА аккумулируется в донных отложениях (ДО) [24]. Для концентрирования и определения БФА в ДО или почвах используют экстракцию в аппарате Сокслета [25], жидкостную экстракцию под давлением [26], твердофазную экстракцию с использованием обращенных фаз [27]. Для определения БФА обычно применяют метод газовой хроматографии-масс-спектрометрии (ГХ-МС) с предварительной дериватизацией путем ацетилирования или силилирования [28].
Цель настоящей работы – оценить эффективность применения композитного магнитного материала, состоящего из ОГ, НЧ магнетита и ИЖ для МТФД БФА из ДО и частично автоматизировать некоторые этапы концентрирования для повышения воспроизводимости результатов анализа.
ЭКСПЕРИМЕНТАЛЬНАЯ ЧАСТЬ
Приборы и реактивы. Для синтеза ОГ применяли графитовый порошок (ГП) ос. ч. (8-4, ГОСТ 23463-79, Россия), H2SO4 ч. д. а. (Экос-1, Россия), KMnO4 ч. д. а (Ленреактив, Россия) и Н2О2 ч. д. а (Ленреактив, Россия). Для получения сорбента применяли N-гидроксисульфосукцинимид, ГСС (Sigma-Aldrich, США) и 1-этил-3-(3-диметиламино пропил)карбодиимид, ЭДК (Sigma-Aldrich, США), диметилформамид х. ч. (Ленреактив, Россия). Для очистки матрицы применяли н-гептан х. ч. для хроматографии (Ленреактив, Россия). Аналиты десорбировали метанолом для газовой хроматографии, 99.9% чистого вещества (Химмед, Россия). В качестве исходных продуктов для синтеза ИЖ применяли N-бутилимидазол, 97% чистого вещества (Hangzhou Jhechem, Китай) и диметилкарбонат (Кемикал лайн, Россия). Пробы ДО измельчали на шаровой мельнице Retsch РМ 200 (Retsch, Германия). Синтеза ИЖ проводили на масляной бане 5-drops 11D (5-drops, Россия). В качестве объекта исследования использовали БФА с содержанием основного вещества 97% (Sisco Research Laboratories, Индия). Автоматизированная система для концентрирования включала многоканальный перистальтический насос BT600LC-S (Baoding Chuangrui Precision Pump Co., Китай), трехходовые и шестиходовой краны (EUDF-L10UW, Valko, Швейцария), перемещение магнитов выполняли сервоприводом Powerful Nylon Gear Servo Motor SG-5010 (Китай) с манипулятором, на который и прикрепляли магнит.
Синтез композитного сорбента для МТФД включал получение магнетита, функционализированного первоначально ОН-группами (Fe3O4@SiO2), а затем NH2-группами (Fe3O4@SiO2-NH2); получение ОГ и ИЖ; получение композита на основе Fe3O4 и ОГ и его модификацию ИЖ.
Приготовление оксида графена проводили путем окисления ГП серной кислотой в присутствии перманганата калия. Для этого к 5 г ГП добавляли 200 мл 96%-ной H2SO4 и 7 г KMnO4. Смесь в течение 3 ч интенсивно перемешивали со скоростью 1000 об/мин, а затем 10 суток по 12 ч при 80–100 об/мин. Добавляли 0.5 л 5%-ной H2SO4. Смесь термостатировали при 95–100°С, а затем в течение 2–3 ч температуру снижали до 55–60°С. Добавляли 20 мл 30%-ного Н2О2 и перемешивали 4 ч при 500 об/мин. Центрифугированием отделяли коричневый осадок и трёхкратно промывали его смесью 5%-ной H2SO4, 0.1 М HCl и Н2О2 (1 : 1 : 1, по объему) в течение 20 мин. Осадок промывали бидистиллированной водой до нейтральной реакции промывных вод и сушили в течение 10 ч при 40°С.
Получение Fe3O4@SiO2 и Fe3O4@SiO2-NH2. Для получения Fe3O4@SiO2 проводили функционализацию Fe3O4 с применением тетраэтилортосиликата (ТЭОС), затем модифицировали поверхность НЧ магнетита аминогруппами с использованием (3-аминопрропил)триэтоксисилана (АПТЭС). Синтез проводили аналогично [29].
Синтез 1-бутил-3-метилимидазола-2-карбоксилата (BuMeImCO2) [30, 31]. В трубку из кварцевого стекла с завинчивающимися крышками помещали 3 мл N-бутилимидазола (BuIm), 4.5 мл диметилкарбоната и 0.5 мл метанола. Трубку помещали в масляную баню, заполненную силиконовым маслом, выдерживали 12 ч при 125°С. Полученные кристаллы промывали метанолом и высушивали при комнатной температуре. Препарат содержал 85% ИЖ.
