Determination of Cr and Ni in seawater by high-resolution electrothermal atomic absorption spectrometry with a continuous spectrum source
- Authors: Burylin M.Y.1, Kopeyko E.S.1, Kostyuchenko E.S.1
-
Affiliations:
- Кубанский государственный университет
- Issue: Vol 79, No 3 (2024)
- Pages: 263-271
- Section: ORIGINAL ARTICLES
- Submitted: 09.08.2024
- Accepted: 09.08.2024
- URL: https://journals.rcsi.science/0044-4502/article/view/261411
- DOI: https://doi.org/10.31857/S0044450224030064
- EDN: https://elibrary.ru/vqevan
- ID: 261411
Cite item
Full Text
Abstract
Разработаны условия определения Ni и Cr в морской воде методом электротермической атомно-абсорбционной спектрометрии высокого разрешения с источником сплошного спектра (ВР-ИСС ЭТААС). Азотная кислота использована в качестве химического модификатора. Проведено сравнение аналитических возможностей данного варианта метода с вариантом электротермической атомно-абсорбционной спектрометрии низкого разрешения с линейчатыми источниками излучения (НР-СИС ЭТААС) и дейтериевой коррекцией фона. Градуировочная зависимость построена по стандартным растворам аналитов. Методики определения Cr и Ni апробированы на образцах воды Черного моря по методу введено−найдено. С использованием варианта ВР-ИСС ЭТААС достигнуты пределы обнаружения (мкг/л): 0.12 для Cr и 0.09 для Ni (дозировка 80 мкл). Для метода НР-СИС ЭТААС эти показатели хуже: 0.6 мкг/л (Cr) и 1 мкг/л (Ni) при дозируемом объеме пробы морской воды 10 мкл. Показана возможность применения метода ЭТААС для прямого определения содержаний Cr и Ni в морской воде на уровне на два порядка ниже предельно допустимых концентраций.
Full Text
Хром и никель относятся к числу “олигоэлементов” [1], которые влияют на живые организмы, в том числе и морские. Источниками поступления хрома и никеля в природные воды являются отходы и сточные воды металлургии, производства кож, красок, пигментов [2, 3]. Загрязнения металлами вносят затонувшие в морях и океанах корабли [4]. Таким образом, эти элементы могут поступать в живые организмы из воздуха, почвы, с питьевой водой, из пищевых продуктов, включая морепродукты [1, 5, 6].
В незагрязненных морских водах невозможно напрямую определить Cr и Ni спектроскопическими методами, так как уровень содержаний составляет менее n×10–2 мкг/л [7, 8]; требуется предварительное концентрирование аналитов.
Предельно допустимые концентрации Cr и Ni в морских водах, регламентируемые Всемирной организацией здравоохранения, составляют 20 и 100 мкг/л соответственно [9]. Превышение этих значений губительно воздействует на дыхательные органы и кровеносную систему рыб [10]. Для прямого определения элементов на таком уровне можно применять спектроскопические методы [9, 11] – масс-спектрометрию и атомно-эмиссионную спектрометрию с индуктивно связанной плазмой (МС-ИСП и АЭС-ИСП), электротермическую атомно-абсорбционную спектрометрию (ЭТААС). При этом всегда проявляются помехи, связанные с большим содержанием (более 30 г/л [12]) неорганических солей в морской воде (хлориды и сульфаты натрия, магния, кальция и калия). Присутствие в электротермическом атомизаторе больших масс солевой матрицы таких проб обусловливает чрезвычайно высокий уровень фонового поглощения, которое во многих случаях не может быть корректно учтено существующими системами коррекции фона. Другая причина регистрации ошибочных результатов – это различия в чувствительности атомно-абсорбционных измерений при дозировании градуировочного раствора аналита и анализируемого раствора, содержащего матрицу. В этом случае для градуировки традиционно применяют метод добавок или способ дополнительного градуирования [13]. Для устранения перечисленных влияний, например при определениях методом ЭТААС, применяют химические модификаторы [13, 14–16], оптимизацию температурно-временной программы атомизатора [17, 18], многократное дозирование анализируемой пробы [19] и процедуры предварительного отделения определяемых элементов [20]. Так, при использовании азотной и щавелевой кислот [17] для определения хрома достигнут предел обнаружения 0.042 мкг/л. С применением химической модификации Pd(NO3)2 и многократного дозирования предел обнаружения никеля составил 0.1 мкг/л для дозируемого объема пробы 200 мкл [19].
