Experimental and theoretical study of the manifestation of the main background single- harge arid ions ArM+ in the inductively coupled plasma mass spectrometry method
- Authors: Pupyshev A.A.1, Zaitseva P.V.1,2, Burylin M.Y.3, Abakumov A.G.3, Abakumov P.G.3
- 
							Affiliations: 
							- Ural Federal University
- Institute of Metallurgy, Ural Branch of Russian Academy of Sciences
- Kuban State University
 
- Issue: Vol 79, No 9 (2024)
- Pages: 988-998
- Section: ORIGINAL ARTICLES
- Submitted: 23.02.2025
- Accepted: 23.02.2025
- URL: https://journals.rcsi.science/0044-4502/article/view/281167
- DOI: https://doi.org/10.31857/S0044450224090046
- EDN: https://elibrary.ru/tiyect
- ID: 281167
Cite item
Full Text
Abstract
Single-charge background argid ions ArH+, ArN+, ArO+ and Ar2+ create very strong spectral interference in elemental and isotope analysis by inductively coupled plasma mass spectrometry (ICP-MS). The behavior of these basic background argid ions under ICP-MS conditions is experimentally investigated depending on the high-frequency plasma power and the velocity of the argon transporting stream. Theoretically, the behavior of these argid ions has been studied by thermodynamic modeling with varying plasma temperature and velocity of the transporting argon stream. The general patterns of changes in the intensity of the main background argid ions and the efficiency of their formation with varying operational parameters of inductively coupled plasma are noted. A good coincidence of the experimental and theoretical dependences obtained has been achieved.
Full Text
В масс-спектре аргоновой индуктивно связанной плазмы всегда присутствуют однозарядные аргидные ионы ArM+, которые могут быть образованы всеми элементами M Периодической системы. Аргидные ионы ArH+, ArC+, ArN+, ArO+ и Ar2+ (ArAr+), характерные для элементов M, входящих в состав воды, воздуха и рабочего газа плазмы, обязательно проявляются при анализе растворов методом масс-спектрометрии с индуктивно связанной плазмой (МС-ИСП). Данные фоновые ионы имеют очень высокую интенсивность в масс-спектрах индуктивно связанной плазмы (ИСП) и создают серьезные спектральные помехи определению ряда легких элементов при соотношении массы к заряду иона m/z > 36 (изотоп аргона с низшей атомной массой). Это обусловлено достаточно высокими, по сравнению с металлоаргидными ионами, значениями энергии связи атомов в таких ионах [1] и большими концентрациями фоновых элементов М в плазме разряда. Данную группу ионов принято обычно называть основными фоновыми однозарядными аргидными ионами. Кроме того, в масс-спектре ИСП могут одновременно наблюдаться дважды заряженные двухатомные аргидные ионы ArM2+ [1], которые мы, из-за ограниченности к настоящему времени экспериментальной и теоретической информации по таким ионам, пока не рассматриваем.
Любые полиатомные ионы образуются и наблюдаются в масс-спектрах при всех изотопных сочетаниях составляющих элементов в полном соответствии с естественной распространенностью изотопов [2]. Особенностью фоновых элементов H, C, N, O и Ar является то, что в их естественном изотопном составе присутствует основной изотоп, распространенность которого выше по крайней мере на два порядка и более, чем остальных изотопов данных элементов. Поэтому самые сильные спектральные помехи фоновых аргидных ионов в методе МС-ИСП проявляются в том случае, когда они образованы наиболее распространенными изотопами составляющих элементов. Поскольку эффективность образования полиатомных ионов определяется произведением естественных распространенностей составляющих частицу изотопов, то уровень спектральных помех фоновых аргидных ионов, образованных менее распространенными изотопами их элементов, резко снижается. Тем не менее при проведении высокочувствительных и высокоточных (особенно при изотопном анализе) аналитических работ методом МС-ИСП нужно проверять и при необходимости устранять или учитывать возможность проявления в масс-спектре фоновых аргидных ионов, образованных составляющими изотопами с низкой естественной распространенностью.
К фоновым однозарядным аргидным ионам ArM+ также относят ионы, образованные неметаллами М, входящими в состав наиболее распространенных кислот, используемых для подготовки проб в методе МС-ИСП: в первую очередь – N, F, S и Cl. Эти полиатомные ионы также имеют высокие значения энергии связи внутри частицы [1], но проявляются в масс-спектре с гораздо меньшей интенсивностью, чем основные фоновые аргидные ионы из-за более низкой концентрации неметаллов в плазме разряда. Данные фоновые аргидные ионы неметаллов равным образом создают сильные спектральные помехи в МС-ИСП.
