Electrochemical analysis of the interaction between DNA and abiraterone D4A metabolite
- Authors: Shumyantseva V.V.1,2, Berezhnova A.V.1, Agafonova L.E.1, Bulko T.V.1, Veselovsky A.V.1,2
-
Affiliations:
- Orekhovich Research Institute of Biomedical Chemistry
- Russian National Research Medical University
- Issue: Vol 79, No 7 (2024)
- Pages: 733-745
- Section: Articles
- Submitted: 26.12.2024
- Accepted: 26.12.2024
- URL: https://journals.rcsi.science/0044-4502/article/view/274496
- DOI: https://doi.org/10.31857/S0044450224070057
- EDN: https://elibrary.ru/TOFTCJ
- ID: 274496
Cite item
Full Text
Abstract
The electroanalytical characteristics of double-stranded DNA (dsDNA) and the complex of dsDNA with the anticancer drug metabolite, abiraterone D4A, in the concentration range of 25–200 μM were investigated using differential pulse voltammetry. The effect of D4A on dsDNA was detected by changes in the intensity of the electrochemical oxidation of the heterocyclic bases guanine, adenine, and thymine. This investigation used screen-printed electrodes modified with carbon nanotubes. Binding constants (Kb) for guanine, adenine, and thymine in the dsDNA/D4A complexes were calculated to be 1.1 × 104, 5.5 × 103, and 2.5 × 103 M–1, respectively. The DNA-mediated electrochemical coefficients of the toxic effect were calculated as the ratio of the signal intensities of guanine and adenine in the presence of D4A compared to those without the drug (T, %). Based on an analysis of electrochemical parameters and binding constant values, an assumption was made regarding the mechanism of the interaction between D4A and DNA, predominantly through electrostatic interactions and the formation of hydrogen bonds with the minor groove. Conclusions about the mechanism of the interaction of the abiraterone D4A metabolite with the dsDNA minor groove, obtained by electrochemical methods, were supported by the molecular simulation of the DNA/D4A complex.
Full Text
Фармакологический эффект лекарственных препаратов основан на строго целенаправленном взаимодействии мишень/лиганд. Такими мишенями могут быть функционально значимые белки, ферменты, клеточные рецепторы, мембраны (как совокупность мембранных белков и фосфолипидов), а также ДНК/РНК [1–3]. Выяснение механизма действия терапевтического препарата на ДНК является одним из ключевых вопросов фармакогеномных исследований для понимания природы различных заболеваний, механизма действия лекарств на мишень и разработки новых потенциальных фармацевтических препаратов [4–7]. ДНК является фармакологической мишенью многих лекарств. Лекарства, способные связываться с ДНК, могут влиять на жизненно важные функции клеток, воздействуя на экспрессию, модифицируя гистоны, вызывая карциногенез или мутации. Химическая реакционная способность лекарственных препаратов и образование активных форм кислорода может приводить к окислительному повреждению гетероциклических оснований ДНК и множественным разрывам сахарофосфатного остова [1, 5, 8]. Описано несколько механизмов воздействия лекарственных препаратов на молекулу ДНК, которые включают интеркаляцию молекулы лекарства между основаниями ДНК, связывание в бороздках ДНК или ковалентное связывание с основаниями ДНК [1, 4]. Нековалентные взаимодействия лекарства с ДНК происходят в основном за счет образования водородных связей, ионных связей, гидрофобных и Ван-дер-Ваальсовых взаимодействий. [1, 8–11]. Количественное определение нуклеотидов, нуклеозидов, гетероциклических оснований (ГЦО) ДНК, а также анализ взаимодействий ДНК/лекарство может быть осуществлен методами абсорбционной спектроскопии, где регистрируется интегрированный спектр поглощения ДНК; флуоресцентной спектроскопии с помощью флуоресцентных “меток”; полимеразной цепной реакции (ПЦР) с необходимым набором дополнительных реактивов и автоматизированного оборудования; атомно-силовой микроскопии; электрохимическими методами; конфокальной рамановской спектроскопий; вискозиметрии; изотермической дифференциальной сканирующей микрокалориметрии; инфракрасной спектроскопии с преобразованием Фурье; ядерного магнитного резонанса [10–12] (рис. 1).
Рис. 1. Методы исследования комплексов ДНК/лекарство.
Электрохимический метод количественного анализа ДНК имеет ряд преимуществ по сравнению с другими методами. К ним относятся высокая чувствительность, малый объем проб (0.5–60 мкл), непродолжительное время анализа, регистрация пуриновых и пиримидиновых ГЦО при соответствующем выборе типа и модификации рабочих электродов [13, 14]. Рациональный дизайн сенсорных конструкций и наноструктурирование рабочей поверхности электродов позволяет подобрать оптимальные условия измерений для определяемого вещества, обеспечить биосовместимость и необходимые аналитические характеристики метода, такие как предел обнаружения, диапазон определяемых концентраций, чувствительность, что особенно важно при работе с биологическими объектами [13]. Электрохимические ДНК-биосенсоры используются для анализа взаимодействия с ДНК при обнаружении и определении таких веществ, как лекарства, метаболиты, биомаркеры [14–19]. Электрохимические сенсоры позволяют регистрировать “отклик” биоматериала на изменение свойств за счет ДНК/лигандных взаимодействий [19, 20].
Рак простаты является одним из наиболее агрессивных видов онкологических заболеваний. Препарат абиратерон (17-(3-пиридил)андроста-5,16-диен-3β-ол) является “золотым стандартом” в лечении рака предстательной железы. Раннее мы исследовали взаимодействие абиратерона в диапазоне концентраций 0–90 мкМ с двуспиральной ДНК (дсДНК) [21]. При концентрациях выше 60 мкМ абиратерон вызывал снижение сигналов электроокисления аденина и гуанина ДНК более чем на 50%. Смещение потенциалов электроокисления в катодную область при увеличении концентрации абиратерона исключает интеркаляцию абиратерона и отражает механизм взаимодействия препарата с бороздкой дсДНК за счет образования водородных связей и возможных электростатических взаимодействий [21]. Полученные результаты согласуются с выводами о термодинамически выгодном самопроизвольном процессе, включающем механизм образования водородных связей и Ван-дер-Ваальсовы взаимодействия за счет связывания абиратерона с ДНК в малой бороздке на основе результатов молекулярного моделирования и исследований спектральных характеристик, а также расчетов величины изменения свободной энергии Гиббса ΔG [22].