Для усовершенствования метода атомно-абсорбционной спектрометрии разработаны спектрометры высокого разрешения с источником сплошного спектра (ВР-ИСС ЭТААС), позволяющие наблюдать спектральное окружение выбранной аналитической линии и оснащенные наиболее современной системой коррекции фона. При этом регистрация сигналов осуществляется твердотельными полупроводниковыми детекторами с разрешением порядка 2 пм. Модернизирована также конструкция электротермического атомизатора [21] – использовано боковое относительно графитовой трубки расположение нагревательных электродов. Описано применение спектрометров высокого разрешения (серии contrAA) для определения в морской воде Cu [22, 23], Al [24], Mn [23]. Кроме того, метод ВР-ИСС ЭТААС в сочетании с предварительным концентрированием использован для определения ряда аналитов. Пределы обнаружения составили (мкг/л): 0.005 (Bi) [25], 0.004 (Fe) и 0.0005 (Zn) [26], 0.001 (Cd) и 0.03 (Pb) [27]. Данные о применении ЭТААС высокого разрешения с источником сплошного спектра для определения Cr и Ni в морской воде на сегодняшний день отсутствуют.
Цель настоящей работы состояла в разработке условий определения Cr и Ni в морской воде методом ВР-ИСС ЭТААС и сопоставлении аналитических характеристик двух вариантов метода ЭТААС – высокого разрешения с источником сплошного спектра и низкого разрешения с селективными источниками спектра (НР-СИС) – при определении Cr и Ni в морской воде.
ЭКСПЕРИМЕНТАЛЬНАЯ ЧАСТЬ
Использовали атомно-абсорбционный спектрометр “contrAA800” высокого разрешения с источником сплошного спектра (ксеноновая лампа высокого давления) с боковым расположением нагревающих электродов; автодозатор AS-GF, графитовые трубками с пиропокрытием (все Analytic Jena, Германия). Выбраны наиболее чувствительные аналитические линии 357.869 нм (Cr) и 232.003 нм (Ni) [28]. Абсорбцию обоих аналитов регистрировали набором пикселей CP ± 3 (CP – центральный пиксель). Данный параметр выбрали в соответствии с рекомендациями [28], а также по результатам собственных измерений, показавших наилучшую чувствительность определений и наибольший линейный диапазон градуировочной зависимости при таком наборе детекторов.
Сопоставили аналитические возможности вариантов ВР-ИСС ЭТААС и НР-СИС ЭТААС. Последний представлен спектрометром АА-6800 с дейтериевой коррекцией неселективного поглощения, блоком электротермической атомизации GFA-EX7 с торцевым расположением нагревающих электродов, автодозатором ASC6100 (все Shimadzu, Япония) и графитовыми трубками с пиропокрытием (VEB Elektrokohle Lichtenberg, Германия). Использовали линейчатые источники излучения – лампы с полым катодом из Cr и Ni (Shimadzu, Япония). Режимы работы спектрометра: (длина волны, нм/ширина щели, нм/ток лампы, мА): Cr – 357.9/0.2/8; Ni – 232.0/0.2/10.
Типичные режимы блоков электротермической атомизации (для обеих схем ЭТААС) представлены в табл. 1. Дозируемый объем составлял 10 и 20 мкл. В качестве защитного газа использовали аргон повышенной чистоты (ЗАО “Кубаньтехгаз”, Россия, объемная доля аргона – не менее 99.998%). Измеряемый аналитический сигнал: абсорбция и интегральная абсорбция.
Определение хрома проводили, основываясь на рекомендациях для электротермического атомно-абсорбционного определения общего хрома в природных водах [29]. В указанной методике отобранные пробы воды без видимой взвеси или осадка подкисляют азотной кислотой.
