Detecting trace amounts of peroxides and ammonium nitrate in fingerprints by ion mobility spectrometry
- Authors: Buryakov T.I.1, Buryakov I.A.1
-
Affiliations:
- Alexandrov Research Institute of Technology
- Issue: Vol 79, No 7 (2024)
- Pages: 772-781
- Section: Articles
- Submitted: 26.12.2024
- Accepted: 26.12.2024
- URL: https://journals.rcsi.science/0044-4502/article/view/274628
- DOI: https://doi.org/10.31857/S0044450224070093
- EDN: https://elibrary.ru/TNKCRB
- ID: 274628
Cite item
Full Text
Abstract
The effect of the sweat and grease deposits (SGD) from fingerprints on the detection efficiency of trace amounts of explosive substances—triacetone triperoxide (TATP), hexamethylene triperoxide diamine (HMTD), and ammonium nitrate (AN) by ion mobility spectrometry in air at atmospheric pressure was investigated. Among the main components of SGD, urea is identified as a positive mode influencer, while lactic acid (LA) affects in a negative mode. The presence of urea or SGD in the sample does not significantly affect the detection of TATP in the positive mode but decreases the efficiency of HMTD ion formation and leads to the appearance of adduct cations of HMTD and urea. The presence of lactic acid or SGD slightly decreases the efficiency of ammonium nitrate ion formation in the negative mode and significantly alters the qualitative composition of HMTD ions, leading to the appearance of HMTD and LA adduct anions. In the absence of any impurities in the sample, the best reduced limit of detection (signal-to-noise ratio = 3σ), estimated at 30–50 pg, was observed for HMTD. The lifetime of HMTD, TATP, and AN traces on aluminum foil under laboratory conditions was determined to be 1, 3, and 12 h for samples with masses of mHMTD 1 × 10–9, 2 × 10–9, and 1 × 10–8 g and surface densities ds of 0.008, 0.016, and 0.08 μg/cm2, respectively; 102 and 103 s for mTATP 1 × 10–5 and 1 × 10–4 g and ds of 80 and 800 μg/cm2, respectively; 12 and 25 h for mAN 3 × 10–8 and 5 × 10–8 g and ds of 0.24 and 0.4 μg/cm2, respectively.
Full Text
Простота изготовления и доступность необходимых для синтеза химических компонентов является причиной высокого риска проведения террористических актов с использованием самодельных, так называемых “кухонных”, взрывчатых веществ (ВВ). К таким веществам относятся триацетона трипероксид (ТАТП), гексаметилентрипероксиддиамин (ГМТД) и нитрат аммония (НА), причем последнее ВВ может быть как кустарного, так и промышленного изготовления. В табл. 1 указаны города и даты совершения террористических актов и других противоправных деяний, связанных с использованием перечисленных выше ВВ. Из таблицы видно, какую серьезную угрозу представляют собой самодельные ВВ и насколько важна задача обнаружения взрывных устройств или зарядов на их основе.
Таблица 1. Города и даты проведения террористических актов и других противоправных деяний, связанных с использованием триацетона трипероксида (ТАТП), гексаметилентрипероксиддиамина (ГМТД) и нитрата аммония (НА)
Город | Дата | Литература |
ТАТП | ||
Теракт в г. Касабланка | 16.05.2003 | [1] |
Теракт в г. Маракеш | 28.04.2011 | [2] |
Теракт в г. Серанг | 28.10.2015 | [3] |
Теракт в г. Париж | 13.11.2015 | [1] |
Теракт в аэропорту г. Брюссель | 22.03.2016 | |
Теракт на Манчестер-Арена | 22.05.2017 | |
Хранение вещества, г. Москва | 14.08.2017 | [4] |
Самоподрыв на вокзале г. Брюссель | 20.06.2017 | [5] |
Случайный самоподрыв в г. Альканар (Испания) | 17.08.2017 | |
Теракт в метро г. Лондон | 15.09.2017 | |
Серия терактов в г. Сурабая | 13.05.2018 | [6] |
Серия терактов в Шри-Ланке | 21.04.2019 | [7] |
Хранение зарядов, г. Джакарта | 29.03.2021 | [8] |
ГМТД | ||
Попытка теракта в аэропорту г. Лос-Анджелеса | Декабрь 1999 | [9] |
Попытка подрыва самолетов, Великобритания | 28.08.2006 | [10] |
Хранение вещества, г. Бристоль | 17.04.2008 | [11] |
Теракты в г. Сисайд-Парк и на Манхеттене в г. Нью-Йорк | 17.09.2016 | [12] |
НА | ||
Теракт у посольства США в г. Бейрут | 18.04.1983 | [1] |
Теракт в г. Оклахома Сити | 19.04.1995 | |
Теракты в г. Стамбул | 15.11.2003, 20.11.2003 | |
Теракт в г. Касабланка | 16.05.2003 | |
Теракт в г. Маракеш | 28.04.2011 | [2] |
Подрыв автомобиля в г. Осло | 22.07.2011 | [13] |
Теракты в г. Сисайд-Парк и на Манхеттене в г. Нью-Йорк | 17.09.2016 | [12] |
Теракт в г. Могадишо | 14.10.2017 | [2] |
Теракт в г. Ламитан, Филиппины | 31.07.2018 | [14] |
В настоящее время одним из самых широко распространенных и эффективных методов обнаружения следов/микрочастиц ВВ является спектрометрия ионной подвижности [15–17]. Этот метод основан на отборе потенциально содержащей следы/микрочастицы ВВ твердой или жидкой пробы и переводе (например, термодесорбцией) ее в газообразное состояние, ионизации газовой пробы, разделении образовавшихся ионов по скорости их движения в газе под действием электрического поля и регистрации разделенных ионов в виде совокупности пиков – спектра.