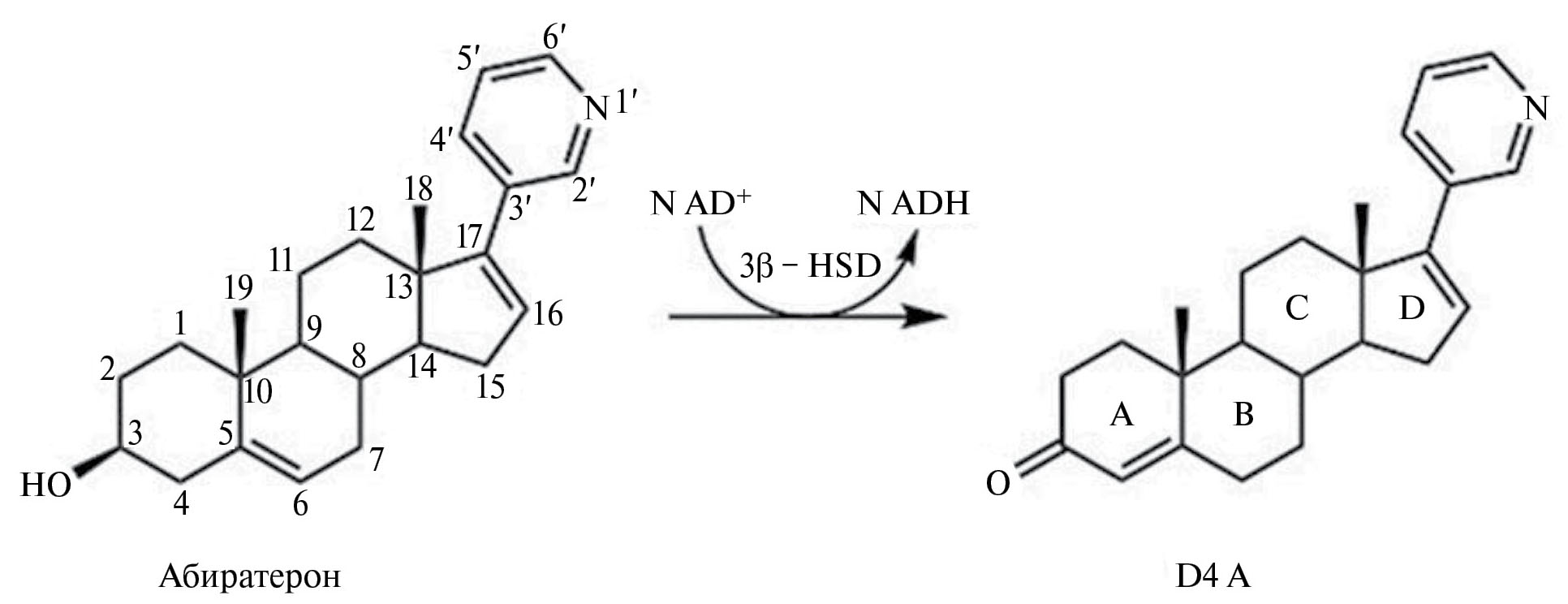
В организме под действием 3β-гидроксистероиддегидрогеназы (3β-HSD) абиратерон подвергается окислению по гидроксильной группе в третьем положении стероидного фрагмента (кольцо А) с образованием более активного 3-кето-Ä4-производного абиратерона (D4A) (схема 1) [23–25]. Метаболит абиратерона D4A ингибирует цитохром Р450 17А1 (CYP17A1), 3β-гидроксистероиддегидрогеназу (3β-HSD), а также стероид-5α-редуктазу (SRD5A) – ключевые ферменты биосинтеза андрогенов [23–28]. Показано также, что он способен ингибировать ряд изоформ цитохрома P450 (CYP 21A2, 51A1, 11A1, 19A1, 11B2, 3A4, 2D6, 2C8), а также 3β-гидроксистероиддегидрогеназы [23–28]. Кроме того, метаболит абиратерона D4A проявляет более высокую, чем абиратерон, антагонистическую активность по отношению к рецептору андрогенов, сравнимую по эффективности с известным антагонистом рецептора андрогенов энзалутамидом (4-(3-(4-циано-3-(трифлуорометил)фенил)-5,5-диметил-4-оксо-2-тиоксоимидазолидин-1-ил)-2-флуоро-N-метилбензамид) [24, 25]. Метаболит абиратерона D4A демонстрирует бóльшую по сравнению с абиратероном противоопухолевую активность на ксенографтах у мышей [23, 24]. В настоящее время его рассматривают как перспективное соединение для лечения рака простаты. Несмотря на высокий фармакологический потенциал D4A, его взаимодействие с ДНК – одной из главных фармакологических мишеней противоопухолевой терапии – остается малоизученным.
Схема 1. Окисление абиратерона под действием 3β-гидроксистероиддегидрогеназы (3β-HSD) с образованием 3-кето-Δ4-производного абиратерона (метаболит абиратерона D4A) [20, 23, 24].
Цель данной работы – исследование механизма взаимодействия метаболита абиратерона D4A с дсДНК электрохимическими методами на основе регистрации изменения интенсивности сигналов и смещения потенциалов электрохимического окисления гетероциклических азотистых оснований, входящих в дсДНК, в результате образования комплекса ДНК/лекарство.