Рабочие растворы Cr и Ni готовили разбавлением стандартных растворов Cr(VI) и Ni(II) с концентрацией аналитов 1 г/л (ВНИИМ им. Д.И. Менделеева, Россия) 1 или 2%-ной (по объему) HNO3 в бидистиллированной воде в день их использования. При изучении влияния матрицы морской воды на аналитические сигналы элементов для приготовления модельных растворов использовали образец незагрязненной воды, отобранной с поверхностного слоя Черного моря в районе г. Туапсе.
Таблица 1. Программа работы электротермического атомизатора
Стадия | Время, с | Температура, °C | Скорость нагрева, °C/с | Скорость защитного газа, л/мин |
Сушка | 40 | 105 | 5 | 0.5* / max** |
Пиролиз | 40 | Оптимизирована | 100 | 0.2* / max** |
Атомизация | 4 | Оптимизирована | 1500 | 0* / stop** |
Очистка | 4 | 2600 | 500 | 1.5* / max** |
* Для спектрометра AA-6800, ** для спектрометра ContrAA800.
РЕЗУЛЬТАТЫ И ИХ ОБСУЖДЕНИЕ
Исследовали влияние матрицы морской воды на атомную абсорбцию Cr и Ni при использовании обоих вариантов метода ЭТААС. Для этого на первом этапе определяли оптимальные значения температур стадий пиролиза и атомизации Cr и Ni при дозировании стандартных растворов элементов. Результаты измерений показали одинаковые для вариантов ЭТААС высокого и низкого разрешения значения температур (рис. 1): пиролиз при 1300 оC (Cr) и 1000 оC (Ni); атомизация при 2400 оC (Cr) и 2300 оC (Ni). Значение стандартного отклонения при пяти параллельных измерениях интегральной абсорбции фоновых растворов (бидистиллированная вода с добавкой азотной кислоты) составило менее 0.001 с (измерение интегральной абсорбции)
По результатам измерений абсорбции аналитов при дозировании морской воды, в которой Cr и Ni напрямую не определяются методом ЭТААС, откорректировали температурные режимы стадий пиролиза и атомизации. Они должны обеспечить исключение влияния фонового сигнала (провал селективной абсорбции в отрицательную область или формирование абсорбции аналитов за счет нескомпенсированного фонового поглощения) и регистрацию нулевых значений селективной абсорбции. В растворы исследуемой морской воды перед дозированием дополнительно вводили азотную кислоту до концентрации 1 об. % при определении Cr и 2 об. % при определении Ni. При измерениях по варианту ВР-ИСС зарегистрировали практически нулевые значения интегральной абсорбции для обоих элементов (значения интегральной абсорбции не более 0.010 c). Для никеля имеет место незначительное фоновое поглощение. Значения стандартного отклонения результатов пяти параллельных измерений интегральной абсорбции матрицы морской воды увеличились до 0.002 с. При измерениях по варианту НР-СИС зарегистрировали нулевые сигналы абсорбции никеля в присутствии 2%-ной (по объему) азотной кислоты. При этом уровень фонового поглощения существенно снизился (рис. 2а, 2б). Значения стандартного отклонения результатов пяти параллельных измерений интегральной абсорбции элементов с дозированием морской воды составили около 0.004 с. Как видно, для обоих вариантов метода ЭТААС в присутствии матрицы морской воды ухудшается повторяемость атомно-абсорбционных измерений в сравнении с подкисленными стандартными растворами на основе бидистиллированной воды.
Рис. 1. Зависимости аналитических сигналов Ni (▲) и Cr (■) от температуры стадий пиролиза и атомизации: (а) – абсорбция, (б) – интегральная абсорбция.