Ключевым процессом, обеспечивающим эффективность обнаружения того или иного вещества посредством метода спектрометрии ионной подвижности, является ионизация. Часто в спектрометрах ионной подвижности (СИП) используют ионизацию при атмосферном давлении (ИАД). В ИАД формирование ионов газовой пробы происходит в две стадии. На первой стадии происходит образование реактант-ионов из атомов и молекул газовой матрицы, на второй – образование ионов примесных веществ за счет ион-молекулярных реакций реактант-ионов с молекулами этих веществ. При ИАД с помощью коронного разряда в положительной моде (ПМ) основными типами реактант-ионов в воздухе в присутствии паров воды являются полигидраты (H2O)mH+ (m ≥ 1 – целое число) [18], а в отрицательной моде (ОМ) – ионы O2– и NO2–, в меньшей степени NO3–, CO3– и др., а также полигидраты на их основе [19, 20]. Образование ионов ТАТП, ГМТД происходит в ион-молекулярных реакциях реактант-ионов и молекул этих веществ. Ионы НА возникают вследствие термического разложения молекул вещества и последующих реакций автоионизации [21] ([R]– – реактант-ионы):
NH4NO3 NH3+HNO3 → HNO3+[R]–→ R+H+[NO3]– → HNO3+[NO3]–→ [HNO3+NO3]–. (1)
В СИП разделение ионов по типам проводят в дрейфовой камере, представляющей собой заполненную газом полость, образованную системой электродов, обеспечивающих внутри полости однородное электрическое поле E. Ионы различных типов, импульсно введенные через ионный затвор в дрейфовую камеру, под действием поля приобретают скорости, пропорциональные их подвижности, дрейфуют, разделяясь на концентрационные облака, и рекомбинируют на электроде электрометрической системы регистрации (ЭСР). Регистрируют величину ионного тока в зависимости от времени дрейфа I(td) – спектр. Скорость движения ионов i-го типа характеризуется приведенной подвижностью:
, (2)
где l – расстояние между ионным затвором и электродом ЭСР, см; U – разность потенциалов между ионным затвором и электродом ЭСР, В; tdi – среднее время дрейфа ионов i-го типа между ионным затвором и электродом ЭСР, с; T – температура, К; P – давление, мм рт. ст. Значения K0i исследуемых веществ могут быть определены при использовании химического стандарта:
, (3)
где td cs, K0 cs – время дрейфа и приведенная подвижность химического стандарта.
В табл. 2 указаны опубликованные значения приведенных подвижностей K0i и отношения массы к заряду m/z ионов ТАТП, ГМТД и НА, образующихся в воздушной среде, а также предполагаемые типы этих ионов. Из таблицы следует, что молекулы ТАТП эффективно образуют положительные ионы, НА – отрицательные, а ГМТД – положительные и отрицательные.
Таблица 2. Приведенные подвижности K0i и отношения массы к заряду (m/z) ионов триацетона трипероксида (ТАТП), гексаметилентрипероксиддиамина (ГМТД) и нитрата аммония (НА), образующихся в воздушной среде, а также предполагаемые типы этих ионов
ВВ | K0, см2/(В · с) | m/z, а.е.м. | Тип иона или полярность | Литература |
ТАТП | 2.15 | 59 | [C3H6OH]+ | [18] |
2.08 | 91 | [C3H6O3H]+ | ||
1.36 | 240 | [M+NH4]+ | ||
ТАТП | 2.30 | 73 | [C4H9NH2]+ | [21] |
2.17 | 89 | [C4H9O2]+ | ||
ГМТД | 2.12 | 90 | [NC3H8O2]+ | |
1.74 | 145 | [M+H–CH2O–H2O2]+ | ||
2.33 | 72 | [NC2H2O2]– | ||
2.05 | 108, 110 | [NC2H3O2+Cl]– | ||
1.82 | 138, 140 | [M–NC3H7O3+Cl]– | ||
1.83 | 140, 142 | [M–NC3H7O3+Cl]– | ||
НА | 2.40 | 62 | [NO3]– | |
2.05 | 125 | [HNO3+NO3]– | ||
ТАТП | 1.36 | 240 | [M+NH4]+ | [22] |
ГМТД | 2.10 | 90 | + | |
1.73 | 145 | + | ||
1.50 | 209 | [M+H]+ | ||
1.49 | 224 | + | ||
1.49 | 226 | [M+NH4]+ | ||
2.42 | 72 | – | ||
1.82 | 150 | – | ||
НА | 62 | [NO3]– | [23] | |
2.07 | 125 | [HNO3+NO3]– | ||
ТАТП | 2.05 | 91 | [C3H6O3H]+ | [24] |
ГМТД | 1.53 | 209 | [M+H]+ |
При наличии в газовой пробе паров нескольких веществ возможно их взаимное влияние в процессе ионообразования. В работе [17] это влияние исследовано для случая, имеющего большую практическую значимость, – анализа отпечатка пальца (ОП) человека, имевшего контакт с зарядами взрывчатых веществ, содержащих нитрогруппу. В частности, показано, что основным активным компонентом потожировых отложений (ПЖО) отпечатка, который может воздействовать на обнаружение паров ВВ при использовании СИП в отрицательной моде, является молочная кислота (МК). Из литературы также известно [25, 26], что ПЖО содержит мочевину, способную активно образовывать положительные ионы. Молекулы мочевины и МК вступают в ион-молекулярные реакции с реактант-ионами, конкурируя с молекулами ВВ, а образующиеся ионы мочевины и МК взаимодействуют с молекулами ВВ. Все это может сильно уменьшать эффективность образования ионов ВВ и изменять их качественный состав.