Получение сорбента. К 50 мг ОГ добавляли 50 мл воды и перемешивали в ультразвуковой ванне (5 ч, 22 кГц). К полученной взвеси добавляли по 500 мг ГСС и ЭДК и 50 мг Fe3O4@SiO2-NH2, перемешивали 2 ч при 45°С при постоянном воздействии ультразвуком. Получали композит ОГ-СО-NH-Fe3O4. Навеску (2 мг) ОГ-СО-NH-Fe3O4 помещали в 150 мл диметилформамида, интенсивно перемешивали, воздействовали ультразвуком (22 кГц), добавляли 0.3 г BuIm-CO2 и продолжали процедуру в течение 3 ч. Промывали полученную массу метанолом, затем 3 раза бидистиллированной водой порциями по 15 мл. Сушили под вакуумом 24 ч и получали темно-коричневый порошок магнитного композита на основе ОГ и ИЖ BuMeImCO2-ОГ-СО-NH-Fe3O4. Схема синтеза представлена на рис. 1.
Рис. 1. Схема синтеза сорбента BuImCO2-ОГ-СО-NH-Fe3O4: получение наночастиц Fe3O4 (I); модификация поверхности ОН-группами (II) и NH2-группами (III); окисление графита (IV) до оксида графена (V); модификация ГСС (VI) и ЭДК с получением ОГ-СО-NH-Fe3O4 (VII); получение BuImCO2 (IX) по реакции BuIm (VIII) c диметилкарбонатом; получение BuMeImCO2-ОГ-СО-NH-Fe3O4 (Х) при взаимодействии ОГ-СО-NH-Fe3O4 и BuImCO2.
Методика матричного твердофазного диспергирования. Для анализа отбирали 5 г ДО, предварительно высушенных до воздушно-сухого состояния. Измельчали в планетарной шаровой мельнице с шарами из оксида циркония в течение 30 мин до консистенции пудры. Средний размер частиц полученного порошка составлял 0.7–1.0 мкм. К порошку добавляли 0.5 г сорбента BuImCO2-ОГ-СО-NH-Fe3O4 и снова измельчали в шаровой мельнице в течение 5 мин. Полученный порошок извлекали и переносили в сосуд с 20 мл н-гептана, добавляли 0.1 г додецилсульфоната натрия, перемешивали мешалкой до получения устойчивой суспензии и переносили в емкость, соединенную с перистальтическим насосом.
Автоматизированная процедура концентрирования. Для концентрирования предложена автоматизированная система (рис. 2), состоящая из многоканального перистальтического насоса (ПН), двух колонок (К1 и К2 к которым подводятся и отводятся неодимовые магниты с помощью сервопривода с манипулятором. Все части системы соединены силиконовыми трубками с внутренним диаметром 1.8 мм. Управление потоками осуществляется посредством шестиходового крана (ШК) и трехходовых кранов (ТК1, ТК2). Позиции ШК при различных режимах работы представлены на рис 3. Воздух в систему подается компрессором (КР). Суспензия, полученная после обработки ДО в шаровой мельнице и перемешивания в н-гептане, подается через ШК в колонку К2, где магнитный сорбент извлекается из потока суспензии магнитами. Суспензия без магнитного сорбента отправляется на слив. Для десорбции БФА метанол (1 мл) из емкости через ШК направляется в колонку К1. Метанольный экстракт после десорбции упаривали до объема 0.1 мл в слабом токе азота и анализировали методом ГХ-МС. После десорбции сорбент в колонке промывали смесью ацетонитрил–метанол–вода (5 : 5 : 1, по объему), затем водой. После промывки неодимовые магниты отводились от колонки К2 и из компрессора (КР) подавали сжатый воздух. Регенерированный сорбент из колонки К2 направляли в съемную колонку К1, где он задерживался магнитным полем, создаваемым двумя магнитами. Колонку вынимали, извлекали сорбент для повторного использования.
Рис. 2. Автоматизированная система матричного твердофазного диспергирования.
Рис. 3. Положение шестиходового крана и направление потоков при работе автоматизированной системы для матричного твердофазного диспергирования (см. схему на рис. 2, оранжевый цвет – действующий поток, черный цвет – недействующий поток): (а) – пропускание суспензии через колонку К2; (б) – десорбция бисфенола А; (в) – промывка сорбента в колонке К2; (г) – продувка системы воздухом, транспортировка сорбента в колонку К1; (д) – промывка системы бидистиллированной водой.
Процедуру МТФД проводили также с сорбентами, являющимися промежуточными продуктами при синтезе BuMeImCO2-ОГ-СО-NH-Fe3O4. Ее осуществляли по аналогичной схеме, добавляя к измельченным ДО Fe3O4, Fe3O4@SiO2, Fe3O4@SiO2-NH2 и ОГ-СО-NH-Fe3O4 соответственно.