Измеряли атомную абсорбцию аналитов с дозированием растворов на основе морской воды с добавками определяемых элементов (мкг/л): 5 или 10 для Cr, 50 или 20 для Ni. Применили критерий оптимизации режимов программы атомизаторов – совпадение чувствительности определения элементов при дозировании стандартных растворов и растворов на основе матрицы морской воды. Для выполнения этого критерия допустили применение разных температурных режимов на стадиях работы программы атомизатора при определении аналитов в градуировочных растворах и в анализируемых пробах морской воды. Как видно, в варианте ВР-ИСС зарегистрированные значения интегральной абсорбции практически совпадают при дозировании стандартных растворов Cr и Ni и морской воды. Для никеля получили значения 0.109 и 0.107 для стандартного раствора и для морской воды с добавкой аналита (рис. 3), для хрома – 0.212 и 0.211 соответственно (рис. 4). Фоновое поглощение полностью учитывается системой коррекции спектрометра, отсутствуют спектральные наложения соседних линий (рис. 3в, 3г; рис. 4в, 4г). Значения характеристических масс элементов при дозировании стандартных растворов и растворов морской воды с добавками аналитов совпадают (пг): для Ni 8 для Cr 2. Такое совпадение достигнуто только при измерении значений интегральной абсорбции. В дальнейшем при использовании варианта ВР-ИСС всегда измеряли интегральную абсорбцию.
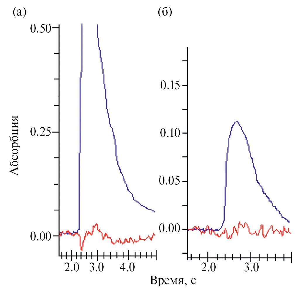
Рис. 2. Аналитические сигналы Ni (а) и Cr (б) в присутствии морской воды (дозировка 10 мкл): абсорбция (красный цвет) и фоновый сигнал (синий цвет).
Метод НР-СИС также позволил провести прямое определение добавок Ni и Cr в морской воде. Для выравнивания чувствительности атомно-абсорбционных измерений с дозированием стандартных растворов элементов и растворов морской воды с добавками аналитов необходимо повысить значения температур стадий пиролиза на 100 оС для хрома (рис. 5е, 5ж) и на 200 оС для никеля (рис. 5а, 5в). Таким образом, фоновое поглощение удалось скорректировать. При регистрации амплитуды абсорбции достигнута лучшая чувствительность атомно-абсорбционных измерений, как это рекомендовано производителем оборудования [30]. Значения характеристических масс составили для Ni 9 пг, для Cr 6 пг как при дозировании стандартного раствора, так и морской воды с добавкой аналита.
В последующих исследованиях использовали режимы работы электротермического атомизатора, которые предусматривают разные значения температур стадий пиролиза при дозировке градуировочных растворов и проб.
Для обоснования способа градуировки построили зависимости абсорбции от концентрации аналитов по стандартным растворам и по растворам морской воды с добавками определяемых элементов. Используемые для определения элементов температуры стадий пиролиза приведены в табл. 2.
Сравнение коэффициентов регрессий полученных уравнений градуировочных зависимостей (табл. 3) показало, что для варианта ВР-ИСС они различаются не более чем на 2.5 отн. %. При использовании варианта НР-СИС наклоны графиков отличаются на 13 отн. % для хрома и на 10 отн. % для никеля. Таким образом, можно сделать вывод о возможности использования серии стандартных растворов элементов на основе бидистиллированной воды с добавкой азотной кислоты для определения Cr и Ni в морской воде. Погрешности определения меньше в 4–5 раз при применении варианта ВР-ИСС ЭТААС.
Оптимизированные параметры температурно-временной программы апробировали при анализе образца морской воды Черного моря по методу введено–найдено. В исходной незагрязненной пробе морской воды не удалось зарегистрировать значимые аналитические сигналы Cr и Ni. Результаты определения аналитов в искусственно загрязненной пробе морской воды показали удовлетворительное совпадение значений найденных и введенных концентраций (табл. 4). Достигнутые уровни нижней границы определяемых концентраций при использовании варианта ВР-ИСС ЭТААС существенно ниже, чем для варианта НР-СИС (табл. 5). Этому способствует более высокая повторяемость параллельных измерений (меньшие значения стандартного отклонения результатов параллельных измерений абсорбции).
Рис. 3. Аналитический сигнал никеля: (а), (в) – стандартный раствор с концентрацией 10 мкг/л; (б), (г) – морская вода с добавкой 10 мкг/л аналита; дозировка 20 мкл. Абсорбция (красный цвет) и фоновый сигнал (синий цвет).