Цель настоящей работы – выявление влияния следовых количеств мочевины и молочной кислоты, являющихся одними из основных компонентов потожировых отложений человека, в том числе отпечатков пальца, на эффективность обнаружения следовых количеств ТАТП, ГМТД и НА методом спектрометрии ионной подвижности в положительной и отрицательной ионизационных модах в воздушной среде при атмосферном давлении.
Экспериментальная часть
Реактивы. Растворы триацетона трипероксида (CAS 17088-37-8) в ацетоне с концентрацией (1.0 ± 0.1) × 10–2 г/мл, гексаметилентрипероксиддиамина (CAS 283-66-9) в ацетоне с концентрацией (1.0 ± 0.1) × 10–3 г/мл и нитрата аммония (CAS 6484-52-2) в воде с концентрацией (1.0 ± 0.1) × 10–2 г/мл с массовой долей примесей не более 4 × 10–4 % (РХТУ им. Д.И. Менделеева, Москва, Россия); диамид угольной кислоты (мочевина, ч.д.а., CAS 57-13-6) (Экспит, Россия); 2-гидроксипропановая (молочная) кислота (80%-ный водный р-р, CAS 50-21-5) (Hugestone Enterprise Co., Ltd, Китай); ацетон для хроматографии 99.85% (CAS 67-64-1) (Компонент-Реактив, Россия), вода для инъекций (Новосибхимфарм, Россия).
Аппаратура. Салфетка для нанесения пробы – фольга алюминиевая толщиной 14 мкм. Дозаторы Лайт 2–20 мкл и Лайт ДПОП-1-100-1000 (Thermo Fisher Scientific, USA). Весы лабораторные XS 205 DU (Mettler Toledo, Швейцария). Ионно-дрейфовый детектор (ИДД) Кербер-Т (Атомпромкомплекс, Россия) на основе спектрометрии ионной подвижности, подробно описанный в работах [17, 27]. Параметры ИДД: температура камеры термодесорбции 180 °С; источник ионизации при атмосферном давлении на основе коронного разряда с импульсным источником питания; l = 12 см; U = 2.2 кВ; газ-носитель – лабораторный воздух (объемная скорость Q = 5 см3/с, 180°С, абсолютная влажность ≤ 12 г/м3); дрейфовый газ – осушенный воздух (объемная скорость 10 см3/с, 100°С, абсолютная влажность ≤0.1 г/м3); чувствительность ЭСР 15 фА/(ед. АЦП); уровень шумов ЭСР (3ó) – 25 ед. АЦП, эквивалентных 0.375 пА; уровни срабатывания сигнала “тревога” Ia = 60 пА (ТАТП), Ia = 45 пА (ГМТД и НА) и Ia = 4.5 пА (2,4,6-тринитротолуол, ТНТ), т.е. в 160, 120 и 12 раз превышают 3σ ЭСР соответственно. Приведенные подвижности ионов химических стандартов K0(прокаин) = 1.31 см2/(В·с) в ПМ и K0(ТНТ) = 1.47 см2/(В·с) в ОМ [28, 29]. Время установления показаний ts ≤ 6 с. Разрешающая способность, определяемая как отношение времени tdi ионного пика в спектре к ширине этого пика на половине высоты, составила 40–50.
Методика эксперимента. Растворы различных концентраций готовили из исходных растворов в день проведения экспериментов. В лабораторных условиях (23–25 °С, относительная влажность 25–40%, давление 1000–1017 гПа) с помощью дозатора растворы ВВ, мочевины и МК наносили на поверхность алюминиевой салфетки в виде пятна диаметром 4 мм, которое при анализе располагалось вблизи входного отверстия ИДД. В экспериментах со смесями веществ сначала наносили растворы мочевины или МК, затем растворы ВВ; в экспериментах с отпечатками пальца – сначала отпечаток, затем раствор ВВ в виде пятна диаметром 4 мм. После нанесения проб ожидали ~102 с для испарения ацетона либо ~103 с для испарения воды. Далее салфетку помещали в термодесорбер ИДД. Регистрировали среднее время дрейфа tdi ионов, а также зависимость амплитуды ионного тока Ai пика этих ионов от времени пребывания салфетки в камере термодесорбции th. Значения K0i ионов ВВ определяли с использованием td cs и K0 cs химических стандартов и уравнения (3). Для определения ионизационной эффективности регистрации ВВ в присутствии или в отсутствие следовых количеств мочевины, МК или отпечатка пальца зависимости амплитуд соответствующих ионных пиков Ai интегрировали по времени th и полученные значения зарядов (qi) нормировали на нанесенные массы веществ (mi). Предел обнаружения ВВ определяли как превышение амплитуды какого-либо из пиков ионов данного ВВ соответствующего уровня срабатывания сигнала “тревога” Ia. Отпечатки пальца ранжировали на отпечатки со среднестатистическими (сс) и обильными (об) ПЖО. Их примерные массы, оцениваемые в 8–15 и 30–50 мкг, определены ранее [17].