Возможные проявления и уровень спектральных помех (эффективность образования) фоновых и металлоаргидных ионов ArM+ в МС-ИСП, влияние приборных и операционных параметров на их интенсивность, основные пути учета, снижения и устранения данных спектральных помех подробно обсуждены в обзоре [1]. На основе рассмотренных в статье [1] экспериментальных работ показано, что в условиях нормальной (“горячей”) ИСП для ионов ArH+, ArO+ и Ar2+ с ростом скорости транспортирующего потока аргона происходит увеличение или снижение интенсивности данных ионов, а также прохождение ее через максимум. Показано, что интенсивность фоновых аргидных ионов ArN+ и ArH+ в масс-спектре ИСП резко снижается в условиях низкотемпературной (“холодной”) плазмы. Эффективность образования фоновых основных аргидных ионов, оцениваемая по соотношению интенсивностей массовых пиков I(ArM+)/I(M+), обычно существенно превосходит эффективность образования металлоаргидных ионов.
В обзоре [1] отмечено, что весьма полезным для решения задач элементного и изотопного анализа методом МС-ИСП является дальнейшее экспериментальное изучение поведения аргидных ионов в зависимости от операционных параметров плазмы, а также теоретическое изучение этого вопроса с использованием метода термодинамического моделирования, существенно расширяющего возможности исследований. Решению этих вопросов для основных фоновых аргидных однозарядных ионов ArH+, ArN+, ArO+, Ar2+ (ArAr+) посвящен материал данной статьи. Теоретическое изучение образования в условиях ИСП аргидных ионов ArM+ углерода, серы, фтора и хлора пока невозможно из-за отсутствия в базах данных программных комплексов термодинамического моделирования необходимых комплектов термодинамических свойств данных ионов.
ЭКСПЕРИМЕНТАЛЬНОЕ ИЗУЧЕНИЕ ПОВЕДЕНИЯ ОСНОВНЫХ ФОНОВЫХ АРГИДНЫХ ИОНОВ ArM+ В УСЛОВИЯХ МАСС-СПЕКТРОМЕТРИИ С ИНДУКТИВНО СВЯЗАННОЙ ПЛАЗМОЙ
Оборудование и условия измерений. Эксперименты выполняли с применением квадрупольного прибора МС-ИСП iCAP RQ (Thermo Fisher Scientific, США) в режиме STD без применения ячейки столкновений. В качестве рабочего газа использовали аргон высокой чистоты (99.998%). Ввод фоновых и калибровочных (для учета дискриминации ионов по массе) растворов проб (0.3 мл/мин) осуществляли концентрическим распылителем MicroMist. Частичную десольватацию аэрозоля проводили в кварцевой циклонной распылительной камере c Пельтье-охлаждением (2.8oC). Интерфейс прибора состоял из сэмплера (Ni) с диаметром отверстия 1.1 мм, скиммера (Ni/Cu, 0.5 мм) и стандартной 3.5 мм скиммерной вставки (high matrix insert). Операционные параметры прибора приведены в табл. 1. Глубина пробоотбора плазмы во всех случаях была одинакова – 5 мм. Измерения осуществляли в режимах обзорного сканирования и “прыжков по пикам” при варьировании высокочастотной мощности плазмы и скорости транспортирующего потока аргона.
Таблица 1. Использованные в эксперименте операционные параметры прибора iCAP RQ
| Параметр | Значение | 
| Скорость транспортирующего потока аргона, VAr | Варьирование от 0.5 до 1.1 л/мин | 
| Скорость вспомогательного потока аргона | 0.80 л/мин | 
| Скорость охлаждающего потока аргона | 14 л/мин | 
| Мощность высокочастотного генератора, W | Варьирование от 800 до 1400 Вт | 
| Разрешение | 0.8 а.е.м. | 
| Режим работы детектора при измерении M+ и ArМ+ | Счетный и аналоговый | 
Материалы и реактивы. Все измерения для основных фоновых аргидных ионов выполняли на растворах, содержащих 1 мас.% HNO3 (PanReac AppliChem, США) в деионизованной воде с максимальным удельным сопротивлением 18.2 МΩ/см, полученной на установке для субдистилляции DuoPUR Subboiling Distilling System (Milestone, Италия).
Проведение эксперимента и результаты. Экспериментально поведение основных фоновых аргидных ионов изучали в условиях варьирования высокочастотной мощности индуктивно связанной плазмы W и скорости транспортирующего потока аргона VAr (табл. 1). Глубина пробоотбора плазмы во всех случаях была одинакова.
Измеренные интенсивности сигналов M+ и ArM+ корректировали с учетом возможных спектральных помех и эффекта дискриминации ионов по массе [3] прибором МС-ИСП. Калибровочные кривые дискриминации ионов по массе в области до 115 а.е.м. получали по пяти элементам с учетом рекомендаций [4] и аппроксимировали прямой линией для каждого сочетания высокочастотной мощности и транспортирующего потока аргона, изменяющих кинетическую энергию ионов в плазменном потоке. Здесь необходимо отметить, что поправка на эффект дискриминации ионов по массе для водорода 1H+ была максимально отягощена погрешностями измерения интенсивности его изотопа и, особенно, положением аппроксимирующей прямой калибровки чувствительности измерений в области самого малого значения m/z = 1. Это не позволило нам при обработке экспериментальных результатов получить однозначные температурные зависимости для отношения I(ArH+)/I(H+), где I(X+) – экспериментальная интенсивность пика иона X+, скорректированная на эффект дискриминации ионов по массе.