Рис. 4. Аналитический сигнал хрома: (а), (в) – стандартный раствор с концентрацией 10 мкг/л; (б), (г) – морская вода с добавкой 10 мкг/л аналита; дозировка 10 мкл. Абсорбция (красный цвет) и фоновый сигнал (синий цвет).
Рис. 5. Аналитические сигналы никеля ((а) – стандартный раствор с концентрацией 50 мкг/л, tпир = 1000 оC; (б) – морская вода с добавкой 50 мкг/л аналита, tпир = 1000 оC; (в) – морская вода с добавкой 50 мкг/л, tпир = 1200 оC) и хрома ((г) – стандартный раствор с концентрацией 5 мкг/л, tпир = 1300 оC; (д) – морская вода с добавкой 5 мкг/л аналита, tпир = 1300 оC; (е) – морская вода с добавкой 5 мкг/л аналита, tпир = 1400 оC; (ж) – стандартный раствор с концентрацией 5 мкг/л, tпир = 1400 оC): абсорбция (красный цвет) и фоновый сигнал (синий цвет), дозировка всегда 10 мкл.
Таблица 2. Оптимальные температуры стадий пиролиза для определения элементов
Метод | Температура стадии при дозировании, оС | |
стандартных растворов | растворов морской воды с добавкой аналита | |
Высокое разрешение с источником сплошного спектра | 1300 – определение Cr 1000 – определение Ni | |
Низкое разрешение с селективными источниками спектра | 1400 – определение Cr 1000 – определение Ni | 1400 – определение Cr 1200 – определение Ni |
Для снижения предела обнаружения никеля применили многократное дозирование пробы морской воды [19]. Значение дозируемого объема можно увеличить до 80 мкл. Такой прием позволил понизить предел обнаружения элемента до 0.09 мкг/л. При определении хрома в морской воде максимально допустимый дозируемый в графитовую трубку объем пробы не превышает 10 мкл. Дальнейшее увеличение объема дозировки не приводит к пропорциональному увеличению измеряемых значений абсорбции.
Таблица 3. Параметры градуировочных зависимостей при определении Cr и Ni
Элемент | Коэффициент регрессии для градуировочной зависимости | |
построена по стандартным растворам | построена по растворам морской воды с добавкой аналита | |
Высокое разрешение с источником сплошного спектра | ||
Cr | 0.0162 | 0.0158 |
Ni | 0.0117 | 0.0115 |
Низкое разрешение с селективными источниками спектра | ||
Cr | 0.0055 | 0.0062 |
Ni | 0.0029 | 0.0026 |
Таблица 4. Результаты определения Cr и Ni в морской воде по методу введено–найдено (n = 5, P = 0.95)
Метод | Элемент | Введено, мкг/л | Найдено, мкг/л | Аналитический выход, % |
Низкое разрешение с селективными источниками спектра | Cr | 7 | 6.5 ± 0.8 | 93 ± 11 |
15 | 13.3 ± 1.6 | 89 ± 11 | ||
Ni | 15 | 13.8 ± 1.5 | 92 ± 10 | |
40 | 38 ± 4 | 95 ± 10 | ||
Высокое разрешение с источником сплошного спектра | Cr | 7 | 6.7 ± 0.6 | 96 ± 9 |
15 | 14.2 ± 1.5 | 95 ± 10 | ||
Ni | 3 | 2.9 ± 0.3 | 97 ± 11 | |
30 | 28.3 ± 3.4 | 94 ± 12 |
Таблица 5. Аналитические характеристики результатов определения Cr и Ni в морской воде (n = 5, P = 0.95)
Метод | Элемент | Линейный диапазон, мкг/л | Предел определения, мкг/л |
Низкое разрешение с селективными источниками спектра | Cr | 2–20 | 0.6* |
Ni | 3–120 | 1* | |
Высокое разрешение с источником сплошного спектра | Cr | 0.5–25 | 0.12* |
Ni | 1–50 | 0.29**, 0.09*** |
* Объем дозировки 10 мкл, ** объем дозировки 20 мкл, *** объем дозировки 80 мкл.