Эффективность метода МТФД оценивали по степеням извлечения и коэффициентам концентрирования EF [29], которые рассчитывали, как отношение концентрации БФА после упаривания метанольного концентрата к исходной концентрации БФА в ДО.
Определение бисфенола А в концентратах методом ГХ-МС проводили после дериватизации уксусным ангидридом способом, описанным в работе [32]. Упаренный метанольный экстракт инжектировали в узел ввода газового хроматографа. Хроматографическое разделение проводили на хроматографе Agilent 7890B GC System с масс-детектором Agilent 5977A MSD (Agilent Technologies, США) при следующих условиях: объем пробы: 1.0 мкл, деление потока: 30 : 1, неполярная колонка HP-5MS UI (30 м × 0.25 мм × 0.25 мкм), неподвижная фаза: (5% фенил)-метилполисилоксан, газ-носитель – гелий (1.0 мл/мин), температура узла ввода пробы: 280°С, температура источника ионов: 250°С, применялась электронная ионизация с энергией электронов 70 эВ и программирование температуры: стартовая температура – 90°С в течение 1 мин, далее ее поднимали со скоростью 3°С/мин до 150°С, 6°С/мин до 210°С и 10°С/мин до 280°С и удерживали 5 мин. Сканирование проводили по полному ионному току; диапазон масс m/z 213–270.
Апробация способа определения бисфенола А на модельных и реальных объектах. В качестве реальных объектов применяли ДО из фоновой зоны, защищенной от антропогенного воздействия (ДО из оз. Чистое, Воронежский биосферный заповедник). Донные отложения извлекали со дна с помощью ковша Ван-Вина (объем 0.5 л) и высушивали при комнатной температуре до воздушно-сухого состояния. В матрицу вводили раствор БФА в метаноле, перемешивали и выдерживали до испарения спирта.
В качестве реальных объектов использовали ДО в месте сброса левобережных и правобережных очистных сооружений г. Воронежа (р. Воронеж и р. Дон). Пробы отбирали ковшом Ван Вина (объем 0.5 л) с глубины 1.2–1.3 м в зонах с устойчивым ламинарным течением, исключающим значительное перемешивание и перемещение ДО.
РЕЗУЛЬТАТЫ И ИХ ОБСУЖДЕНИЕ
Частицы сорбента представляют собой сложный композит. Размер ядра, покрытого оболочкой (Fe3O4@SiO2-NH2), составляет в среднем 250 нм (рис. 4). На микрофотографии сорбента BuImCO2-ОГ-СО-NH-Fe3O4 видно, что ядра связаны с ОГ, который представлен в виде темных тяжей (рис. 4). Структура сорбента подтверждена методом ИК-спектроскопии с преобразованием Фурье (рис. 5). В ИК-спектре установлены колебания связей Fe–O (577 см–1), Si–O (1105 см–1), –С–О–С– (1278 см–1), –С=С– (1465 см–1), группы –С(О)–NH, за счет которой происходит присоединение к ОГ, (1632 см–1), связи C=О (1720 см–1) и NH2-группы (3422 см–1) [33, 34].
Рис. 4. Микрофотография композита BuMeImCO2-ОГ-СО-NH-Fe3O4.
Рис. 5. ИК-фурье спектры композита BuMeImCO2-ОГ-СО-NH-Fe3O4.
Дифрактограмма образца BuImCO2-ОГ-СО-NH-Fe3O4 (рис. 6) содержит пики магнетита (2θ 30.38°, 35.58°, 44.14°, 53.48°, 57.08° и 62.66°), соответствующие значениям интенсивностей (211), (311), (400), (422), (511) и (440), а также широкие пики при 2θ 20–29°, которые характерны для аморфного кремния вокруг НЧ Fe3O4 [34]. Пики ОГ (2θ 10.21° и 43.05°) соответствуют интенсивностям (001) и (100) [35]. Намагниченность насыщения сорбента – 34 э.м.е./г (рис. 7).
Рис. 6. Дифрактограмма композита BuMeImCO2-ОГ-СО-NH-Fe3O4.
Рис. 7. Кривые намагниченности Fe3O4 (1) и композита BuMeImCO2-ОГ-СО-NH-Fe3O4 (2).