Результаты и их обсуждение
Эксперименты показали, что при регистрации исследуемых ВВ наличие в пробе ПЖО существенно не влияло на качественный состав ионов ТАТП или НА, однако вызывало появление новых пиков ГМТД. На рис. 1 представлены фрагменты положительного и отрицательного спектров подвижности при анализе отпечатка пальца, содержащего 1 мкг ГМТД. В положительной моде время дрейфа доминирующих ионов ПЖО отпечатка пальца td = 30.42 мс (пик 1) полностью совпадало с td ионов мочевины, а в отрицательной моде времена дрейфа доминирующих ионов ПЖО отпечатка пальца td = 32.26 мс и td = 32.80 мс (пики 4) полностью совпадали с td ионов молочной кислоты. Пик (3) соответствует аддукт-катиону, так как последний образуется при наличии в пробе ГМТД и мочевины или ПЖО, а пик (5) – аддукт-аниону ГМТД, для образования которого необходимо наличие в пробе ГМТД и МК или ПЖО.
Рис. 1. Фрагменты (а) положительного и (б) отрицательного спектров при анализе отпечатка пальца, содержащего 1 мкг ГМТД. Обозначения пиков: 1 – катионы мочевины, 2 – катионы ГМТД, 3 – аддукт-катионы ГМТД и мочевины, 4 – МК, 5 – аддукт-анионы ГМТД и МК, 6 – анионы ГМТД.
В табл. 3 представлены полярности и приведенные подвижности K0i ионов мочевины, МК и ВВ, вычисленные с использованием уравнения (3), экспериментальных значений td cs и подвижностей химических стандартов K0(прокаин) = 1.31 см2/(В·с) (ПМ) и K0(ТНТ) = 1.47 см2/(В · с) (ОМ) [28, 29].
Таблица 3. Полярности и приведенные подвижности K0i ионов мочевины, молочной кислоты и взрывчатых веществ, а также ионизационная эффективность регистрации веществ ei
Вещество | Полярность ионов | K0, см2/(В·с) | ei, Кл/моль |
Мочевина (ОП) | + | 1.77 | 3.3 |
МК (ОП) | – | 1.54 | 2.8 |
1.52 | |||
ТАТП | + | 2.13 | 0.0002 |
2.05 | 0.003 | ||
1.33 | 0.002 | ||
ТАТП + ОП | 2.05 | 0.0007 | |
1.33 | < 0.0001 | ||
ГМТД | + | 1.50 | 8.2 |
– | 2.13 | 0.1 | |
1.91 | 0.09 | ||
1.73, 1.58 | ≤ 0.02 | ||
1.66, 1.52, 1.42, 1.38, 1.33, 1.26 | ≤ 0.005 | ||
ГМТД + ОП | + | 1.50 | 0.5 |
1.31 | 0.2 | ||
– | 1.48 | 0.02 | |
1.42 | 0.003 | ||
1.38 | 0.004 | ||
1.33 | 0.002 | ||
1.26 | 0.006 | ||
НА | – | 2.36 | 1.3 |
2.01 | 2.8 | ||
НА + ОП | 2.36 | 0.01 | |
2.01 | 0.2 |
Из данных табл. 2, 3 и рис. 1 можно сделать следующие основные выводы по качественному составу ионов:
- присутствие в пробе мочевины или ОП вызывает появление в спектре пика катионов подвижностью K0 = 1.77 см2/(В·с) (рис. 1, пик 1);
- присутствие в пробе МК или ОП вызывает появление в спектре пиков анионов с подвижностями K0 = 1.54 и 1.52 см2/(В·с) (рис. 1, пики 4);
- полученные в настоящей работе значения подвижности ионов ТАТП, ГМТД в ПМ и НА в ОМ хорошо согласуются с опубликованными данными (см. табл. 2), на основании чего можно предположить, что в регистрируемых спектрах наиболее интенсивные пики образованы следующими типами ионов (K0i, см2/(В·с)): 2.05 (ТАТП) – [C3H6O3H]+; 1.50 (ГМТД) – [M+H]+; 2.36 (НА) – [NO3]– и 2.01 (НА) – [HNO3+NO3]–.
- количество наблюдаемых в спектре пиков ионов ГМТД в отрицательной моде и значения их K0i, полученные в настоящей работе, отличаются от опубликованных данных [21, 22];
- при анализе пробы, содержащей ТАТП и мочевину (либо ОП), качественный состав спектра ТАТП не изменяется;
- при анализе пробы, содержащей ГМТД и мочевину (либо ОП), в спектре положительной моды, помимо пика ионов ГМТД с K0 = 1.50 см2/(В · с) (рис. 1, пик 2), появляется пик предположительно аддукт-катионов ГМТД и мочевины с подвижностью K0 = 1.31 см2/(В · с) (рис. 1, пик 3);
- при анализе пробы ГМТД в спектре отрицательной моды регистрируется по крайней мере десять пиков;
- в спектре отрицательной моды, полученном при анализе пробы, содержащей ГМТД и МК (либо ОП), по сравнению со спектром ГМТД без МК (ОП) отсутствуют пики ионов с высокой подвижностью K0 = 2.13, 1.91, 1.73, 1.66, 1.58 см2/(В · с), регистрируются пики ионов подвижностью K0 = 1.42, 1.38, 1.33, 1.26 см2/(В · с) (рис. 1, пики 6), и появляется наиболее интенсивный пик предположительно аддукт-анионов фрагмента ГМТД и МК с подвижностью K0 = 1.48 см2/(В · с) (рис. 1, пик 5);
- присутствие в пробе МК или ОП заметно не влияет на качественный состав ионов НА.