* * *
Таким образом, сопоставлены аналитические возможности двух вариантов метода ЭТААС – высокого разрешения с источником сплошного спектра и низкого разрешения с селективными источниками спектра. Метод ЭТААС может быть успешно применен для оценки безопасности морских вод, так как обеспечивает приемлемую чувствительность прямого определения элементов – более чем на два порядка ниже значений предельно допустимых концентраций. Заметное преимущество по пределам обнаружения элементов имеет вариант ВР-ИСС ЭТААС. При определении хрома достигнуто меньшее в сравнении с вариантом НР-СИС значение характеристической массы. Кроме того, измерения интегральной абсорбции характеризуются намного более высокой повторяемостью результатов измерений (вариант ВР-ИСС). Несмотря на высокое содержание солевой матрицы, возможно выполнять атомно-абсорбционные измерения с использованием варианта ЭТААС низкого разрешения с селективными источниками спектра и наименее эффективной дейтериевой коррекцией фона. Некорректируемые спектральные наложения на атомные линии поглощения Cr и Ni от матрицы морской воды при этом не зафиксированы.
Применение подхода выравнивания чувствительности ЭТААС-измерений при дозировании стандартных растворов и проб морской воды позволяет использовать стандартные растворы элементов для определения аналитов, что значительно упрощает процедуру анализа. Это достигнуто за счет использования различных температур стадии пиролиза при дозировании стандартных растворов и анализируемых проб морской воды. По-видимому, дальнейшее снижение нижней границы определяемых концентраций элементов в морских водах методом ЭТААС возможно только с применением процедур концентрирования. Увеличение объема дозировки как способ снижения уровня определяемых концентраций оказалось успешным только при определении никеля по варианту ВР-ИСС. Максимально допустимый объем дозирования составил 80 мкл.
Исследования проводили в рамках выполнения гранта РНФ (№ 23-23-00019) с использованием научного оборудования ЦКП “Эколого-аналитический центр” Кубанского госуниверситета.
About the authors
M. Yu. Burylin
Кубанский государственный университет
Email: kopeikoelena@yandex.ru
Russian Federation, ул. Ставропольская, 149, Краснодар, 350040
E. S. Kopeyko
Кубанский государственный университет
Author for correspondence.
Email: kopeikoelena@yandex.ru
Russian Federation, ул. Ставропольская, 149, Краснодар, 350040
E. S. Kostyuchenko
Кубанский государственный университет
Email: kopeikoelena@yandex.ru
Russian Federation, ул. Ставропольская, 149, Краснодар, 350040
References
- Amais R., Ribeiro. J., Segatelli M., Yoshida I., Luccas P., Tarley C. Assessment of nanocomposite alumina supported on multi-wall carbon nanotubes as sorbent for on-line nickel preconcentration in water samples // Sep. Purif. Technol. 2007. V. 58. № . 1. P. 122. https://doi.org/10.1016/j.seppur.2007.07.024
- Padarauskas A.V., Kazlauskiene L.G. Ion-pair chromatographic determination of chromium (VI) // Talanta. 1993. V. 40. № . 6. P. 827.https://doi.org/10.1016/0039-9140(93)80037-r
- Pretty J.R., Blubaugh E.A., Caruso J.A., Davidson T.M. Determination of chromium (VI) and vanadium (V) using an online anodic stripping voltammetry flow cell with detection by inductively coupled plasma mass spectrometry // Anal. Chem. 1994. V. 66. № . 9. P. 1540. https://doi.org/10.1021/ac00081a029
- Van Landuyt J., Kundu K., Van Haelst S., Neyts M., Parmentier K., De Rijcke M., Boon N. 80 years later: Marine sediments still influenced by an old war ship // Front. Mar. Sci. 2022. P. 1973. https://doi.org/10.3389/fmars.2022.1017136