Экспериментальная часть
Оборудование и реагенты. Электрохимические измерения проводили на приборе PGSTAT 312N Autolab (Metrohm Autolab BV, Нидерланды) с программным обеспечением NOVA (версия 2.0). Использовали трехконтактные электроды (печатные графитовые электроды, ПГЭ), полученные методом трафаретной печати (ООО “КолорЭлектроникс”, Москва, http://www.colorel.ru/), с графитовыми рабочим и вспомогательным электродами, хлоридсеребряным электродом сравнения. Диаметр рабочего электрода составлял 0.2 см (площадь 0.0314 см2). Все потенциалы приведены относительно хлоридсеребряного электрода сравнения (отн. Ag/AgCl).
Использовали следующие реактивы: однозамещенный фосфат калия (Реахим, Москва, Россия), хлорид натрия (Реахим, Москва, Россия), одностенные углеродные нанотрубки (УНТ) 0.4 мас. %, стабилизированные карбоксиметилцеллюлозой 0.6 мас. % (Новосибирск, Россия, https://ocsial.com), двуспиральную ДНК, выделенную из молок осетровых рыб (Sigma-Aldrich, Япония) и D4A (Sigma-Aldrich, США).
Методика эксперимента. Измерения проводили методом дифференциально-импульсной вольтамперометрии (ДИВА) в диапазоне потенциалов 0.2–1.2 В с шагом потенциала 5 мВ, амплитудой модуляции 25 мВ, временем модуляции 50 мс и интервалом времени 0.5 с.
На рабочую поверхность ПГЭ наносили 2 мкл дисперсии 0.75 ± 0.05 мг/мл УНТ, стабилизированных карбоксиметилцеллюлозой (ПГЭ/УНТ, 0.02 г исходной дисперсии с концентрацией 0.4 мас. % разводили в 100 мкл H2O). Электроды модифицировали в течение 30 мин при комнатной температуре, затем выполняли их предварительную обработку (четыре скана ДИВА в диапазоне потенциалов 0–1.2 В). Эксперименты проводили в аэробных условиях при комнатной температуре в горизонтальном режиме. На электрод наносили 60 мкл анализируемого раствора в 0.1 М калий-фосфатном буферном растворе (рН 7.4) (КФБ), содержащем 0.05 М NaCl, и инкубировали в течение 5 мин на электроде перед измерением.
Исходный раствор дсДНК (3 мг/мл) готовили в КФБ. Исходный 10 мМ раствор D4А готовили в этаноле с последующим разведением КФБ до исследуемых концентраций. Перед нанесением на электрод комплекс дсДНК/D4А инкубировали в течение 5–45 мин.
Молекулярный докинг. Использовали структуру ДНК, полученную из базы PDB (ID 1BNA). Структуры абиратерона и D4A строили в программе SYBYL8.1. Структуры молекул оптимизировали методом минимизации энергии в SYBYL 8.1 при помощи метода градиентного спуска в вакууме и с зарядами Гастайгера–Хюккеля. Докинг исследуемых соединений осуществлялся в программе Vina Autodock [29]. Докинг проводили по всей поверхности ДНК. Значение “exhaustiveness” (полнота поиска), использованное при расчетах, составляло 128. Взаимодействия ДНК с лигандами анализировали при помощи программ SYBYL8.1 и Pymol.
Результаты и их обсуждение
Электроанализ комплекса дсДНК/метаболит абиратерона D4A. Обоснованный выбор типа электродов и вариантов модификации для эффективного процесса переноса электронов и регистрации биохимического события является ключевым в электроанализе [13]. Ранее показано, что модификация рабочей поверхности электродов углеродными нанотрубками способствует повышению аналитической чувствительности сенсора [30, 31]. Для исследования механизма взаимодействия ДНК и метаболита абиратерона D4A использовали электроды, полученные методом трафаретной печати и модифицированные одностенными углеродными трубками (ПГЭ/УНТ). Такой тип электродов использован нами ранее для анализа взаимодействия дсДНК и абиратерона, доксорубицина, умифеновира, рифампицина и фосфолипидных композиций этих препаратов [7, 32–35]. Аналитические характеристики дсДНК описаны нами ранее [21, 34, 35]. При модификации ПГЭ углеродными трубками, стабилизированными карбоксиметилцеллюлозой, зарегистрировали сигналы электрохимического окисления гуанина, аденина и тимина при потенциалах Е = 0.59 ± 0.01, 0.88 ± 0.01, 1.12 ± 0.05 В соответственно [21, 34].
Электроактивность 100 мкМ метаболита абиратерона D4A исследовали методами циклической вольтамперометрии и ДИВА в диапазоне потенциалов от +0.2 до +1.2 В, который соответствует диапазону значений потенциалов регистрации электрохимического окисления гетероциклических оснований ДНК (рис. 2) [14–19].
Рис. 2. (а) Дифференциально-импульсные вольтамперограммы ПГЭ/УНТ/D4A с концентрацией метаболита 100 мкМ в диапазоне потенциалов 0.2–1.2 В. (б) Циклические вольтамперограммы ПГЭ/УНТ/D4A в диапазоне потенциалов 0.2–1.2 В.
Метаболит абиратерона D4A не проявляет электроактивность в области значений потенциалов электрохимического окисления пуриновых оснований с использованием ПГЭ/УНТ, что позволяет определять комплекс дсДНК/D4A путем регистрации изменения интенсивности сигналов электрохимического окисления гуанина, аденина и тимина.
Алгоритм контроля процесса комплексообразования заключался в исследовании влияния возрастающих концентраций метаболита абиратерона D4A на интенсивность сигналов электрохимического окисления гуанина, аденина и тимина при постоянной концентрации дсДНК (1.5 мг/мл). Такой подход дает информацию о концентрационной зависимости влияния противоопухолевого препарата метаболита абиратерона D4A на ДНК и позволяет сделать выводы о его воздействии на процессы электрохимического окисления гетероциклических оснований.
Для оптимизации условий регистрации влияния метаболита абиратерона D4A на дсДНК исследовали зависимость интенсивности амплитуды тока электрохимического окисления гуанина, аденина и тимина от времени при постоянной концентрации D4A (100 мкМ) (рис. 3). Из рис. 3б–г видно, что наиболее интенсивное снижение тока электрохимического окисления дсДНК наблюдается для продолжительности инкубации 15 мин. Дальнейшие исследования влияния концентрации метаболита абиратерона D4A на дсДНК проводили при времени образования комплекса 15 мин.
