Nanocomposites Based on Multi-Walled Carbon Nanotubes, Magnetite Nanoparticles, and Core–Shell Molecularly Imprinted Polymers in Piezoelectric Sensors for the Determination of Macrolide Antibiotics
- Authors: Bizina E.V.1, Efrosinina A.V.1, Farafonova O.V.1, Zolotareva N.I.2, Grazhulene S.S.2, Ermolaeva T.N.1
- 
							Affiliations: 
							- Lipetsk State Technical University
- Institute for Problems of Microelectronics Technology and High-Purity Materials, Russian Academy of Sciences
 
- Issue: Vol 78, No 11 (2023)
- Pages: 1032-1042
- Section: ORIGINAL ARTICLES
- Submitted: 26.12.2023
- URL: https://journals.rcsi.science/0044-4502/article/view/232872
- DOI: https://doi.org/10.31857/S0044450223110038
- EDN: https://elibrary.ru/MQSLEW
- ID: 232872
Cite item
Full Text
Abstract
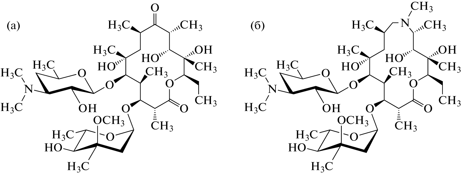
A piezoelectric sensor with a recognition layer based on magnetic carbon nanocomposites, including multi-walled carbon nanotubes, magnetic Fe3O4 nanoparticles, and polymer nanospheres with molecular imprints of erythromycin and azithromycin, obtained by the “core–shell” method, is developed. Silicon dioxide particles are used as cores, on the surface of which a shell molecularly imprinted with macrolides is synthesized by free radical polymerization or the sol–gel method. SiO2 particles are obtained by the Stober method by varying the ratio of reagents during the synthesis. The size of the cores and nanoparticles of molecularly imprinted polymers (MIP) is determined by atomic force microscopy, and the density and uniformity of the layer on the surface of magnetic carbon nanocomposites (MCNC) are determined by the piezoelectric quartz crystal microbalance method. The optimal ratio of the reagents (template : functional monomer : cross-monomer) is established by a spectrophotometric method during the synthesis of “core–shell” nanostructures by free radical polymerization. A thin shell of SiO2 with imprints of an antibiotic based on organosilicon compounds used in the synthesis of the core is formed by the sol–gel method on the surface of the silicon dioxide core. The sensor recognition layer is formed under the action of an external magnetic field. The dependence of the analytical signal of the sensor based on MIP@SiO2/MCNC on concentration is linear in the range 5–160 µg/mL for azithromycin and 10–160 µg/mL for erythromycin, and with a recognition layer based on SiO2@SiO2/MCNC, in the concentration range 20–400 µg/mL for erythromycin.
About the authors
E. V. Bizina
Lipetsk State Technical University
														Email: katarina.bizina1821@mail.ru
				                					                																			                												                								398055, Lipetsk, Russia						
A. V. Efrosinina
Lipetsk State Technical University
														Email: katarina.bizina1821@mail.ru
				                					                																			                												                								398055, Lipetsk, Russia						
O. V. Farafonova
Lipetsk State Technical University
														Email: katarina.bizina1821@mail.ru
				                					                																			                												                								398055, Lipetsk, Russia						
N. I. Zolotareva
Institute for Problems of Microelectronics Technology and High-Purity Materials, Russian Academy of Sciences
														Email: katarina.bizina1821@mail.ru
				                					                																			                												                								142432, Chernogolovka, Russia						
S. S. Grazhulene
Institute for Problems of Microelectronics Technology and High-Purity Materials, Russian Academy of Sciences
														Email: katarina.bizina1821@mail.ru
				                					                																			                												                								142432, Chernogolovka, Russia						
T. N. Ermolaeva
Lipetsk State Technical University
							Author for correspondence.
							Email: katarina.bizina1821@mail.ru
				                					                																			                												                								398055, Lipetsk, Russia						
References
- Guliy O.I., Zaitsev B.D., Smirnov A.V., Karavaeva O.A., Borodina I.A. Prospects of acoustic sensor systems for antibiotic detection // Biosens. Bioelectron. 2022. V. 12. Article 100274.
- Skládal P. Piezoelectric biosensors // Trends Anal. Chem. 2016. V. 79. № 5. P. 127.