- Özzeybek G., Alacakoç B., Kocabaş M.Y., Bakırdere E.G., Chormey D.S., Bakırdere S. Trace determination of nickel in water samples by slotted quartz tube-flame atomic absorption spectrometry after dispersive assisted simultaneous complexation and extraction strategy // Environ. Monit. Assess. 2018. V. 190. № . 9. P. 1. https://doi.org/10.1007/s10661-018-6884-z
- Tuzen M., Saygi K.O., Soylak M. Solid phase extraction of heavy metal ions in environmental samples on multiwalled carbon nanotubes // J. Hazard. Mater. 2008. V. 152. № . 2. P. 632. https://doi.org/10.1016/j.jhazmat.2007.07.026
- Otero-Romaní J., Moreda-Piñeiro A., Bermejo-Barrera P., Martin-Esteban A. Synthesis, characterization and evaluation of ionic-imprinted polymers for solid-phase extraction of nickel from seawater // Anal. Chim. Acta. 2008. V. 630. № . 1. P. 1. https://doi.org/10.1016/j.aca.2008.09.049
- López-García I., Briceño M., Vicente-Martínez Y., Hernández-Córdoba M. Ultrasound-assisted dispersive liquid–liquid microextraction for the speciation of traces of chromium using electrothermal atomic absorption spectrometry // Talanta. 2013. V. 115. P. 166. https://doi.org/10.1016/j.talanta.2013.04.052
- Baysal A., Akman S. Assessment of chromium and nickel levels in surface sea waters and sediments from industrial marine area in Tuzla Aydinli Bay, Istanbul Turkey // Mar. Pollut. Bull. 2018. V. 130. P. 293. https://doi.org/10.1016/j.marpolbul.2018.03.033
- Sall M.L., Diaw A.K.D., Gningue-Sall D., Efremova Aaron S., Aaron J.-J. Toxic heavy metals: impact on the environment and human health, and treatment with conducting organic polymers, A review // Environ. Sci. Pollut. Res. 2020. V. 27. № . 24. P. 29927. https://doi.org/10.1007/s11356-020-09354-3
- Otero-Romaní J., Moreda-Piñeiro A., Bermejo-Barrera P., Martin-Esteban A. Inductively coupled plasma–optical emission spectrometry/mass spectrometry for the determination of Cu, Ni, Pb and Zn in seawater after ionic imprinted polymer based solid phase extraction // Talanta. 2009. V. 79. № . 3. P. 723. https://doi.org/10.1016/j.talanta.2009.04.066
- Huber C., Klimant I., Krause C., Werner T., Mayr T., Wolfbeis O.S. Optical sensor for seawater salinity // Fresenius J. Anal. Chem. 2000. V. 368. P. 196. https://doi.org/10.1007/s002160000493
- Пупышев А.А. Атомно-абсорбционный спектральный анализ. М.: Техносфера, 2009. С. 617.
- Соболев Н.А., Иванченко Н.Л., Кожевников А.Ю. Прямое определение свинца в морской воде методом атомно-абсорбционной спектроскопии высокого разрешения с использованием смешанного модификатора нитрат бария–фтороводородная кислота // Журн. аналит. химии. 2019. T. 74. № 5. С. 350. doi: 10.1134/S0044450219020129 (Sobolev N.A., Ivanchenko N.L., Kozhevnikov A.Y. Direct determination of lead in sea water by high-resolution atomic absorption spectroscopy using a mixed modifier barium nitrate–hydrofluoric acid // J. Anal. Chem. 2019. V. 74. № . 5. P. 444).https://doi.org/10.1134/s1061934819020126
- Acar O., Türker A.R., Kılıç Z. Direct determination of bismuth, indium and lead in sea water by Zeeman ETAAS using molybdenum containing chemical modifiers // Talanta. 1999. V. 49. № . 1. P. 135. https://doi.org/10.1016/s0039-9140(98)00358-0
- Acar O. Determination of cadmium, copper and lead in soils, sediments and sea water samples by ETAAS using a Sc+ Pd+ NH4NO3 chemical modifier // Talanta. 2005. V. 65. № . 3. P. 672. https://doi.org/10.1016/j.talanta.2004.07.035
- Cabon J.Y., Le Bihan A. The determination of Cr, Cu and Mn in seawater with transversely heated graphite furnace atomic absorption spectrometry // Spectrochim. Acta B. 1995. V. 50. № . 13. P. 1703. https://doi.org/10.1134/s106193481902012618.