Рис. 3. (а) Дифференциально-импульсные вольтамперограммы ПГЭ/УНТ, ПГЭ/УНТ/D4A и ПГЭ/УНТ/дсДНК (1.5 мг/мл) /D4A (100 мкМ) с различным временем инкубации комплекса. Зависимости интенсивностей сигналов электроокисления при взаимодействии метаболита D4A с ДНК от времени инкубации для: (б) гуанина, (в) аденина и (г) тимина.
Терапевтически значимые концентрации абиратерона находятся в диапазоне микромолярных значений [22, 36–38]. В экспериментах использовали аналогичную шкалу концентраций метаболита D4A 25–200 мкМ. Для анализа влияния метаболита абиратерона D4A в диапазоне концентраций 25–200 мкМ на дсДНК комплекс инкубировали в течение 15 мин и затем регистрировали дифференциально-импульсные вольтамперограммы в диапазоне потенциалов от +0.2 до +1.2 В. На вольтамперограммах наблюдаются три пика в области потенциалов +0.6, +0.9 и +1.1 В, что соответствует электрохимическому окислению гуанина, аденина и тимина соответственно (рис. 4а).
Рис. 4. (а) Дифференциально-импульсные вольтамперограммы ПГЭ/УНТ, ПГЭ/УНТ/ДНК и ПГЭ/УНТ/ДНК (1.5 мг/мл) /D4A с различной концентрацией препарата. Зависимости значений потенциалов электроокисления дсДНК для (б) гуанина и аденина, (в) тимина от концентраций 0–200 мкМ метаболита абиратерона D4A.
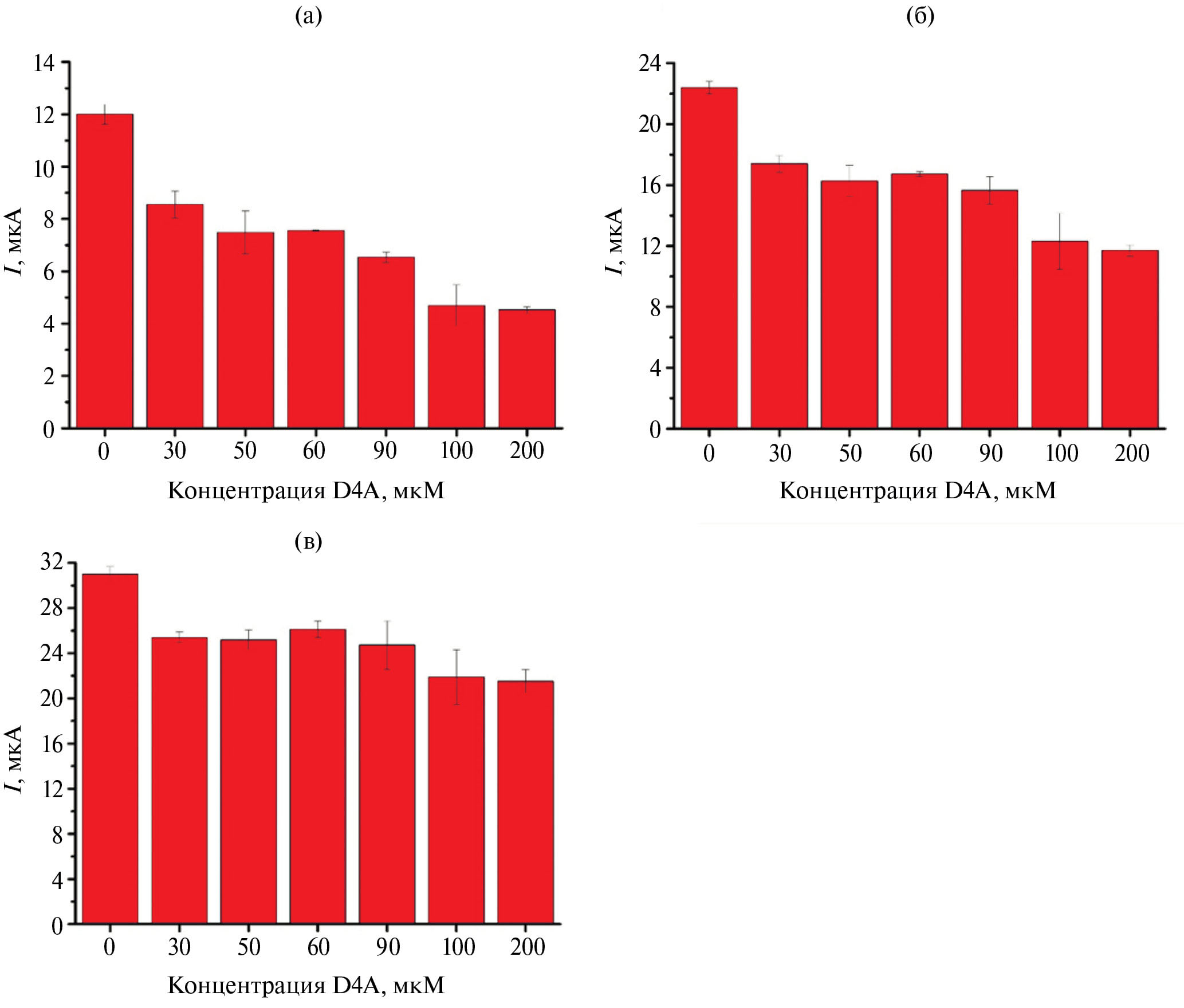
Гистограммы зависимости интенсивности электроокисления гуанина, аденина и тимина от концентрации метаболита абиратерона D4A приведены на рис. 5. Наблюдается концентрационно зависимое (в диапазоне концентраций 25–200 мкМ) снижение интенсивности электроокисления гуанина, аденина и тимина дсДНК. В табл. 1 представлены электроаналитические характеристики комплексов дсДНК/D4A.