При синтезе сорбента для увеличения эффективности извлечения БФА применена более гидрофобная ИЖ по сравнению с описанной в работе [33]. ИЖ иммобилизована на сорбенте за счет ковалентных связей по механизму, предложенному в работе [36]. Для оценки эффективности применения сорбента BuImCO2-ОГ-СО-NH-Fe3O4 по аналогичному алгоритму проведена МТФД с каждой из составляющей композита – Fe3O4, Fe3O4@SiO2, Fe3O4@SiO2-NH2 и ОГ-СО-NH-Fe3O4 (рис. 8). При проведении МТФД установлено, что последовательное добавление каждой составляющей в структуру композита увеличивает степень извлечения БФА. Сорбция магнетитом обеспечивает извлечение 18% БФА. Эффективность извлечения резко увеличивается при функционализации сорбента SiO2 (модификация ОН-группами с получением Fe3O4@SiO2). Степень извлечения составляет 50%. При модификации поверхности NH2-группами (Fe3O4@SiO2-NH2) степень извлечения БФА составляет 52%. При сорбции БФА композитом ОГ-СО-NH-Fe3O4 степень извлечения возрастает до 74%. Модификация сорбента BuIm-CO2 с получением композита BuMeImCO2-ОГ-СО-NH-Fe3O4 обеспечивает ≈ 94%-ное излечение.
Рис. 8. Эффективность извлечения бисфенола А из донных отложений методом матричного твердофазного диспергирования с применением Fe3O4 (1), Fe3O4@SiO2 (2), Fe3O4@SiO2-NH2 (3), GO-СО-NH-Fe3O4 (4), BuMeImCO2-GO-СО-NH-Fe3O4 (5).
Основной стадией, вносящей значительную погрешность в извлечение и, соответственно, в определение БФА является перетирание в агатовой ступке, которое проводится вручную. Поскольку донные отложения характеризуются различной структурой (с преобладанием минеральной части или со значительной долей биогенной составляющей), то их измельчение и перетирание в агатовой ступке с сорбентом часто требует больших усилий. Это приводит к ухудшению воспроизводимости результатов эксперимента. Для уменьшения погрешности и повышения воспроизводимости результатов определения перетирание проводили с применением шаровой мельницы, которая в автоматическом режиме обеспечивает максимальное единообразие условий перемешивания сорбента и пробы.
Для нивелирования матричных эффектов применяли промывание сорбента н-гептаном. В нем растворяются практически все гидрофобные примеси (жиры, масла, нефтепродукты и продукты их окисления), которые составляют основу загрязнения ДО и существенно усложняют процедуру пробоготовки [37]. БФА практически нерастворим в н-гептане. Многие техногенные фенолы (в том числе хлорфенолы, алкилфенолы) умеренно или хорошо растворимы в н-гептане, поэтому в значительной степени или практически полностью извлекаются им из матрицы. Хроматограммы реальных образцов (рис. 9) содержат небольшое количество побочных пиков малой интенсивности, которые не мешают определению БФА в сильно загрязненной матрице донных отложений. Промывание пробы н-гептаном приводит к полному или практически полному удалению большинства гидрофобных веществ, которые характеризуются высоким сродством к матрице ДО.
Рис. 9. Хроматограмма образца донных отложений (цифрой 1 обозначен пик бисфенола А).
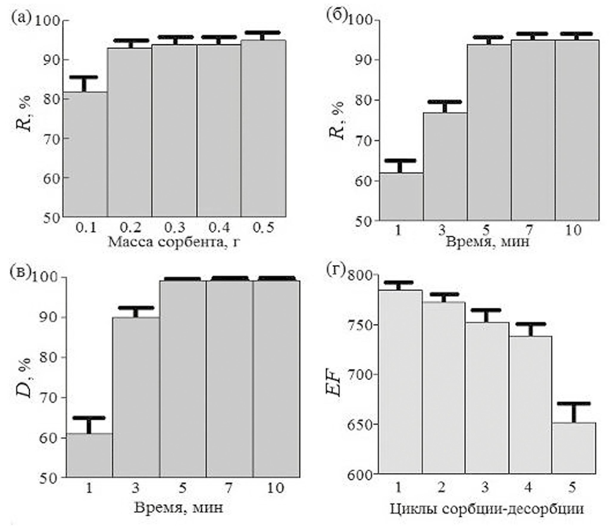
Выбор условий концентрирования с применением МТФД состоял в установлении необходимой массы сорбента, продолжительности перетирания в шаровой мельнице и десорбции метанолом. Изучена также возможность использования сорбента при нескольких циклах сорбции-десорбции.
Установлено, что масса сорбента 0.5 г обеспечивает степень извлечения БФА на уровне 94% (рис. 10а). Необходимое время перетирания сорбента в шаровой мельнице с измельченными ДО (время достижения равновесия) составляет 5 мин (рис. 10б). При десорбции БФА метанолом с магнитного сорбента практически полная десорбция (D, %) достигается за 5 мин (рис. 10в).
Рис. 10. Обоснование выбора условий концентрирования бисфенола А при применении матричного твердофазного диспергирования: выбор массы сорбента (а), установление времени перетирания в шаровой мельнице (б) и времени десорбции (в), установление возможности повторного использования сорбента – количества циклов сорбции-десорбции (г).