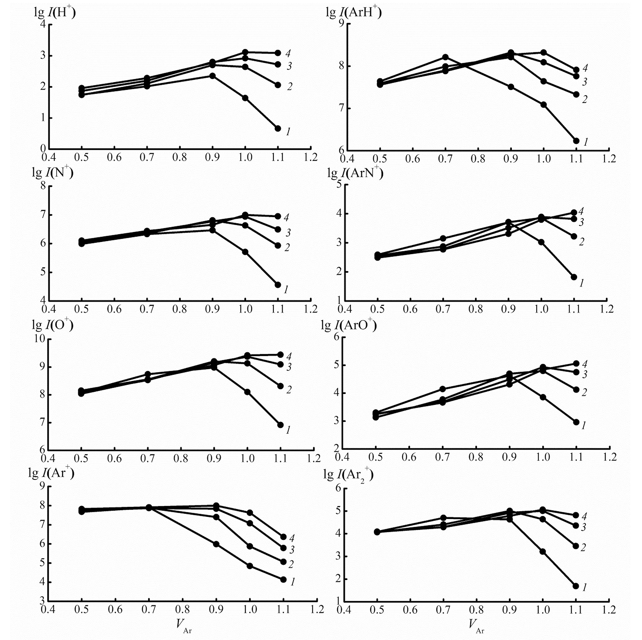
На рис. 1 приведены экспериментальные интенсивности основных фоновых ионов ИСП 1H+, 14N+, 16O+, 40Ar+ и их аргидных ионов 40Ar1H+, 40Ar14N+, 40A16O+, 40Ar2+ в зависимости от скорости транспортирующего потока аргона VAr и вкладываемой в разряд высокочастотной мощности W. При учете дискриминации ионов по массе интенсивности всех рассматриваемых ионов, кроме 1H+, нормировали на интенсивность m/z = 80 (Ar2+) (корректировка чувствительности измерений ионов с различными m/z).
Рис. 1. Экспериментальное изменение логарифмов интенсивности I(X+) (имп/с) основных фоновых ионов ИСП (скорректированные, кроме H+, на эффект дискриминации ионов по массе) в зависимости от скорости транспортирующего потока аргона VAr (л/мин) и высокочастотной мощности плазмы W, Вт: 1 – 800, 2 – 1000, 3 – 1200, 4 – 1400.
Зависимости для I(1H+) на рис. 1 в силу указанной выше причины представлены без учета коррекции интенсивности ионов 1H+ на эффект дискриминации ионов по массе. Тем не менее здесь необходимо отметить, что общий ход зависимостей для 1H+ от варьируемых операционных параметров на данном рисунке практически не отличается от хода зависимостей для других ионов, но имеется большое различие в значениях интенсивности ионного пика.
Из рис. 1 видно, что экспериментальная интенсивность основных фоновых элементных М+ и аргидных ионов ArM+ при малых транспортирующих потоках аргона до 0.7–0.9 л/мин практически одинакова для всех значений вкладываемой в разряд высокочастотной мощности и в общем случае повышается с увеличением скорости транспортирующего потока аргона. Затем интенсивность ионов достигает максимума при определенных значениях VAr, а далее резко снижается. Это соответствует снижению температуры ИСП с увеличением скорости транспортирующего потока аргона. Степень ослабления интенсивности фоновых ионов в случае высоких значений VAr возрастает при уменьшении вкладываемой в разряд высокочастотной мощности. Максимальная интенсивность фоновых пиков аргидных ионов повышается с ростом вкладываемой в разряд высокочастотной мощности, что соответствует возрастанию температуры ИСП. Общий ход зависимостей свидетельствуют о прямом и сильном влиянии температуры ИСП, а также ее аксиального распределения вдоль факела плазмы на интенсивность пиков фоновых ионов.