Рис. 5. Влияние терапевтических концентраций (0–200 мкМ) метаболита абиратерона D4A на интенсивность электроокисления дсДНК (1.5 мг/мл) (а) гуанина, (б) аденина и (в) тимина.
Таблица 1. Электроаналитические характеристики комплекса дсДНК/D4A
Концентрация метаболита D4A, мкМ | Гуанин | Аденин | Тимин | |||
E ± s, В | I ± s, мкА | E ± s, В | I ± s, мкА | E ± s, В | I ± s, мкА | |
0 | 0.603 ± 0.004 | 12.00 ± 0.38 | 0.890 ± 0.004 | 22.40 ± 0.41 | 1.137 ± 0.005 | 31.00 ± 0.68 |
30 | 0.597 ± 0.002 | 8.55 ± 0.51 | 0.883 ± 0.003 | 17.40 ± 0.55 | 1.123 ± 0.004 | 25.40 ± 0.49 |
50 | 0.598 ± 0.004 | 7.49 ± 0.83 | 0.882 ± 0.006 | 16.27 ± 1.03 | 1.133 ± 0.006 | 25.20 ± 0.86 |
60 | 0.595 ± 0.002 | 7.56 ± 0.03 | 0.880 ± 0.002 | 16.73 ± 0.17 | 1.123 ± 0.005 | 26.13 ± 0.73 |
90 | 0.595 ± 0.002 | 6.54 ± 0.20 | 0.877 ± 0.002 | 15.65 ± 0.90 | 1.129 ± 0.005 | 24.73 ± 2.15 |
100 | 0.583 ± 0.004 | 4.69 ± 0.79 | 0.870 ± 0.008 | 12.30 ± 1.85 | 1.119 ± 0.002 | 21.90 ± 2.43 |
200 | 0.578 ± 0.007 | 4.53 ± 0.12 | 0.862 ± 0.013 | 11.70 ± 0.36 | 1.119 ± 0.002 | 21.53 ± 1.03 |
Примечание: концентрация дсДНК во всех экспериментах 1.5 мг/мл; s – стандартное отклонение.
Необходимым условием проведения анализа комплексообразования ДНК с низкомолекулярными соединениями электрохимическим методом является смещение потенциала электрохимического окисления гетероциклических оснований ДНК (рис. 4б, в) [1–5, 9, 10, 33–35]. Смещение потенциала электроокисления гетероциклических оснований как результат образования комплексов ДНК/лекарство в катодную или анодную область является индикатором для отнесения процесса комплексообразования к определенному типу взаимодействий. В наших экспериментах регистрировали смещение потенциалов электроокисления гуанина и аденина в отрицательную область потенциалов, предполагающее электростатические взаимодействия и образование водородных связей, которые в данном случае могут проявляться в связывании с малой бороздкой ДНК (рис. 4б, в). Зависящее от концентрации снижение интенсивности электроокисления гетероциклических оснований (рис. 5) позволяет рассчитать константы связывания Kb комплекса ДНК/лекарство. Интеркаляционные взаимодействия характеризуются значениями констант 104–106 М-1, электростатические взаимодействия и связывание с малой бороздкой молекулы ДНК за счет образования водородных связей характеризуется значениями порядка 102–104 М-1 [33–35, 39–43].
Константу связывания Kb для процесса образования комплекса дсДНК/D4A (1) рассчитывали по уравнению (2) при постоянной концентрации дсДНК 1.5 мг/мл:
(1)
(2)
где Kb – константа связывания, М-1; IдсДНК –амплитуда тока электроокисления дсДНК; IдсДНК/D4A – амплитуда тока электроокисления комплекса дсДНК/D4A, [D4A] – концентрация D4A, мкМ (рис. 6, табл. 2). Значение константы связывания составило 1.1 × 104, 5.5 × 103 и 2.5 ×103 М-1 для гуанина, аденина и тимина соответственно.
Рис. 6. Зависимость log(1/[D4A]) от log[IДНК/D4A/(IДНК – IДНК/D4A)] для определения значения константы связывания по (а) гуанину, (б) аденину и (в) тимину.
Таблица 2. Константы связывания и значения изменения стандартной свободной энергии Гиббса DG при образовании комплекса дсДНК/D4A
Комплекс | Kb, М-1 | DG = -RT lnKb, кДж/моль |
Гуанин/D4A | 1.1 × 104 | -22.7 |
Аденин/D4A | 5.5 × 103 | -21.0 |
Тимин/D4A | 2.5 × 103 | -19.1 |
Анализ полученных результатов по смещению потенциалов электрохимического окисления гуанина, аденина и тимина при образовании комплекса ДНК-лекарство и значений констант связывания (табл. 2) позволил сделать заключение о механизме взаимодействия метаболита абиратерона D4A с малой бороздкой дсДНК за счет образования водородных связей, способствующих таким взаимодействиям [40–43].
Одной из важнейших характеристик фармакогеномных исследований – ДНК-опосредованный электрохимический коэффициент токсичности препарата (Т, %), который характеризует токсическое влияние лекарства на ДНК [7, 33, 44]. Значения Т оценивали при каждой концентрации метаболита абиратерона D4A как соотношение тока электроокисления оснований по формуле (3):
(3)
где Ib и Is – значения токов электрохимического окисления гетероциклических оснований дсДНК до и после образования комплекса с метаболитом абиратерона D4A. Препарат считается нетоксичным, если Т > 85%; относится к умеренно токсичным, если 50 < Т < 85%, и токсичен, если Т < 50% [7, 33, 44]. При концентрациях метаболита абиратерона D4A 25–200 мкМ проявляется умеренно токсический эффект (табл. 3).