По коэффициентам EF оценена способность к регенерации сорбента. BuMeImCO2-ОГ-СО-NH-Fe3O4 выдерживает четыре цикла сорбции-десорбции без существенной потери сорбционной емкости (рис. 10г). За четыре цикла коэффициенты EF снижаются на 4.5%. На пятом цикле сорбции-десорбции происходит снижение EF на 15%. Основное влияние на снижение сорбционной емкости оказывают металлорганические соединения (особенно соединения ртути – метилртуть, этилртуть, фенилртуть и др.), которые также эффективно сорбируются гуматами в условиях МТФД (идентифицированы на хроматограмме после десорбции). При этом их десорбция в условиях эксперимента, вероятно, протекает в незначительной степени и вызывает постепенное накопление металлорганических соединений в сорбенте.
Частичная автоматизация процедуры МТФД, включающая магнитную сепарацию, десорбцию и регенерацию сорбента, позволяет упростить процессы отделения матрицы от сорбента, улучшить воспроизводимость каждой из стадий пробоподготовки. Совместное внедрение магнитной сепарации и автоматизации отдельных этапов МТФД позволило исключить перенос сорбента в колонку и его упаковку в ней, применение вспомогательных колонок и сорбентов, что привело к значительному сокращению времени получения концентрата, улучшению метрологических характеристик каждого этапа по сравнению с классическим вариантом МТФД.
Пределы определения и обнаружения БФА при анализе модельных образцов составляют 0.3 и 0.08 мкг/кг соответственно, интервал линейности градуировочного графика (r2 = 0.994) 0.3–12 мкг/кг (табл. 2). При анализе проб донных отложений, отобранных в 2023 году у левобережных и правобережных очистных сооружений г. Воронежа, установлены приблизительно одинаковые уровни загрязненности в обеих точках без выраженных сезонных колебаний. Максимальное содержание БФА в ДО (табл. 3) установлено около места сброса левобережных очистных сооружений 6.52 мкг/кг, минимальное содержание – у правобережных очистных сооружений (3.83 мкг/кг). Полученные результаты соответствуют ранее полученным с использованием для концентрирования БФА сорбентов на основе молекулярно импринтированных полимеров [38].
Таблица 2. Результаты определения бисфенола А в модельных образцах донных отложений (n = 3, P = 0.95)
Введено, мкг/кг | Найдено, мкг/кг | sr, % |
0.5 | 0.39 ± 0.15 | 14.5 |
1.0 | 0.91 ± 0.25 | 11.3 |
2.0 | 1.94 ± 0.28 | 5.8 |
5.0 | 5.07 ± 0.51 | 4.0 |
10.0 | 10.5 ± 0.8 | 2.8 |
Таблица 3. Результаты определения бисфенола А в реальных объектах (n = 3, P = 0.95)
Место отбора проб | Дата отбора проб | Найдено БФА, мкг/кг | sr, % | Дата отбора проб | Найдено БФА, мкг/кг | sr, % |
Воронежское водохранилище (150 м от сброса левобережных очистных сооружений) координаты 51º39’29”N, 39º13’38”E | 12.03.2023 г. | 3.89 ± 0.45 | 4.5 | 08.09.2023 г. | 3.95 ± 0.45 | 4.5 |
15.05.2023 г. | 4.99 ± 0.50 | 4.0 | 12.11.2023 г. | 6.52 ± 0.58 | 3.5 | |
р. Дон (320 м от сброса правобережных очистных сооружений) координаты 51º39’44”N, 39º04’15”E | 16.03.2023 г. | 3.83 ± 0.51 | 4.6 | 18.09.2023 г. | 4.38 ± 0.51 | 4.7 |
15.06.2023 г. | 5.78 ± 0.54 | 3.7 | 29.10.2023 г. | 5.82 ± 0.63 | 3.8 |
* * *
Композит на основе НЧ Fe3O4, ОГ и 1-бутил-3-метилимидазолия-2-карбоксилата применен в качестве сорбента для извлечения БФА из ДО методом МТФД. Степень извлечения БФА составила 94% при однократной сорбции. Для снижения матричных эффектов применена очистка пробы н-гептаном. Совместное внедрение магнитной сепарации и автоматизации отдельных этапов МТФД позволило сократить продолжительность и количество этапов МТФД, а также продолжительность пробоподготовки. Сочетание МТФД и ГХ-МС успешно применено для определения БФА в ДО. Предел определения БФА новым способом составляет 0.1 мкг/кг.
ФИНАНСИРОВАНИЕ РАБОТЫ
Данная работа финансировалась за счет средств бюджета ФГБОУ ВО “Воронежский государственный университет инженерных технологий”. Никаких дополнительных грантов на проведение или руководство данным конкретным исследованием получено не было.