- Ермолаева Т.Н., Калмыкова Е.Н., Шашканова О.Ю. Пьезокварцевые биосенсоры для анализа объектов окружающей среды, пищевых продуктов и клинической диагностики // Рос. хим. журн. 2008. Т. 52. № 2. С. 17. (Ermolaeva T.N., Kalmykova E.N., Shashkanova O.Y. Piezoquartz biosensors for the analysis of environmental objects, foodstuff and for clinical diagnostic // Russ. J. Gen. Chem. 2008. V. 78. № 12. P. 2430.)
- Chauhan R., Singh J., Solanki P.R., Basu T., O’Kennedyd R., Malhotrae B.D. Electrochemical piezoelectric reusable immunosensor for aflatoxin B1 detection // Biochem. Eng. J. 2015. V. 103. № 15. P. 103.
- Gupta B.K., Yadav A., Koch P., Mishra P. Piezoelectric biosensors. principle, techniques, and their application in food analysis // Biosens. Food Safety Qual. 2022. P. 10.
- Zhang J., Zhang X., Wei X., Xue Y., Wan H., Wang P. Recent advances in acoustic wave biosensors for the detection of disease-related biomarkers: A review // Anal. Chim. Acta. 2021. V. 1164. Article 338321.
- Гулий О.И., Зайцев Б.Д., Алсовэйди А.К.М., Караваева О.А., Ловцова Л.Г., Бородина И.А. Биосенсорные системы для определения антибиотиков // Биофизика. 2021. Т. 66. № 4. С. 657. (Guliy O.I., Karavaeva O.A., Lovtsova L.G., Zaitsev B.D., Borodina I.A., Alsowaidi A.K.M. Biosensor systems for antibiotic detection // Biophysics. 2021. V. 66. № 4. P. 555.)
- Алсовэйди А.К.М., Караваева О.А., Гулий О.И. Методы и подходы для определения антибиотиков // Антибиотики и химиотерапия. 2022. Т. 67. № 1–2. С. 53–61.
- Poma A., Guerreiro A., Whitcombe M.J., Piletska E.V., Turner A.P.F., Piletsky S.A. Solid-phase synthesis of molecularly imprinted polymer nanoparticles with a reusable template – “Plastic antibodies” // Adv. Funct. Mater. 2013. V. 23. P. 2821.
- Kupai J., Razali M., Buyuktiryaki S., Kecili R., Szekely G. Long-term stability and reusability of molecularly imprinted polymers // Polym. Chem. 2017. V. 8. P. 666.
- Sharma P.S., Iskierko Z., Pietrzyk-Le A., D’Souza F., Kutner W. Bioinspired intelligent molecularly imprinted polymers for chemosensing: A mini review // Electrochem. Commun. 2015. V. 50. P. 81.
- Refaat D., Aggour M.G., Farghali A.A., Mahajan R., Wiklander J.G., Nicholls I.A., Piletsky S.A. Strategies for molecular imprinting and the evolution of MIP nanoparticles as plastic antibodies-synthesis and applications // Int. J. Mol. Sci. 2019. V. 20. № 24. P. 6304.
- He J.X., Pan H.Y., Xu L., Tang R.Y. Application of molecularly imprinted polymers for the separation and detection of aflatoxin // J. Chem. Res. 2020. V. 45. № 5. P. 1.
- Ma J., Yan M., Feng G., Ying Y., Chen G., Shao Y., She Y., Wang M., Sun J., Zheng L., Wang J., El-Atyde A.M.A. An overview on molecular imprinted polymers combined with surface-enhanced Raman spectroscopy chemical sensors toward analytical applications // Talanta. 2021. V. 225. Article 122031.
- Thobakgale L., Ombinda-Lemboumba S., Mthunzi-Kufa P. Chemical sensor nanotechnology in pharmaceutical drug research // Nanomaterials. 2022. V. 12. № 15. P. 2688.
- Karaseva N., Ermolaeva T., Mizaikoff B. Piezoelectric sensors using molecularly imprinted nanospheres for the detection of antibiotics. // Sens. Actuators B: Chem. 2016. V. 225. P. 199.
- Karaseva N.A., Pluhar B., Mizaikoff B., Beliaeva E.A., Ermolaeva T.N. Synthesis and application of molecularly imprinted polymers for trypsin piezoelectric sensors. // Sens. Actuators B: Chem. 2019. V. 280. P. 272.