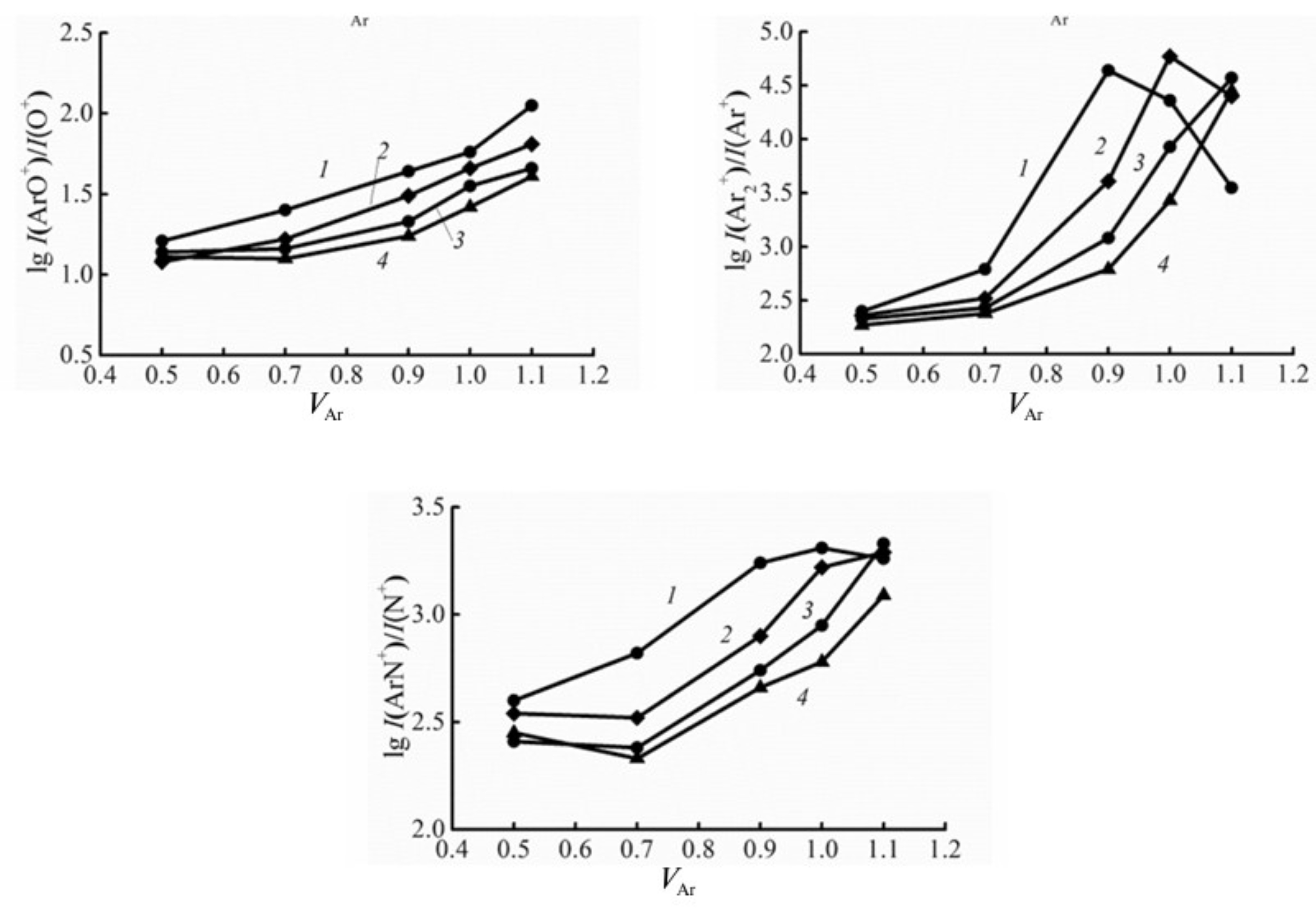
По скорректированным с учетом дискриминации ионов по массам интенсивностям рассчитали численные отношения интенсивностей массовых пиков I(ArM+)/I(M+) и, для удобства представления результатов [1], полученные значения пересчитали в ppm (реальное численное значение отношения сигналов ArM+/M+, умноженное на 106). На рис. 2 приведены зависимости эффективности образования основных фоновых аргидных ионов I(ArM+)/I(M+) для ArN+, ArO+ и Ar2+ от скорости транспортирующего потока аргона и вкладываемой в разряд высокочастотной мощности. Хорошо видно, что значения I(ArM+)/I(M+) возрастают с уменьшением вкладываемой в разряд высокочастотной мощности и ростом скорости транспортирующего потока аргона, т.е. с понижением температуры ИСП. Полученные нами диапазоны экспериментальных значений эффективности образования фоновых основных аргидных ионов I(ArM+)/I(M+) достаточно хорошо согласуются с опубликованными данными (табл. 2) и коррелируют с энергиями диссоциации соответствующих аргидных ионов [1]. Наблюдаемое поведение основных фоновых аргидных ионов (рис. 2) в зависимости от операционных условий анализа соответствует общим экспериментальным закономерностям, установленным в работе [1].
Рис. 2. Экспериментальное изменение логарифмов эффективности образования основных фоновых аргидных ионов ИСП I(ArM+)/I(M+) в зависимости от скорости транспортирующего потока аргона VAr (л/мин) и высокочастотной мощности плазмы, Вт: 1 – 800, 2 – 1000, 3 – 1200, 4 – 1400.