Таблица 3. ДНК-опосредованный электрохимический коэффициент токсичности препарата, Т, % метаболита абиратерона D4A
Концентрация D4A, мкМ | Т ± s, % (n = 3) | |||||
гуанин | аденин | тимин | ||||
30 | 71 ± 4 | Умеренно токсичен | 78 ± 2 | Умеренно токсичен | 82 ± 2 | Умеренно токсичен |
50 | 62 ± 7 | Умеренно токсичен | 73 ± 5 | Умеренно токсичен | 81 ± 3 | Умеренно токсичен |
60 | 63 ± 0 | Умеренно токсичен | 75 ± 1 | Умеренно токсичен | 84 ± 2 | Умеренно токсичен |
90 | 55 ± 2 | Умеренно токсичен | 68 ± 4 | Умеренно токсичен | 80 ± 7 | Умеренно токсичен |
100 | 39 ± 7 | Токсичен | 55 ± 8 | Умеренно токсичен | 71 ± 8 | Умеренно токсичен |
200 | 38 ± 1 | Токсичен | 52 ± 2 | Умеренно токсичен | 69 ± 3 | Умеренно токсичен |
Для предсказания молекулярного механизма взаимодействия D4A с молекулой ДНК провели докинг D4A и абиратерона в известную структуру ДНК. Использовали кристаллическую структуру ДНК с последовательностью первой цепи dCdGdCdGdAdAdTdTdCdGdCdG, вторая цепь была полностью комплементарна первой. Докинг абиратерона и метаболита абиратерона D4A по всей поверхности двойной спирали ДНК показал, что обе молекулы располагались в малой бороздке спирали. Абиратерон и D4A располагались в одном месте связывания, в районе dCdGdCdG первой цепи. Это согласуется с прежними экспериментами по моделированию комплекса абиратерона с ДНК [22] и нашими исследованиями D4A. Сопоставление результатов докинга для абиратерона и метаболита абиратерона D4A показало, что D4A должен более прочно связываться с ДНК, чем абиратерон. Величина оценочной функции для абиратерона составила -8.6 ккал/моль, а для D4A -9.1 ккал/моль. Анализ полученных комплексов показал, что абиратерон может образовывать одну водородную связь с молекулой ДНК, тогда как D4A – две. Абиратерон и метаболит абиратерона D4A формируют водородную связь между атомами азота пиримидиновых колец и аминогруппой четвертого дезоксигуанина dG первой цепи ДНК. У метаболита абиратерона D4A вторая водородная связь образуется между карбонильной группой лиганда и аминогруппой второго дезоксигуанина dG. Причина такого различия заключается в разной конфигурации кольца А стероидного фрагмента (схема 1). Из-за наличия двойной связи в этом кольце изменяется его геометрия, и карбонильная группа метаболита абиратерона D4A располагается ближе к молекуле ДНК, чем гидроксильная группа абиратерона, что и позволяет метаболиту абиратерона D4A образовывать дополнительную водородную связь (рис. 7).
Рис. 7. Модели комплексов (а) абиратерона и (б) D4A с ДНК. Желтыми пунктирными линиями показаны водородные связи.
Результаты молекулярного докинга подтверждают данные электрохимического анализа комплекса дсДНК/D4A. Образование более прочных связей зарегистрировано именно для гуанина с константой связывания 1.1 × 104 М-1 (табл. 2).
В работе [21] исследован комплекс дсДНК с абиратероном. Константы связывания комплекса ДНК/абиратерон, рассчитанные на основе электрохимических исследований (1.63 × 104 М-1 по гуанину, 1.93 × 104 М-1 по аденину), несколько выше, чем Kb комплекса ДНК/D4A, что подтверждает результаты и выводы, полученные с помощью молекулярного докинга.
***
Методом дифференциально-импульсной вольтамперометрии исследованы электроаналитические характеристики двуспиральной ДНК и комплекса дсДНК и противоопухолевого препарата метаболита абиратерона D4А в диапазоне концентраций 30–200 мкМ. Показано влияние D4А на дсДНК, зарегистрированное по изменению тока электрохимического окисления гетероциклических азотистых оснований гуанина, аденина и тимина с использованием электродов, полученных методом трафаретной печати и модифицированных углеродными нанотрубками. Константы связывания (Кb) комплекса дсДНК/D4А для гуанина, аденина и тимина составили 1.1 × 104 М-1, 5.5 × 103 М-1, 2.5 × 103 М-1 соответственно. Рассчитаны ДНК-опосредованные электрохимические коэффициенты токсического эффекта как отношение интенсивности сигналов регистрируемых гетероциклических оснований в присутствии D4А и без лекарства. На основании анализа электрохимических параметров и значений констант связывания сделано предположение о механизме взаимодействия D4А с ДНК преимущественно за счет электростатических взаимодействий и образования водородных связей с гетероциклическими основаниями. Электрохимический ДНК-биосенсор впервые использован для исследования механизма взаимодействия метаболита абиратерона D4А с дсДНК. Выводы о механизме взаимодействия метаболита абиратерона D4А за счет водородных связей с основаниями ДНК, полученные электрохимическими методами, подтверждены с помощью молекулярного моделирования комплекса дсДНК/D4А.
Финансирование работы
Работа выполнена в рамках Программы фундаментальных научных исследований в Российской Федерации на долгосрочный период 2021–2030 гг. (№ 122030100168-2).
Конфликт интересов
Авторы данной работы заявляют, что у них нет конфликта интересов.
About the authors
V. V. Shumyantseva
Orekhovich Research Institute of Biomedical Chemistry; Russian National Research Medical University
Author for correspondence.
Email: viktoria.shumyantseva@ibmc.msk.ru
Faculty of Medicine and Biology
Russian Federation, 119121, Moscow; 117321, MoscowA. V. Berezhnova
Orekhovich Research Institute of Biomedical Chemistry
Email: viktoria.shumyantseva@ibmc.msk.ru
Russian Federation, 119121, Moscow
L. E. Agafonova
Orekhovich Research Institute of Biomedical Chemistry
Email: viktoria.shumyantseva@ibmc.msk.ru
Russian Federation, 119121, Moscow
T. V. Bulko
Orekhovich Research Institute of Biomedical Chemistry
Email: viktoria.shumyantseva@ibmc.msk.ru
Russian Federation, 119121, Moscow
A. V. Veselovsky
Orekhovich Research Institute of Biomedical Chemistry; Russian National Research Medical University
Email: viktoria.shumyantseva@ibmc.msk.ru
Faculty of Medicine and Biology
Russian Federation, 119121, Moscow; 117321, MoscowReferences
- Hasanzadeh M., Shadjou N. Pharmacogenomic study using bio- and nanobioelectrochemistry: Drug–DNA interaction // Mater. Sci. Eng. C. 2016. V. 61. P. 1002.