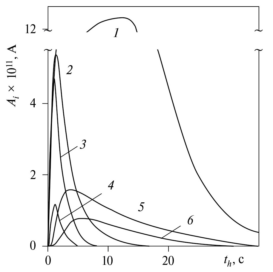
Ранее предложено [17] для оценки ионизационной эффективности регистрации вещества, испаряемого с поверхности пробоотборной салфетки, использовать интеграл амплитуды пика ионов этого вещества Ai по времени пребывания салфетки в камере термодесорбции th, отнесенный к массе вещества mi в пробе: На рис. 2 в качестве примера приведены зависимости Ai (th) в ПМ пика ионов с подвижностью K0 ГМТД = 1.50 см2/(В · с) при десорбции с поверхности салфетки mГМТД = 1 мкг (1) или 10 нг (2) и пика ионов K0 ТАТП = 2.05 см2/(В · с) при десорбции mТАТП = 10 мкг (3), а также пика ионов K0 ТАТП = 2.05 см2/(В · с) (4) в ПМ и пиков ионов K0 НА = 2.01 см2/(В · с) (5) и K0 ГМТД = 1.48 см2/(В · с) (6) в ОМ при одновременной десорбции с отпечатком пальца с обильными ПЖО соответственно mТАТП =10 мкг, mНА = 50 нг или mГМТД = 0.5 мкг.
Рис. 2. Зависимости амплитуды пиков ионов от времени пребывания салфетки в камере термодесорбции Ai(th): в положительной моде K0 ГМТД = 1.50 см2/(В · с) при массе пробы mГМТД = 1 мкг (1) или 10 нг (2) и K0 ТАТП =2.05 см2/(В · с) при mТАТП = 10 мкг (3); в положительной моде K0 ТАТП mТАТП =10 мкг + обильные потожировые отложения (4); в отрицательной моде K0 НА = 2.01 см2/(В · с) mНА = 50 нг + обильные потожировые отложения (5) и K0 ГМТД = 1.48 см2/(В · с) mГМТД = 0.5 мкг + обильные потожировые отложения (6).
Из рис. 2 видно, что проба mГМТД = 10 нг (2) малолетучего ГМТД при введении салфетки в термодесорбер, в котором поддерживается температура 180 °С, полностью испаряется с ее поверхности, проходит входной тракт ИДД и покидает камеру ионизации примерно за th = 15 с. Максимум наблюдается при t ≈ 1.2 с. При анализе mГМТД = 1 мкг (кривая 1) в диапазоне th ≈ 5–13 с амплитуда пика находится в насыщении AГМТД ≈ 120 пА, при th > 13 с интенсивно спадает, но даже при th = 35 с она остается достаточно большой – AГМТД ≈ 5 пА. Пик ионов летучего ТАТП при массе пробы mТАТП =10 мкг полностью исчезает примерно за 8 с при максимуме th ≈ 1 с. Наличие в пробе отпечатка пальца с обильными ПЖО практически не влияет на динамику испарения летучего ТАТП (сравнение кривых 3 и 4), в то время как для малолетучих НА и ГМТД наблюдается более пологий спад амплитуды Ai (th).
Из зависимостей Ai (th) определили ионизационные эффективности ei для наблюдаемых типов ионов мочевины в ПМ, МК в ОМ, ГМТД и ТАТП в ПМ и ГМТД и НА в ОМ при десорбции с поверхности салфеток следовых количеств этих веществ массами mi = 5, 1, 1, 5000, 100 и 20 нг соответственно. Полученные значения ионизационных эффективностей ei приведены в табл. 3. Там же даны значения ei ионов, регистрируемых при одновременной десорбции с салфетки отпечатка пальца с обильными ПЖО и следовых количеств ТАТП, НА, ГМТД в ПМ и ОМ массами mi = 10, 0.1, 0.05 и 1 мкг соответственно.
Для определения степени воздействия следовых количеств мочевины и МК, входящих в состав ОП, на ионизационную эффективность наблюдаемых типов ионов ВВ исследовали зависимости ei (mмочевина) в положительной и ei (mМК) в отрицательной модах (рис. 3). При варьировании в пробе массы мочевины от 5 до 50 нг регистрировали Ai (th) и рассчитывали ei для положительных ионов K0 ГМТД = 1.50 см2/(В · с), K0 ТАТП = 2.05 и 1.33 см2/(В · с), а при варьировании МК от 1 до 100 нг определяли ei для отрицательных ионов K0 ГМТД = 1.48 и 1.91 см2/(В · с), K0 НА = 2.01 см2/(В · с). На рис. 3 также даны значения ei для указанных ионов при их регистрации в присутствии отпечатка с ссПЖО и обПЖО. Из рисунка следует, что увеличение в пробе массы мочевины вызывает существенное уменьшение ei ионов K0 ГМТД = 1.50 см2/(В·с) и K0 ТАТП = 1.33 см2/(В · с), умеренное уменьшение ei ионов K0 ТАТП = 2.05 см2/(В·с), а увеличение массы МК приводит к исчезновению наиболее интенсивного пика ионов K0 ГМТД = 1.91 см2/(В · с) и появлению пика ионов K0 ГМТД = 1.48 см2/(В · с), а также существенному уменьшению ei ионов K0 НА = 2.01 см2/(В · с). При наличии в пробе отпечатков с ссПЖО или обПЖО, содержащих существенно бóльшие массы мочевины и МК [17, 25, 26], чем нанесенные из растворов, тенденции падения эффективностей ei указанных ионов с увеличением массы мочевины или МК сохраняются.
Рис. 3. Зависимости ei (mмочевина) в положительной моде для ионов с K0, см2/(В · с): черный круг – K0 ГМТД = 1.50, черный ромб – K0 ТАТП = 2.05, белый ромб – K0 ТАТП = 1.33. Зависимости ei (mМК) в отрицательной моде для ионов: белый круг – K0 ГМТД = 1.48, серый круг – K0 ГМТД = 1.91, белый квадрат – K0 НА = 2.01. 1 – среднестатистические потожировые отложения + взрывчатое вещество, 2 – обильные потожировые отложения + взрывчатое вещество.