Таблица 2. Диапазоны опубликованных значений энергии диссоциации основных фоновых аргидных ионов D(ArM+), значения экспериментальных отношений ArM+/M+, приведенные в работах [5–7] (без учета дискриминации ионов по массе), а также полученные в наших эксперименте и расчете
| Аргидный ион ArM+ | D(ArM+), эВ [1] | ArM+/M+, ppm | ||
| опубликованные значения | наш эксперимент | наш расчет | ||
| ArH+ | 2.48–6.16 | 6.3 × 104–1.6 × 106 (оценка) | 3.1 × 103–2.5 × 104 | |
| ArC+ | 0.424–0.935 | * | * | |
| ArN+ | 1.21–2.29 | 2000–1000 | 250–1000 | |
| ArO+ | 0.312–0.68 | 12.6–112 | 100–158 | |
| ArF+ | 0.693–3.03 | 1000–3000 [5] | * | * | 
| ArS+ | 3.87 | 10–100 [5] | * | * | 
| ArCl+ | 1.75–2.2 | * | * | |
| Ar2+ | 0.068–1.85 | 3000 [6] | 200–4.0 × 104 | 63–200 | 
*Измерение и расчет в данной работе не проводили.
ТЕОРЕТИЧЕСКОЕ ИЗУЧЕНИЕ ПОВЕДЕНИЯ ОСНОВНЫХ ФОНОВЫХ АРГИДНЫХ ИОНОВ ArM+ В УСЛОВИЯХ МАСС-СПЕКТРОМЕТРИИ С ИНДУКТИВНО СВЯЗАННОЙ ПЛАЗМОЙ
Равновесное термодинамическое моделирование. Метод равновесного термодинамического моделирования позволяет изучать высокотемпературные термохимические процессы на основе анализа расчетов полного равновесного состава рассматриваемых термодинамических систем с учетом присутствия большинства возможных в равновесии индивидуальных веществ (для низкотемпературной плазмы – атомов, радикалов, молекул, атомных и молекулярных ионов, в том числе и аргидных) [8]). Для проведения расчетов необходимо иметь соответствующий программный комплекс, обширную базу термодинамических свойств индивидуальных веществ, сведения об исходном химическом составе системы, возможные значения температуры и давления в системе, а также надежный алгоритм расчетов, позволяющий применять равновесное моделирование к неравновесному спектральному источнику [2].
В данной работе расчеты равновесного состава ИСП выполняли с помощью программного комплекса TERRA [9, 10], базирующегося на принципе максимизации энтропии термодинамической системы и использующего обширный банк термодинамичеcких взаимосогласованных данных ИВТАНТЕРМО [11]. Для проведения наших расчетов в этот банк дополнительно были введены комплекты термодинамических свойств следующих индивидуальных веществ, информация о которых опубликована недавно: ArO и ArO+ [12], Ar2 и Ar2+ [13], ArN и ArN+ [14], ArH и ArH+ [15]. Полный набор индивидуальных веществ, учитываемых в выполненных расчетах равновесного состава плазмы, приведен в табл. 3.
Таблица 3. Учитываемые в расчетах равновесия в индуктивно связанной плазме индивидуальные газообразные вещества
| Нейтральные | Заряженные | 
| Ar, Ar2, ArH, ArN, ArO | Ar+, Ar2+, Ar++, ArH+, ArN+, ArO+ | 
| e- | |
| H, H2 | H+, H-, H2+, H3+ | 
| N, N2, N3, NH, NH2, NH3, N2H2, N2H4, HN3, NO, NO2, N2O, N2O3, N2O4, N2O5, HNO, HNO2, HNO3, NH3O, N2H2O2 | N+, N2+, NH+, NO+, NO2+, NO2-, NO3- | 
| O, O2, O3, OH, HO2, H2O, H2O2 | O+, O-, O2+, O2-, OH+, OH-, H2O+, HO2-, H3O+ | 
Наши расчеты базируются на равновесной термодинамической модели термохимических процессов в МС-ИСП, обобщенной в работе [2] по серии предшествующих публикаций. Основным доказанным положением модели является то, что состав плазмы, попадающей в отверстие сэмплера прибора, формируется только транспортирующим потоком аргона с аэрозолем пробы. Модель обеспечивает возможность вычисления при различной температуре полного равновесного химического состава плазмы, входящей в интерфейс МС-ИСП. Модель учитывает различия в исходном качественном и количественном составе термодинамических систем, реализуемых в ИСП: любые типы и расходы транспортирующего газа, растворителя, матричных, определяемых и сопутствующих элементов анализируемых образцов.