- Bolat G. Investigation of poly(CTAB-MWCNTs) composite based electrochemical DNA biosensor and interaction study with anticancer drug Irinotecan // Microchem. J. 2020 V. 159. Article 105426.
- Hua Y., Jiaming M., Dachao L., Ridong W. DNA-based biosensors for the biochemical analysis: A review // Biosensors. 2022. V. 12. P. 183.
- Manna S., Sharma, A., Satpati A.K. Electrochemical methods in understanding the redox processes of drugs and biomolecules and their sensing // Curr. Opin. Electrochem. 2022. V. 32. Article 100886.
- Eckel R., Ros R., Ros A., Wilking S.D., Sewald N., Anselmetti D. Identification of binding mechanisms in single molecule–DNA complexes // Biophys. J. 2003 V. 85. P. 1968.
- Das S., Kumar G.S. Molecular aspects on the interaction of phenosafranine to deoxyribonucleic acid: Model for intercalative drug–DNA binding // J. Mol. Struct. 2008. V. 63. P. 87256.
- Pronina V.V., Kostryukova L.V., Bulko T.V., Shumyantseva V.V. Interaction of Doxorubicin embedded into phospholipid nanoparticles and targeted peptide-modified phospholipid nanoparticles with DNA // Molecules. 2023. V. 28. P. 5317.
- Gunaydin-Akyildiz A., Aksoy N., Boran T., Ilhan E.N., Ozhan G. Favipiravir induces oxidative stress and genotoxicity in cardiac and skin cells // Toxicol. Lett. 2022. V. 371. P. 9.
- Ramotowska S., Ciesielska A., Makowski M., What can electrochemical methods offer in determining DNA–drug interactions? // Molecules. 2021. V. 26. P. 3478.
- Morawska K., Popławski T., Ciesielski W., Smarzewska S. Electrochemical and spectroscopic studies of the interaction of antiviral drug Tenofovir with single and double stranded DNA // Bioelectrochemistry. 2018. V. 123. P. 227.
- Chiorcea-Paquim A.M., Oliveira-Brett A.M. Electrochemistry of chemotherapeutic alkylating agents and their interaction with DNA // J. Pharm. Biomed. Anal. 2023. V. 222. Article 115036.
- Eckert K.A., Kunkel T.A. DNA polymerase fidelity and the polymerase chain reaction // PCR Methods Appl. 1991. V. 17. P. 24.
- Шумянцева В.В., Агафонова Л.Е., Булко Т.В., Кузиков А.В., Мамамрех.А., Ян Д., Пергушов Д.В., Сиголаева Л.В. Электроанализ биомолекул: обоснованный выбор сенсорных конструкций // Успехи биологической химии. 2021. Т. 61. С. 295. (Shumyantseva V.V., Agafonova L.E., Bulko T.V., Kuzikov A.V., Masamrekh R.A., Yuan J., Pergushov D.V., Sigolaeva L.V. Electroanalysis of biomolecules: Rational selection of sensor construction // Biochemistry (Moscow) B: Biol. Chem. Rev. 2021. V. 86. P. 140.)
- Paleček E., Bartošík M. Electrochemistry of nucleic acids // Chem. Rev. 2012. V. 112. P. 3427.
- Ferapontova E.E. DNA electrochemistry and electrochemical sensors for nucleic acids // Ann. Rev. Anal. Chem. 2018. V. 11. P. 197.
- Evtugyn G.A., Porfireva A.V., Belyakova S.V. Electrochemical DNA sensors for drug determination // J. Pharm. Biomed. Anal. 2022. V. 221. Article 115058.
- Teles F.R.R., Fonseca L.P. Trends in DNA biosensors // Talanta. 2008. V. 77. P. 606.
- Trotter M., Borst N., Thewes R., Stetten F. Review: Electrochemical DNA sensing – Principles, commercial systems, and applications // Biosens. Bioelectron. 2020. V. 154. Article 112069.
- Blair E.O., Corrigan D.K. A review of microfabricated electrochemical biosensors for DNA detection // Biosens. Bioelectron. 2019. V. 134. P. 57.
- Rehman S.U., Sarwar T., Husain M.A., Ishqi H.M., Tabish M. Studying non-covalent drug–DNA interactions // Arch. Biochem. Biophys. 2015. V. 576. P. 49.
- Пронина В.В., Агафонова Л.Е., Масамрех Р.А., Кузиков А.В., Шумянцева В.В. Взаимодействие противоопухолевого препарата ацетата абиратерона с дцДНК // Biomed. Chem.: Res. Methods. 2022. Т. 5. e00174. (Pronina V., Agafonova L., Masamrekh R., Kuzikov A., Shumyantseva V. Interaction of the anticancer drug abiraterone with dsDNA // Biomed. Chem.: Res. Methods. 2022. V. 5. № 2. Article e00174.)
- Wani T.A., Alsaif N., Bakheit A.H., Zargar S., Al-Mehizia A.A., Khan A.A. Interaction of an abiraterone with calf thymus DNA: Investigation with spectroscopic technique and modelling studies // Bioorg Chem. 2020. V. 100. Article 103957.
- Petrunak E.M., Bart A.G., Peng H.M., Auchus R.J., Scott E. E.. Human cytochrome P450 17A1 structures with metabolites of prostate cancer drug abiraterone reveal substrate-binding plasticity and a second binding site // J. Biol. Chem. 2023. V. 299. Article 102999.