- Cabon J.Y., Giamarchi P., Le Bihan A. Determination of iron in seawater by electrothermal atomic absorption spectrometry and atomic fluorescence spectrometry: A comparative study // Anal. Chim. Acta. 2010. V. 664. № . 2. P. 114. https://doi.org/10.1016/j.aca.2010.02.014
- Bermejo-Barrera P., Moreda-Pineiro J., Moreda-Pineiro A., Bermejo-Barrera A. Direct electrothermal atomic absorption spectrometry determination of nickel in sea water using multiple hot injection and Zeeman correction // Talanta. 1998. V. 45. № . 5. P. 807. https://doi.org/10.1016/s0039-9140(97)00159-8
- Dadfarnia S., Shakerian F., Shabani A.M.H. Suspended nanoparticles in surfactant media as a microextraction technique for simultaneous separation and preconcentration of cobalt, nickel and copper ions for electrothermal atomic absorption spectrometry determination // Talanta. 2013. V. 106. P. 150. https://doi.org/10.1016/0584-8547(88)80071-5
- De Loos-Vollebregt M.T.C., De Galan L. Furnace design in electrothermal atomization-atomic absorption spectrometry // Spectrochim. Acta B. 1988. V. 43. № . 4–5. P. 439. https://doi.org/10.1016/0584-8547(88)80071-5
- González-Álvarez R.J., Bellido-Milla D., Pinto J.J., Moreno C. A handling-free methodology for rapid determination of Cu species in seawater based on direct solid micro-samplers analysis by high-resolution continuum source graphite furnace atomic absorption spectrometry // Talanta. 2020. V. 206. Article 120249.https://doi.org/10.1016/j.talanta.2019.120249
- Burylin M.Y., Kopeyko E.S., Bauer V.A. Determination of Cu and Mn in seawater by high-resolution continuum source graphite furnace atomic absorption spectrometry // Anal. Lett. 2022. V. 55. № . 10. P. 1663. https://doi.org/10.1080/00032719.2021.2020806
- Salomon S., Giamarchi P., Le Bihan A., Becker-Rob H., Heitmann U. Improvements in the determination of nanomolar concentrations of aluminium in seawater by electrothermal atomic absorption spectrometry // Spectrochim. Acta B. 2000. V. 55. № . 8. P. 1337.https://doi.org/10.1016/s0584-8547(00)00240-8
- Krawczyk-Coda M. Halloysite nanotubes as a solid sorbent in ultrasound-assisted dispersive micro solid-phase extraction for the determination of bismuth in water samples using high-resolution continuum source graphite-furnace atomic absorption spectrometry // Spectrochim. Acta B. 2017. V. 129. P. 21. https://doi.org/10.1016/j.sab.2017.01.003
- Krawczyk M., Jeszka-Skowron M., Matusiewicz H. Sequential multi-element determination of iron and zinc in water samples by high-resolution continuum source graphite furnace atomic absorption spectrometry after column solid-phase extraction onto multiwalled carbon nanotubes // Microchem. J. 2014. V. 117. P. 138. https://doi.org/10.1016/j.microc.2014.06.023
- Krawczyk M., Jeszka-Skowron M. Multiwalled carbon nanotubes as solid sorbent in dispersive micro solid-phase extraction for the sequential determination of cadmium and lead in water samples // Microchem. J. 2016. V. 126. P. 296. https://doi.org/10.1016/j.microc.2015.12.027
- Welz B., Becker-Ross H., Florek S., Heitmann U. High-Resolution Continuum Source AAS. 2nd Ed. Weinheim: Wiley-VCH Verlag GmbH & Co, KGaA, 2005. 295 p.https://doi.org/10.1002/3527606513
- ISO 9174:1998 Water quality – Determination of chromium – Atomic absorption spectrometric methods. Switzerland: International Organization for Standardization. 70 p.
- https://dokumen.tips/documents/aa-6800-6650imverfocr/ (15.12.2022).
Supplementary files