Таким образом, используя данную модель и указанные выше расчетные средства, можно получать информацию при каждой из заданных температур о полном равновесном составе ИСП, включая основные фоновые положительные ионы (H+, H2+, H3+, N+, NH+, O+, OH+, H2O+, H3O+, Ar++, N2+, NO+, O2+, Ar+, ArH+, NO2+, ArN+, ArO+ и Ar2+), находящиеся в равновесии с остальными компонентами плазмы. Это дает возможность рассчитать значения концентраций данных ионов и эффективности образования ArM+/M+ однозарядных аргидных ионов водорода, азота, кислорода и аргона в условиях варьирования температурного и химического состава плазмы. Затем, учитывая, что регистрируемый в масс-спектрометре ионный ток любого типа ионов, несущих элементарный заряд, пропорционален количеству его частиц, попавших после масс-анализатора на фотоэлектрический приемник, можно проводить прямое сопоставление экспериментальной скорости счета ионных импульсов (имп/с) с расчетными концентрациями ионов в плазме разряда (см–3).
В исходный состав расчетных динамических термодинамических систем, численно равный массовым потокам веществ [9], поступающих в плазменную горелку прибора МС-ИСП, вводили транспортирующий поток аргона VAr (1.0, 0.62 и 0.22 л/мин – в практике обычно используется диапазон VAr от 1.1 до 0.4 л/мин) и водного аэрозоля раствора (1 мл/мин), содержащего 1 мас.% HNO3. Эффективность распылительной аэрозольной системы в расчетах приняли равной 2%. Указанный выше исходный состав расчетных термодинамических систем, пересчитанный в массовые доли компонентов в термодинамической системе (условие ввода исходного состава в программу TERRA [9]), приведен в табл. 4.
Таблица 4. Исходный состав расчетных термодинамических систем
| Исходный компонент | Массовая доля в системе | 
| Ar | 0.4, 1.1, 1.78 | 
| H2O | 0.02 (с учетом эффективности распылительной системы) | 
| HNO3 | 1 × 10–4 (с учетом эффективности распылительной системы) | 
Проведение расчетов и результаты. Расчеты равновесного состава основных фоновых нейтральных частиц и ионов ИСП выполняли в полном соответствии с условиями, изложенными в табл. 3 и 4. Расчеты проводили при давлении 0.1 МПа (плазма генерируется при атмосферном давлении) в диапазоне температур от 3500 до 9000 К с шагом 500 К, что охватывает температурный диапазон низкотемпературной (“холодной”) и нормальной (“горячей”) ИСП. По результатам расчетов получили зависимости равновесных концентраций всех индивидуальных нейтральных и ионизированных веществ (см–3, т.е. число частиц в единице объема), учитываемых в расчетах (табл. 3), и уровни содержания (эффективность образования) основных фоновых аргидных ионов ArM+/M+ от температуры плазмы и транспортирующего потока аргона. Это позволяет проводить прямое сопоставление расчетных концентрационных данных для ионов с экспериментально измеренной интенсивностью соответствующих ионных пиков, поскольку она соответствует суммарному числу индивидуально зарегистрированных детектором единичных зарядов от каждого иона.
На рис. 3 и 4 приведено расчетное изменение логарифмов концентрации (cм–3) нейтральных частиц n(X) и их фоновых ионов n(X+), включая аргонсодержащие, в ИСП в зависимости от температуры T (К) при расходах транспортирующего потока аргона VAr = 0.22 и 1.0 л/мин. Расчеты показали, что в составе ИСП во всем рассмотренном диапазоне температур основными компонентами являются нейтральные атомарные Ar, H, O и N (рис. 3a, в; 4a, в), поскольку степень их ионизации является достаточно низкой из-за высоких первых потенциалов ионизации данных атомов. Наблюдаемое на графиках небольшое снижение концентрации данных атомов с ростом температуры обусловлено преимущественно температурным расширением газов ИСП. Концентрации всех полиатомных нейтральных частиц, в том числе и аргонсодержащих (кроме ArN), снижаются с ростом температуры, что соответствует их температурной диссоциации. Только для частиц ArN в диапазоне температур 3500–5000 К прослеживается рост концентрации на порядок величины, достижение максимума, а затем ее снижение. Изменение скорости транспортирующего потока аргона в пять раз (от 0.22 до 1.0 л/мин) практически не изменяет все описанные зависимости.
Рис. 3. Расчетное изменение логарифмов концентрации (cм–3) основных фоновых нейтральных частиц n(X) и их ионов n(X+) в ИСП в зависимости от температуры T (К) при различных расходах транспортирующего потока аргона VAr, л/мин: (a), (б) – 0.22; (в), (г) – 1.0.
Рис. 4. Расчетное изменение логарифмов концентрации (cм–3) основных фоновых нейтральных аргонсодержащих частиц n(X) и их ионов n(X+) в ИСП в зависимости от температуры T(К) при различных расходах транспортирующего потока аргона VAr, л/мин: (a), (б) – 0.22; (в), (г) – 1.0.