КОНФЛИКТ ИНТЕРЕСОВ
Авторы данной работы заявляют, что у них нет конфликта интересов.
About the authors
A. S. Gubin
Voronezh State University of Engineering Technologies
Author for correspondence.
Email: goubinne@mail.ru
Russian Federation, Revolution Ave., 19, Voronezh, 394036
P. T. Sukhanov
Voronezh State University of Engineering Technologies
Email: goubinne@mail.ru
Russian Federation, Revolution Ave., 19, Voronezh, 394036
A. A. Kushnir
Voronezh State University of Engineering Technologies
Email: goubinne@mail.ru
Russian Federation, Revolution Ave., 19, Voronezh, 394036
References
- Barker S.A., Long A.R., Short C.R. Isolation of drug residues from tissues by solid phase dispersion // J. Chromatogr. 1989. V. 475. P. 353. https://doi.org/10.1016/s0021-9673(01)89689-8
- Barker S.A. Matrix solid phase dispersion (MSPD) // J. Biochem. Biophys. Methods. 2007. V. 70. № 2. P. 151. https://doi.org/10.1016/j.jbbm.2006.06.005
- Wang G.N., Zhang L., Song Y.P., Liu J.X., Wang J.P. Application of molecularly imprinted polymer based matrix solid phase dispersion for determination of fluoroquinolones, tetracyclines and sulfonamides in meat // J. Chromatogr. B. 2017. V. 1065. P. 104. https://doi.org/10.1016/j.jchromb.2017.09.034
- Liu H., Hong Y., Chen L. Molecularly imprinted polymers coated on carbon nanotubes for matrix solid phase dispersion extraction of camptothecin from Camptotheca acuminate // Anal. Methods. 2015. V. 7. P. 8100. https://doi.org/10.1039/C5AY01721A
- Arabi M., Ghaedi M., Ostovan A. Development of dummy molecularly imprinted based on functionalized silica nanoparticles for determination of acrylamide in processed food by matrix solid phase dispersion // Food Chem. 2016. V. 210. P. 78. https://doi.org/10.1016/j.foodchem.2016.04.080
- Peng L.Q., Yi L., Yang Q.C., Cao J., Du L.J., Zhang Q.D. Graphene nanoplatelets based matrix solid-phase dispersion microextraction for phenolic acids by ultrahigh performance liquid chromatography with electrochemical detection // Sci. Rep. 2017. V. 7. P. 7496. https://doi.org/10.1038/s41598-017-07840-2
- Sun T., Li X., Yang J., Li L., Jin Y., Shi X. Graphene-encapsulated silica as matrix solid-phase dispersion extraction sorbents for the analysis of poly-methoxylated flavonoids in the leaves of Murraya panaculata (L.) Jack // J. Sep. Sci. 2015. V. 38. P. 2132. https://doi.org/10.1002/jssc.201500002
- Cao J., Peng L.Q., Xu J.J., Du L.J., Zhang Q.D. Simultaneous microextraction of inorganic iodine and iodinated amino acids by miniaturized matrix solid-phase dispersion with molecular sieves and ionic liquids // J. Chromatogr. A. 2016. V. 1477. P. 1. https://doi.org/10.1016/j.chroma.2016.11.053
- Peng L.Q., Li Q., Chang Y.X., An M., Yang R., Tan Z., Hao J., Cao J., Xu J.J., Hu S.S. Determination of natural phenols in olive fruits by chitosan assisted matrix solid-phase dispersion microextraction and ultrahigh performance liquid chromatography with quadrupole time-of-flight tandem mass spectrometry // J. Chromatogr. A. 2016. V. 1456. P. 68. https://doi.org/10.1016/j.chroma.2016.06.011
- Yan C, Zhang Y, Du K., Guo J., He J., Li J., Chang Y. A ball mill-assisted vortex-enhanced matrix solid-phase dispersion method for the extraction and determination of five phenolic compounds from Rubi Fructus by high-performance liquid chromatography // Sep. Sci. Plus. 2021. V. 4. P. 211. https://doi.org/10.1002/sscp.202000110
- Jin L., Chunhong J., Xiaoliang L., Xuesheng L., Haiyan W., Dongqiang Z. Fe3O4 nanoparticles as matrix solid-phase dispersion extraction adsorbents for the analysis of thirty pesticides in vegetables by ultrahigh-performance liquid chromatography-tandem mass spectrometry // J. Chromatogr. B. 2021. V. 1165. Article 122532. https://doi.org/10.1016/j.jchromb.2021.122532
- Tu X., Chen W. A review on the recent progress in matrix solid phase dispersion // Molecules. 2018. V. 23. № 11. Article 2767. https://doi.org/10.3390/molecules23112767