Очевидно, что влияние присутствующих в ОП мочевины и МК на величину ei ВВ будет отражаться и на их пределах обнаружения (ПО), являющихся основными параметрами, характеризующими обнаружительную способность устройства.
Гексаметилентрипероксиддиамин (ГМТД). В отсутствие мочевины, МК или ОП, из всех исследованных веществ наилучший ПО зафиксирован с помощью ИДД Кербер-Т для ГМТД при регистрации положительных ионов c подвижностью K0 ГМТД = 1.50 см2/(В·с), равный LГМТД = 10 нг при Ia = 45 пА и соотношении Ai/3σ = 120. При использовании традиционного соотношения сигнал/шум = 3ó (Кербер-Т, 3ó = 0.375 пА) приведенный ПО оценивали величиной LГМТД = 30–50 пг, что существенно меньше пределов обнаружения других СИП, равных 0.2 нг [24] и 5 нг (сигнал/шум = 3) [30, 31]. Верхняя граница динамического диапазона достигает величины mГМТД = 0.4 мкг при амплитуде пика ГМТД 120 пА. При дальнейшем увеличении mГМТД > 0.4 мкг амплитуда пика ионов K0 ГМТД = 1.50 см2/(В · с) уменьшается, а в спектре появляются новые пики. Таким образом, с учетом показателя шума 3σ потенциально динамический диапазон составил ~ 104.
В пробе с ссПЖО предел обнаружения ГМТД в ПМ регистрировали на уровне LГМТД ≈ 50 нг, а в пробе с обПЖО – LГМТД ≈ 150 нг, причем в последнем случае указанное значение LГМТД фиксировали либо для пика ионов подвижностью K0 ГМТД = 1.50 см2/(В · с), либо для пика предположительно аддукт-катионов ГМТД и мочевины K0 = 1.31 см2/(В · с).
В отрицательной моде наиболее представительным индикатором наличия в пробе ГМТД в отсутствие МК является пик ионов с K0 = 1.91 см2/(В · с), при регистрации которого масса пробы mГМТД = 0.5 мкг вызывает сигнал Ai = 4.5 пА = 12 ∙ (3σ). При наличии отпечатка с ссПЖО или обПЖО наиболее представительным является появляющийся именно в присутствии МК пик ионов ГМТД с подвижностью K0 = 1.48 см2/(В·с), близкий к пику ионов K0 ТНТ = 1.47 см2/(В·с), что при mГМТД = 0.5 мкг обеспечивает срабатывание сигнала “тревога” с индикацией обнаружения ТНТ (Ia = 4.5 пА). Значение LГМТД = 0.5 мкг можно считать пределом обнаружения ГМТД в отрицательной моде. К сожалению, в литературе не удалось найти ПО ГМТД в ОМ каких-либо других СИП.
Триацетона трипероксид (ТАТП). Предел обнаружения ТАТП при регистрации ионов K0 ТАТП = 2.05 см2/(В · с) является сравнительно высоким LТАТП = 15 мкг (Ai/3σ = 160). Кроме того, с увеличением mТАТП ≥ 20 мкг амплитуда этого пика практически не возрастает, а при m ТАТП ≥ 50 мкг уменьшается и в спектрах появляется много новых неразделенных пиков. Приведенный ПО (3ó) оценивали величиной ~0.1 мкг. Опубликованные значения ПО ТАТП других СИП сильно различаются – от 5 нг [31] и 23.3 нг [24] до 3.9 мкг [32] и ~102 мкг [22]. Приведенный ПО ИДД Кербер-Т лежит примерно в середине указанного диапазона значений.
Можно оценить предел обнаружения паров ТАТП в воздухе Lv ТАТП, используя значения Ia, ei, Q, число Авогадро NA = 6.02 × 1023 моль–1 и число Лошмидта NL = 2.69 × 1019 cм–3. Например, при температуре воздуха T = 298 K по пику ионов K0 ТАТП = 2.05 см2/(В · с), для которого Ia = 60 пА и ei = 0.003 Кл/моль, Lv ТАТП= (Ia /(ei · Q)) · (NA/NL) · (298/273) × 106 ≈ ≈100 ppm, а приведенный ПО при Ia = 3ó = 0.375 пА составил Lvr ТАТП ≈ 0.6 ppm. Для сравнения в отрицательной моде Lvr ТНТ ≈ 167 ppt (1.5 пг/см3), так как ei (ТНТ) = 11 Кл/моль [17].
В присутствии отпечатка с ccПЖО или обПЖО предел обнаружения ТАТП по пику ионов K0 ТАТП = 2.05 см2/(В · с) оценивали величиной LТАТП = 50 мкг. При дальнейшем увеличении m ТАТП > 50 мкг в спектрах появляется много других неразделенных пиков в области td = 35 ÷ 50 мс, амплитуда пика ионов K0 ТАТП = 2.05 см2/(В · с) уменьшается и сигнал “тревога” не вырабатывается.
Таким образом, необходимо особо отметить, что ИДД Кербер-Т имеет верхнюю границу обнаружения ТАТП, примерно равную m ТАТП ≈ 50 мкг. Это означает, что для проб с m ТАТП > 50 мкг высока вероятность отсутствия сигнала “тревога” (ложноотрицательный сигнал – “пропуск цели”). Возможно, выявленное ограничение присуще любым СИП с данным типом ионизации.