Концентрации всех ионных аргонсодержащих частиц повышаются с ростом температуры ИСП (рис. 4б, г). При этом наиболее высокие содержания в плазме прогнозируются для ионов Ar+, ArH+, Ar2+ и ArO+. Концентрации атомных ионов H+, O+ и N+ также возрастают с ростом температуры и их содержание в ИСП определяется первым потенциалом ионизации атомов этих элементов и концентрациями данных элементов в исходном расчетном составе плазмы. Характер температурного поведения всех остальных полиатомных ионов практически одинаков (рис. 3б, г): повышение концентрации данных частиц до температур 3500–6000 К, достижение максимума и дальнейшее снижение. Изменение скорости транспортирующего потока аргона в пять раз практически не изменяет все описанные зависимости.
Рассчитанные по графикам рис. 4б, г температурные зависимости логарифмов эффективности образования основных фоновых аргидных ионов n(ArM+)/n(M+) в ИСП приведены на рис. 5 при расходах транспортирующего потока аргона VAr = 0.22 и 1.0 л/мин. Для всех рассмотренных четырех типов аргидных ионов наблюдается общий вид зависимостей: увеличение отношения n(ArM+)/n(M+) при понижении температуры плазмы. Это полностью соответствует нашим экспериментальным данным (рис. 2). Диапазон расчетных значений n(ArM+)/n(M+) для условий нормальной ИСП (6000–8000 К) приведен в табл. 2 (ppm). Видно, что он достаточно близко соответствует диапазону n(ArM+)/n(M+), полученному в нашем эксперименте и в экспериментах других авторов с различными операционными условиями анализа.
Рис. 5. Расчетное изменение логарифмов эффективности образования основных фоновых аргидных ионов n(ArM+)/n(M+) (ppm) в ИСП в зависимости от температуры T (К) при различных расходах транспортирующего потока аргона VAr, л/мин: (a) – 0.22; (б) – 1.0.
Сравнение энергий диссоциации основных фоновых аргидных ионов ArC+, ArF+, ArS+, ArCl+ и опубликованных экспериментальных сведений по эффективности образования этих аргидных ионов ArM+/M+ (табл. 2) с аналогичными показателями рассмотренных в работе ионов ArH+, ArN+, ArO+, Ar2+ позволяет считать, что отмеченные в данной работе закономерности распространяются на всю группу основных фоновых однозарядных аргидных ионов.
* * *
Экспериментально и теоретически изучено поведение основных фоновых однозарядных аргидных ионов ArH+, ArN+, ArO+ и Ar2+ в методе масс-спектрометрии с индуктивно связанной плазмой в зависимости от операционных условий анализа. Показано, что интенсивность данных ионов уменьшается при снижении температуры плазмы. Эффективность образования данных фоновых ионов, измеряемая отношением ArM+/M+, возрастает при уменьшении температуры плазмы. Изменение скорости транспортирующего потока аргона в обычно применяемых диапазонах не изменяет отмеченные зависимости. Получено достаточно хорошее совпадение наших экспериментальных и теоретических данных между собой, а также с опубликованными экспериментальными результатами других авторов. Это является дальнейшим подтверждением правильности термодинамической модели термохимических процессов для метода масс-спектрометрии с индуктивно связанной плазмой, ее применимостью для аналитических приложений метода. Кроме того, полученные результаты позволяют заключить, что основные фоновые аргидные ионы образуются непосредственно в индуктивно связанной плазме.
ФИНАНСИРОВАНИЕ РАБОТЫ
Данная работа финансировалась за счет средств бюджета Уральского федерального университета, Института металлургии Уральского отделения Российской академии наук и Кубанского государственного университета. Никаких дополнительных грантов на проведение или руководство данным конкретным исследованием получено не было.
Работа выполнена с использованием научного оборудования Центра коллективного пользования “Эколого-аналитический центр” Кубанского госуниверситета.
КОНФЛИКТ ИНТЕРЕСОВ
Авторы данной работы заявляют, что у них нет конфликта интересов.
About the authors
A. A. Pupyshev
Ural Federal University
							Author for correspondence.
							Email: pupyshev@gmail.com
				                					                																			                								
Department of Physical and Chemical Methods of Analysis, Institute of Physics and Technology
Russian Federation, Yekaterinburg, 620062P. V. Zaitseva
Ural Federal University; Institute of Metallurgy, Ural Branch of Russian Academy of Sciences
														Email: pupyshev@gmail.com
				                					                																			                								
Department of Physical and Chemical Methods of Analysis, Institute of Physics and Technology
Russian Federation, Yekaterinburg, 620062; Yekaterinburg, 620016M. Yu. Burylin
Kuban State University
														Email: pupyshev@gmail.com
				                					                																			                								
Analytical Chemistry Department, Faculty of Chemistry and High Technologies
Russian Federation, Krasnodar, 350040A. G. Abakumov
Kuban State University
														Email: pupyshev@gmail.com
				                					                																			                								
Analytical Chemistry Department, Faculty of Chemistry and High Technologies
Russian Federation, Krasnodar, 350040P. G. Abakumov
Kuban State University
														Email: pupyshev@gmail.com
				                					                																			                								
Analytical Chemistry Department, Faculty of Chemistry and High Technologies
Russian Federation, Krasnodar, 350040References
- Пупышев А.А. Однозарядные аргидные ионы ArM+ в методе масс-спектрометрии с индуктивно связанной плазмой. Обзор // Журн. аналит. химии. 2023. Т. 78. № 9. С. 783. https://doi.org/10.31857/S0044450223090116 (Pupyshev A.A. Singly charged argide ArM+ ions in inductively coupled plasma–mass spectrometry // J. Anal. Chem. 1998. V. 53. № 9. P. 783. https://doi.org/ 10.1134/S1061934823090113)
- Пупышев А.А., Суриков В.Т. Масс-спектрометрия с индуктивно связанной плазмой. Образование ионов. Екатеринбург: УрО РАН, 2006. 276 с.