- Yu X., Yang H.S. Pyrethroid residue determination in organic and conventional vegetables using liquid-solid extraction coupled with magnetic solid phase extraction based on polystyrene-coated magnetic nanoparticles // Food Chem. 2017. V. 217. P. 303. https://doi.org/10.1016/j.foodchem.2016.08.115
- Fotouhi M., Seidi S., Shanehsaz M., Naseri M.T. Magnetically assisted matrix solid phase dispersion for extraction of parabens from breast milks // J. Chromatogr. A. 2017. V. 1504. P. 17. https://doi.org/10.1016/j.chroma.2017.05.009
- Fraga T., Carvalho M., Ghislandi M., Motta M. Functionalized graphene-based materials as innovative adsorbents of organic pollutants: a concise overview // Braz. J. Chem. Engin. 2019. V. 36. P. 1. https://doi.org/10.1590/0104-6632.20190361s20180283
- Wang J., Yu S., Zhao Y., Wang X., Wen T., Yang T., Ai Y., Chen Y., Hayat T., Alsaedi A., Wang X. Experimental and theoretical studies of ZnO and MgO for the rapid coagulation of graphene oxide from aqueous solutions // Sep. Purif. Technol. 2017. V. 184. P. 88. https://doi.org/10.1016/j. seppur.2017.03.058
- Gholami-Bonabi L., Ziaefar N., Sheikhloie H. Removal of phenol from aqueous solutions by magnetic oxide graphene nanoparticles modified with ionic liquids using the Taguchi optimization approach // Water Sci. Technol. 2020. V. 81. № 2. P. 228. https://doi.org/10.2166/wst.2020.082
- Halden R.U. Plastics and health risks // Ann. Rev. Public Health. 2010. V. 31. № 1. P. 179. https://doi.org/10.1146/annurev.publhealth.012809.103714
- Caballero-Casero N., Lunar L., Rubio S. Analytical methods for the determination of mixtures of bisphenols and derivatives in human and environmental exposure sources and biological fluids. A review // Anal. Chim. Acta. 2016. V. 908. P. 22. https://doi.org/10.1016/j.aca.2015.12.034
- Амосов А.С., Ульяновский Н.В., Косяков Д.С. Одновременное определение антрахинона и бисфенола А в целлюлозно-бумажной продукции методом высокоэффективной жидкостной хроматографии-тандемной масс-спектрометрии // Журн. аналит. химии. 2019. Т. 74. № 11. С. 810. (Amosov A.S., Ul’yanovskii N.V., Kosyakov D.S. Simultaneous determination of anthraquinone and bisphenol a in pulp and paper products by high performance liquid chromatography‒tandem mass spectrometry // J. Anal. Chem. 2019. V. 74. P. 1089.) https://doi.org/10.1134/S1061934819110029
- Ma Y., Liu H., Wu J., Yuan L., Wang Y., Du X., Wang R., Marwa P.W., Petlulu P., Chen X., Zhang H. The adverse health effects of bisphenol A and related toxicity mechanisms // Environ. Res. 2019. V. 176. Article 108575. https://doi.org/10.1016/j.envres.2019.108575
- Ghahremani M.-H., Ghazi-Khansari M., Farsi Z., Yazdanfar N., Jahanbakhsh M., Sadighara P. Bisphenol A in dairy products, amount, potential risks, and the various analytical methods, a systematic review // Food Chem: X. 2024. V. 21. Article 101142. https://doi.org/10.1016/j.fochx.2024.101142
- Farahin Mohd Ali N., Sajid M., Ibrahim Thani Abd Halim W., Husaini Mohamed A., Nadhirah Mohamad Zain N., Kamaruzaman S., Suhaila Mohamad Hanapi N., Nazihah Wan Ibrahim W., Yahaya N. Recent advances in solid phase extraction methods for the determination of bisphenol A and its analogues in environmental matrices: An updated review // Microchem. J. 2023. V. 184. Article 108158. https://doi.org/10.1016/j.microc.2022.108158
- Xu X., Wang Y., Li X. Sorption behavior of bisphenol A on marine sediments // J. Environ. Sci. Health A. 2008. V. 43. № 3. P. 239. https://doi.org/10.1080/10934520701792696
- Song M.Y., Xu Y., Jiang Q.T., Lam P.K. S., O’Toole D.K., Giesy J.P., Jiang G.B. Measurement of estrogenic activity in sediments from Haihe and Dagu River China // Environ. Int. 2006. V. 32. № 5. P. 676. https://doi.org/10.1016/j.envint.2006.03.002
- Dorival-Garcia N., Zafra-Gomez A., Navalon A., Vilchez J.L. Analysis of bisphenol A and its chlorinated derivatives in sewage sludge samples. Comparison of the efficiency of three extraction techniques // J. Chromatogr. A. 2012. V. 1253. P. 1. https://doi.org/10.1016/j.chroma.2012.06.079