Нитрат аммония (НА). Обнаружение НА имеет особенность. Так как образование ионов НА происходит посредством реакции автоионизации (уравнение (1)), зависимость амплитуды пика ионов K0 НА = 2.01 см2/(В·с) от массы НА в пробе нелинейна – AНА ~ (m НА)k, где k > 1. Например, при m НА= 5 нг – AНА = 0, m НА = 10 нг – AНА ≈ 25 пА, m НА= 20 нг – AНА ≈ 150 пА. Из этих данных ПО НА оценивали величиной LНА ≈ 15 нг (при AНА/3ó = 120). Указанное значение ПО на два порядка выше, чем, например, приведенный ПО НА (при AНА/3ó = 1) 0.1 нг СИП с фотоионизацией [23].
В присутствии ссПЖО или обПЖО предел обнаружения НА по пику ионов K0 НА = 2.01 см2/(В · с) оценивали величиной LНА = 100 нг.
Экспериментально оценили время жизни следов ГМТД, ТАТП и НА на алюминиевой фольге. Время жизни следов ГМТД с массами mГМТД = 1 × 10–9, 2 × 10–9, 1 × 10–8 г и поверхностными плотностями ds = 0.008, 0.016, 0.08 мкг/см2 примерно равно 1, 3 и 12 ч соответственно. Время жизни следа ТАТП массой mТАТП = 1 × 10–5 г и ds » 80 мкг/см2 оценивается величиной ~ 102 с, а массой mТАТП = 1 × 10–4 г и ds » 800 мкг/см2 ~ 103 с. Наличие следов НА с массами mНА = 3 × 10–8, 5 × 10–8 г и ds = 0.24, 0.4 мкг/см2 регистрировали в течение 13 и 25 ч соответственно.
***
Подводя итог, можно отметить следующее. Мочевина и молочная кислота являются теми компонентами ПЖО отпечатка пальца, которые могут влиять на эффективность обнаружения ГМТД, ТАТП и НА с помощью СИП с ИАД в положительной и отрицательной модах. Наличие в пробе мочевины или ПЖО оказывает небольшое влияние на регистрацию ТАТП в положительной моде, существенно уменьшает эффективность образования ионов ГМТД, вызывая появление предположительно аддукт-катионов ГМТД и мочевины с подвижностью K0 = 1.31 см2/(В · с). Наличие в пробе МК или ПЖО незначительно уменьшает эффективность образования ионов НА в отрицательной моде, сильно изменяет качественный состав ионов ГМТД, вызывая появление наиболее интенсивного пика предположительно аддукт-анионов фрагмента ГМТД и МК с подвижностью K0 = 1.48 см2/(В·с).
Пределы обнаружения следовых количеств ГМТД в ПМ и ОМ, ТАТП в ПМ и НА в ОМ с учетом высоких уровней срабатывания сигнала “тревога” (~ 100ó) ИДД Кербер-Т, уменьшающих вероятность ложноположительных сигналов при решении реальных задач обнаружения ВВ в присутствии возможных мешающих веществ, составили 10 нг, 0.5 мкг, 15 мкг и 15 нг, а этих же ВВ, но в присутствии отпечатка пальца с обильными ПЖО – 150 нг, 0.5 мкг, 50 мкг и 100 нг соответственно.
Финансирование работы
Данная работа финансировалась за счет средств бюджета Научно-исследовательского технологического института им. А.П. Александрова. Никаких дополнительных грантов на проведение или руководство данным конкретным исследованием получено не было.
Конфликт интересов
Авторы данной работы заявляют, что у них нет конфликта интересов.
About the authors
T. I. Buryakov
Alexandrov Research Institute of Technology
Author for correspondence.
Email: buryakovti@gmail.com
Russian Federation, 188540, Sosnovy Bor, Leningrad oblast
I. A. Buryakov
Alexandrov Research Institute of Technology
Email: buryakovia@gmail.com
Russian Federation, 188540, Sosnovy Bor, Leningrad oblast
References
- Conklin C. Reducing the Threat of Improvised Explosive Device Attacks by Restricting Access to Explosive Precursor Chemicals. CISA, 2019. 11 p.
- Grantham A. AMAT Insights. Reducing Risks Associated with Ammonium Nitrate. Geneva: GICHD, 2020. 26 p.
- Bom di Mall Alam Sutera Gunakan TATP, Pertama di Indonesia. https://www.liputan6.com/news/read/2352321/bom-di-mall-alam-sutera-gunakan-tatp-pertama-di-indonesia (дата обращения 01.09.2022).
- Взорвать “мать Сатаны”: ФСБ задержала боевиков, готовивших теракты в Москве. https://ria.ru/20170814/1500327022.html (дата обращения 01.09.2022).
- Key Trends in Terrorism. https://www.newamerica.org/international-security/reports/jihadist-terrorism-17-years-after-911/key-trends-in-terrorism/ (дата обращения 01.09.2022).
- “Mother of Satan” explosives used in Surabaya church bombings: Police. https://www.thejakartapost.com/news/2018/05/14/mother-of-satan-explosives-used-in-surabaya-church-bombings-police.html (дата обращения 01.09.2022).
- Gunasingham A. Sri Lanka attacks: An analysis of the aftermath // Counter Terrorist Trends and Analyses. 2019. V. 11. № 6. P. 8.
- Indonesian police seize 5 bombs, explosives during terrorist raids. http://www.xinhuanet.com/english/2021-03/29/c_139844716.htm (дата обращения 01.09.2022).
- Sniffing Out Terrorism. https://archives.fbi.gov/archives/news/stories/2005/december/k9_explosives122305 (дата обращения 01.09.2022).
- National Academies of Sciences, Engineering, and Medicine. Reducing the Threat of Improvised Explosive Device Attacks by Restricting Access to Explosive Precursor Chemicals. Washington, DC: The National Academies Press, 2018. P. 154.