- Li Z., Bishop A.C., Alyamani M., Garcia J.A., Dreicer R., Bunch D. et al. Conversion of abiraterone to D4A drives anti-tumour activity in prostate cancer // Nature. 2015. V. 523. P. 347.
- Li Z., Alyamani M., Li J., Rogacki K., Abazeed M., Upadhyay S.K. et al. Redirecting abiraterone metabolism to fine-tune prostate cancer anti-androgen therapy // Nature. 2016. V. 533. P. 547.
- Masamrekh R.A., Filippova T.A., Haurychenka Y.I., Sherbakov K.A., Veselovsky A.V., Shumyantseva V.V., Kuzikov A.V. The interactions of a number of steroid-metabolizing cytochromes P450 with abiraterone D4A metabolite: spectral analysis and molecular docking // Steroids. 2020. V.162. Article 108693.
- Kuzikov A., Masamrekh R., Filippova T., Haurychenka Y., Shcherbakov K., Veselovsky A., Strushkevich N. et al. Estimation of inhibiting impact of abiraterone D4A metabolite on human steroid 21-monooxygenase (CYP21A2) // Steroids. 2020. V. 154. Article 108528.
- Масамрех Р.А., Кузиков А.В., Филиппова Т.А., Щербаков К.А., Веселовский А.В., Шумянцева В.В. Взаимодействие абиратерона и его фармакологически активного метаболита D4A с цитохромом Р450 2С9 (CYP2C9) // Биомедицинская химия. 2022. Т. 68. № 3. С. 201. (Masamrekh R.A., Kuzikov A.V., Filippova T.A., Sherbakov K.A., Veselovsky A.V., Shumyantseva V.V. Interaction of abiraterone and its pharmacologically active metabolite D4A with cytochrome P450 2C9 (CYP2C9) // Biochemistry (Moscow). Supplement Series B: Biomed. Chem. 2022. V. 16. P. 328.)
- Trott O., Olson A.J. AutoDock Vina: Improving the speed and accuracy of docking with a new scoring function, efficient optimization, and multithreading // J. Comput. Chem. 2010. V. 31. P. 455.
- Carrara S., Baj-Rossi C., Boero C., De Micheli G. Do carbon nanotubes contribute to electrochemical biosensing? // Electrochim. Acta. 2014. V. 128. P. 102.
- Alim S., Vejayan J., Yusoff M.M., Kafi A.K.M. Recent uses of carbon nanotubes & gold nanoparticles in electrochemistry with application in biosensing: A review // Biosens. Bioelectron. 2018. V. 121. P. 125.
- Shumyantseva V.V., Bulko T.V., Tikhonova E.G., Sanzhakov M.A., Kuzikov A.V., Masamrekh R.A. et al. Electrochemical studies of the interaction of rifampicin and nanosome/rifampicin with dsDNA // Bioelectrochemistry. 2021. V. 140. Article 107736.
- Kostryukova L.V., Tereshkina Y.A., Tikhonova E.G., Khudoklinova Y.Y., Bobrova D.V., Gisina A.M., Morozevich G.E., Pronina V.V., Bulko T.V., Shumyantseva V.V. Effect of an NGR peptide on the efficacy of the Doxorubicin phospholipid delivery system // Nanomaterials. 2023. V. 13. P. 2229.
- Shumyantseva V.V., Bulko T.V., Agafonova L.E., Pronina V.V., Kostryukova L.V. Comparative analysis of the interaction between the antiviral drug Umifenovir and Umifenovir encapsulated in phospholipids micelles Nanosome/Umifenovir) with dsDNA as a model for pharmacogenomic analysis by electrochemical methods // Processes. 2023. V. 11. P. 922.
- Agafonova L., Tikhonova E., Sanzhakov M., Kostryukova L., Shumyantseva V. Electrochemical Studies of the interaction of phospholipid nanoparticles with dsDNA // Processes. 2022. V. 10. P. 2324.
- Carrara S., Cavallini A., Erokhin V., Micheli G.D. Multi-panel drugs detection in human serum for personalized therapy // Biosens. Bioelectron. 2011. V. 26. P. 3914.
- Pezaro C.J., Mukherji D., De Bono J.S. Abiraterone acetate: Redefining hormone treatment for advanced prostate cancer // Drug Discov. Today. 2012. V. 17. P. 221.
- Aliakbarinodehi N., Micheli G.D., Carrara S. Enzymatic and nonenzymatic electrochemical interaction of Abiraterone (antiprostate cancer drug) with multiwalled carbon nanotube bioelectrodes // Anal. Chem. 2016. V. 88. P. 9347.
- Bagni G, Osella D, Sturchio E, Macsini M. Deoxyribonucleic acid (DNA) biosensors for environmental risk assessment and drug studies // Anal. Chim. Acta. 2006. V. 573. P. 81.
- Meunier-Presta R., Bouyona A., Rampazzia E., Raveaua S., Andreolettib P., Cherkaoui-Malki M. Electrochemical probe for the monitoring of DNA–protein interactions // Biosens. Bioelectron. 2010. V. 25. P. 2598.
- Lima D., Hacke A.C.M., Inaba J., Pessôa C.A., Kerman K. Electrochemical detection of specific interactions between apolipoprotein E isoforms and DNA sequences related to Alzheimer’s disease // Bioelectrochemistry. 2020. V. 133. Article 107447.
- Zhao M., Ma J., Li M., Zhang Y., Jiang B., Zhao X. et al. Cytochrome P450 enzymes and drug metabolism in humans // Int. J. Mol. Sci. 2021. V. 22. P. 12808.
- Findik M., Bingol H., Erdem A. Hybrid nanoflowers modified pencil graphite electrodes developed for electrochemical monitoring of interaction between Mitomycin C and DNA // Talanta. 2021. V. 222. Article 121647.
- Muti M., Muti M. Electrochemical monitoring of the interaction between anticancer drug and DNA in the presence of antioxidant // Talanta. 2018. V. 178. P. 1033.
Supplementary files