- Xu J., Wu L., Chen W., Chang A.C. Simultaneous determination of pharmaceuticals, endocrine disrupting compounds and hormone in soils by gas chromatography-mass spectrometry // J. Chromatogr. A. 2008. V. 1202. № 2. P. 189. https://doi.org/10.1016/j.chroma.2008.07.001
- Caballero-Casero N., Lunar L., Rubio S. Analytical methods for the determination of mixtures of bisphenols and derivatives in human and environmental exposure sources and biological fluids. A review // Anal. Chim. Acta. 2016. V. 908. P. 22. https://doi.org/10.1016/j.aca.2015.12.034
- Gubin A.S., Sukhanov P.T., Kushnir A.A., Shikhaliev K.S., Potapov M.A., Kovaleva E.N. Ionic-liquid-modified magnetite nanoparticles for MSPE-GC-MS determination of 2,4-D butyl ester and its metabolites in water, soil, and bottom sediments // Environ. Nanotechnol. Monit. Manag. 2022. V. 17. Article 100652. https://doi.org/10.1016/j.enmm.2022.100652
- Voutchkova A.M., Feliz M., Clot E., Eisenstein O., Crabtree R.H. Imidazolium Carboxylates as versatile and selective n-heterocyclic carbene transfer agents: synthesis, mechanism, and applications // J. Am. Chem. Soc. 2007. V. 129. № 42. P. 12834. https://doi.org/10.1021/ja0742885
- Holbrey J.D., Reichert W.M., Tkatchenko I., Bouajila E., Walter O., Tommasi I., Rogers R.D. 1,3-Dimethylimidazolium-2-carboxylate: the unexpected synthesis of an ionic liquid precursor and carbene-CO2 adduct // Chem. Commun. 2002. V. 1. P. 28. https://doi.org/10.1039/b211519k
- Губин А.С., Суханов П.Т., Кушнир А.А. Применение магнитного сорбента на основе сверхсшитого полистирола в сочетании с газовой хроматографией-масс-спектрометрией для определения хлорфенолов в рыбе пресноводного водоема // Журн. аналит. химии. 2023. Т. 78. № 5. С. 427. (Gubin A.S., Sukhanov P.T. Kushnir A.A. Using a magnetic sorbent based on hypercrosslinked polystyrene in combination with gas chromatography–mass spectrometry for the determination of chlorophenols in freshwater fish // J. Anal. Chem. 2023. V. 78. P. 582.) https://doi.org/10.1134/S1061934823050064
- Cai M.Q., Su J., Hu J.Q., Wang Q., Dong C.Y., Pan S.D., Jin M.C. Planar graphene oxide-based magnetic ionic liquid nanomaterial for extraction of chlorophenols from environmental water samples coupled with liquid chromatography-tandem mass spectrometry // J. Chromatogr. A. 2016. V. 1459. P. 38. https://doi.org/10.1016/j.chroma.2016.06.086
- Gubin A.S., Sukhanov P.T., Kushnir A.A. Magnetic sorbent modified by humate for the extraction of alkylphenols, bisphenol A and estradiol // Mendeleev Commun. 2023. V. 33. № 2. P. 285. https://doi.org/10.1016/j.mencom.2023.02.044
- Sengupta I., Suddhapalli S., Pal S., Chakraborty S. Characterization of structural transformation of graphene oxide to reduced graphene oxide during thermal annealing // J. Mater. Res. 2020. V. 35. P. 1197. https://doi.org/10.1557/jmr.2020.55
- Jiang B., Yang K., Zhao Q., Wu Q., Liang Z., Zhang L., Peng X., Zhang Y. Hydrophilic immobilized trypsin reactor with magnetic graphene oxide as support for high efficient proteome digestion // J. Chromatogr. A. 2012. V. 1254. P. 8. https://doi.org/10.1016/j.chroma.2012.07.030
- Gubin A.S, Sukhanov P.T., Kushnir A.A., Shikhaliev Kh.S, Potapov M.A., Kovaleva E.N. Monitoring of phenols in natural waters and bottom sediments: Preconcentration on a magnetic sorbent, GC-MS analysis, and weather observations // Chemical Papers. 2021. V. 75. № 4. P. 1445. https://doi.org/10.1007/s11696-020-01398-6
- Губин А.С., Суханов П.Т., Кушнир А.А., Шихалиев Х.С., Потапов М.А. Применение магнитных сорбентов, модифицированных молекулярно импринтированными полимерами, для скрининга фенольных ксеноэстрогенов // Аналитика и контроль. 2023. Т. 27. № 1. С. 32. https://doi.org/10.15826/analitika.2023.27.1.003
Supplementary files