- Teen charged with terrorism offences. https://www.reuters.com/article/uk-britain-security-idUKL2932538820080429 (дата обращения 01.09.2022).
- A look at the explosives used in the New York bombing. https://cen.acs.org/articles/94/i38/look-explosives-used-New-York.html (дата обращения 01.09.2022).
- Oslo government district bombing and Utøya island shooting July 22, 2011: The immediate prehospital emergency medical service response. https://sjtrem.biomedcentral.com/articles/10.1186/1757-7241-20-3 (дата обращения 01.09.2022).
- Banlaoi R.C. The Lamitan bombing and terrorist threat in the Philippines // Counter Terrorist Trends and Analyses. 2018. V. 10. № 9. P. 1.
- Eiceman G.A., Karpas Z., Hill H.H.Jr. Ion Mobility Spectrometry. 3rd Ed. Boca Raton: CRC Press, 2013. 444 p.
- DeBono R., Lareau R.T. Trace detection of explosives by ion mobility spectrometry / Counterterrorist Detection Techniques of Explosives / Eds. Cagan A., Oxley J. C. 2nd Ed. Elsevier, 2022. P. 163.
- Буряков Т.И., Буряков И.А. Обнаружение следовых количеств взрывчатых веществ в присутствии молочной кислоты методом спектрометрии ионной подвижности // Журн. аналит. химии. 2022. Т. 77. № 1. С. 28. (Buryakov T.I., Buryakov I.A. Detection of trace amounts of explosives in the presence of lactic acid by ion mobility spectrometry // J. Anal. Chem. 2022. V. 77. № 1. P. 43.)
- Ewing R.G., Waltman M.J., Atkinson D.A. Characterization of triacetone triperoxide by ion mobility spectrometry and mass spectrometry following atmospheric pressure chemical ionization // Anal. Chem. 2011. V. 83. P. 4838.
- Skalny J.D., Orszagh J., Mason N., Rees J.A., Aranda-Gonzalvo Y., Whitmore T.D. Mass spectrometric study of negative ions extracted from point to plane negative corona discharge in ambient air at atmospheric pressure // Int. J. Mass Spectrom. 2008. V. 272. P. 12.
- Ewing R.G., Waltman M.J. Mechanisms for negative reactant ion formation in an atmospheric pressure corona discharge // Int. J. Ion Mobil. Spectrom. 2009. V. 12. P. 65.
- Kozole J., Levine L.A., Tomlinson-Phillips J., Stairs J.R. Gas phase ion chemistry of an ion mobility spectrometry based explosive trace detector elucidated by tandem mass spectrometry // Talanta. 2015. V. 140. P. 10.
- Marr A.J., Groves D.M. Ion mobility spectrometry of peroxide explosives TATP and HMTD // Int. J. Ion Mobility Spectrom. 2003. V. 6. P. 59.
- Cheng S., Wang W., Zhou Q., Chen C., Peng L., Hua L. et al. Fast switching of CO3–(H2O)n and O2–(H2O)n reactant ions in dopant-assisted negative photoionization ion mobility spectrometry for explosives detection // Anal. Chem. 2014. V. 86. P. 2687.
- Jiang D., Peng L., Wen M., Zhou Q., Chen C., Wang X. et al. Dopant-assisted positive photoionization ion mobility spectrometry coupled with time-resolved thermal desorption for on-site detection of TATP and HMTD in complex matrices // Anal. Chem. 2016. V. 88. № 8. P. 4391.
- DART (Direct Analysis in Real Time) Applications Notebook. Atmospheric Pressure Ionization High-Resolution Time-of-Flight Mass Spectrometer. JEOL Ltd, 2016. P. 40.
- Kalhor H., Alizadeh N. Determining urea levels in dialysis human serum by means of headspace solid phase microextraction coupled with ion mobility spectrometry and on the basis of nanostructured polypyrrole film // Anal. Bioanal. Chem. 2013. V. 405. P. 5333.
- Головин А.В., Васильев В.К., Иванов И.А., Беляков В.В., Громов Е.А., Малкин Е.К., Матуско М.А., Першенков В.С. Двухполярный спектрометр ионной подвижности // Датчики и системы. 2018. № 2. С. 4. (Golovin A.V., Vasilyev V.K., Ivanov I.A., Belyakov V.V., Gromov E.A., Malkin E.K., Matusko M.A., Pershenkov V.S. Bipolar ion mobility spectrometer // Sensors and Systems. 2018. № 2. P. 4.)
- Головин А.В. Спектрометр ионной подвижности с источником ионизации на основе импульсного коронного разряда. Дис. … канд. тех. наук. Москва: Национальный исследовательский ядерный университет “МИФИ”, 2010. 197 с.
- Громов Е.А. Система регистрации и управления спектрометрическим каналом двухполярного спектрометра ионной подвижности. Москва: Дис. … канд. тех. наук. Национальный исследовательский ядерный университет “МИФИ”, 2018. 160 с.
- Ehlert S., Walte A., Zimmermann R. Ambient pressure laser-desorption and laser induced acoustic desorption ion-mobility-spectrometry detection of explosives // Anal. Chem. 2013. V. 85. № 22. P. 11047.
- Cook G.W. Improving ion mobility spectrometry detection methods for trace forensics and military field applications. Dis. … PhD. Bethesda: The Uniformed Services University of the Health Sciences, 2006. 117 p.
- Oxley J.C., Smith J.L., Kirschenbaum L.J., Marimganti S., Vadlamannati S. Detection of explosives in hair using ion mobility spectrometry // J. Forensic Sci. 2008. V. 53. № 3. P. 690.
Supplementary files