- Пупышев А.А., Сермягин Б.А. Дискриминация ионов по массе при изотопном анализе в методе масс-спектрометрии с индуктивно связанной плазмой. Екатеринбург: ГОУ ВПО УГТУ-УПИ, 2006. 132 с.
- Houk R.S., Praphairaksit Narong. Dissociation of polyatomic ions in the inductively coupled plasma // Spectrochim. Acta B: Atom. Spectrosc. 2001. V. 56. P. 1069. https://doi.org/10.1016/S0584-8547(01)00236-1
- Becker J.S., Dietze H.-J. Investigations on cluster and molecular ion formation by plasma mass spectrometry // Fresenius J. Anal. Chem. 1997. V. 359. P. 338. https://doi.org/10.1007/s002160050583
- Becker J.S., Seifert G., Saprykin A.I., Dietze H.-J. Mass spectrometric and theoretical investigations into the formation of argon molecular ions in plasma mass spectrometry // J. Anal. Atom. Spectrom. 1996. V. 11. P. 643. https://doi.org/10.1039/JA9961100643
- Fang Liu. Building a database with background equivalent concentrations to predict spectral overlaps in ICP-MS. Diss. ... doctor of philosophy. Ohio, USA: The Ohio State University, 2017. 342 p.
- Белов Г. В. Термодинамическое моделирование: методы, алгоритмы, программы. М.: Научный мир, 2002. 184 с.
- Трусов Б.Г. TERRA. Программа термодинамического расчета состава фаз произвольных гетерогенных систем, а также их термодинамических и транспортных свойств. М.: МВТУ им. Н.Э. Баумана, 2005.
- Белов Г.В., Трусов Б.Г. Термодинамическое моделирование химически реагирующих систем. М.: МГТУ имени Н.Э. Баумана, 2013. 96 с.
- Belov G.V., Iorish V.S., Yungman V.S. IVTANTHERMO for Windows – database on thermodynamic properties and related software // Calphad. 1999. V. 23. № 2. P. 173. https://doi.org/10.1016/S0364-5916(99)00023-1
- Мальцев М.А., Морозов И.В., Осина Е.Л. Термодинамические функции ArO и ArO+ // Теплофизика высоких температур. 2020. Т. 58. № 2. С. 202. https://doi.org/10.31857/S0040364420020131 (Maltsev A., Morozov I.V., Osina E.L. Thermodynamic functions of ArO and ArO+ // High Temperature. 2020. V. 58. № 2. P. 184. https://doi.org/10.1134/S0018151X20020133)
- Мальцев М.А., Морозов И.В., Осина Е.Л. Термодинамические свойства димеров аргона и Ar2+ // Теплофизика высоких температур. 2019. Т. 57. № 1. С. 42. https://doi.org/10.1134/S0040364419010174 (Maltsev A., Morozov I.V., Osina E.L. Thermodynamic properties of Ar2+ and Ar2 argon dimers // High Temperature. 2019. V. 57. № 1. P. 37. https://doi.org/10.1134/S0018151X19010176)
- Maltcev M.A., Aksenova S.A., Morozov I.V., Minenkov Y., Osina E.L. Ab initio calculations of the interaction potentials and thermodynamic functions for ArN and ArN+ // J. Comput. Chem. 2023. V. 44. № 12. P. 1189. https://doi.org/10.1002/jcc.27078
- Мальцев М.А., Морозов И.В., Осина Е.Л. Термодинамические свойства ArH+ и ArH // Теплофизика высоких температур. 2019. Т. 57. № 3. С. 367. https://doi.org/10.1134/S0040364419020121 (Maltsev A., Morozov I.V., Osina E.L. Thermodynamic properties of ArH+ and ArH // High Temperature. 2019. V. 57. № 3. P. 335. https://doi.org/10.1134/S0018151X19020123)
Supplementary files
 
				
			 
					 
						 
						 
						 
						 
				 
									
 
  
  
  Email this article
			Email this article 