- Ермолаева Т.Н., Фарафонова О.В., Бессонов О.И. Синтез и применение наночастиц полимеров с молекулярными отпечатками сальбутамола в распознающем слое пьезоэлектричесого сенсора // Сорбционные и хроматографические процессы. 2019. Т. 19. № 6. С. 682.
- Ермолаева Т.Н., Фарафонова О.В., Чернышова В.Н., Зяблов А.Н., Тарасова Н.В. Пьезоэлектрический сенсор на основе наночастиц полимеров с молекулярными отпечатками рактопамина // Журн. аналит. химии. 2020. Т. 75. № 10. С. 898. (Ermolaeva T.N., Farafonova O.V., Chernyshova V.N., Zyablov A.N., Tarasova N.V. A piezoelectric sensor based on nanoparticles of ractopamine molecularly imprinted polymers // J. Anal. Chem. 2020. V. 75. № 10. P. 1270.)
- Ермолаева Т.Н., Чернышова В.Н., Бессонов О.И. Микро- и наночастицы полимеров с молекулярными отпечатками – синтез, характеристика и применение в пьезоэлектрических сенсорах // Сорбционные и хроматографические процессы. 2015. Т. 15. № 3. С. 345.
- Shi J., Zhang X., Zhang Q., Yang P. Ultrasensitive and highly selective detection of bisphenol a using core‑shell magnetic molecularly imprinted quantum dots electrochemiluminescent probe // Bull. Environ. Contam. Toxicol. 2022. V. 108. P. 379.
- Malik S., Khan A., Rahman G., Ali N., Khan H., Khan S., Sotomayor M.D.P.T. Core–shell magnetic molecularly imprinted polymer for selective recognition and detection of sunset yellow in aqueous environment and real samples // Environ. Res. 2022. V. 212. Part A. Article 113209.
- Yun G., Koo K.M., Kim Y. Chemiresistor type formaldehyde sensor using polystyrene/polyaniline core–shell microparticles // Polymer. 2021. V. 215. Article 123389.
- Ladj R., Bitar A., Eissa M.M., Fessi H., Mugnier Y., Le Dantec R., Elaissari A. Polymer encapsulation of inorganic nanoparticles for biomedical applications // Int. J. Pharm. 2013. V. 458. P. 230.
- Бакеева И.В., Морозова И.В. Cовременные нанокомпозитные материалы – органо-неорганические гибридные гели. Учебное пособие. М: Издательско-полиграфический центр (ИПЦ МИТХТ), 2006. С. 40.
- Бизина Е.В., Фарафонова О.В., Тарасова Н.В., Ермолаева Т.Н. Синтез и применение магнитных молекулярно импринтированных тетрациклином полимерных наночастиц в пьезоэлектрическом сенсоре // Сорбционные и хроматографические процессы. 2021. Т. 21. № 2. С. 177.
- Бизина Е.В., Фарафонова О.В., Золотарева Н.И., Гражулене С.С., Ермолаева Т.Н. Пьезоэлектрический иммуносенсор на основе магнитных углеродных нанокомпозитов для определения ципрофлоксацина // Журн. аналит. химии. 2022. Т. 77. № 4. С. 375. (Bizina E.V., Farafonova O.V., Zolotareva N.I., Grazhulene S.S., Ermolaeva T.N. A piezoelectric immunosensor based on magnetic carbon nanocomposites for the determination of ciprofloxacin // J. Anal. Chem. 2022. V. 77. № 4. P. 375.)
- Гендриксон О.Д., Жердев А.В., Дзантиев Б.Б. Молекулярно импринтированные полимеры и их применение в биохимическом анализе // Успехи биологической химии. 2006. Т. 46. С. 149.
- Liu Y.N., Zhang Z., Zhang M. Preparation and application of solid phase extraction of di(2-ethylhexyl)phthalate surfaces imprinted polymers // Chinese J. Appl. Chem. 2013. V. 30. № 3. P. 316.
- Liu S.M., Wei M.X., Fu X., Zhang X.B. Direct synthesis of monodisperse hollow molecularly imprinted polymers based on unfunctionalized SiO2 for the recognition of bisphenol A // Chinese J. Chem. Phys. 2018. V. 31. № 2. P. 229.
- Huang Y., Li F., Qiu L., Lin F., Lai Z., Wang S., Lin L., Zhu Y., Wang Y., Jiang Y., Chen X. Enchanting the stability of CH3NH3PbBr3 nanoparticles using double hydrophobic shells of SiO2 and polyvinyldene fluorid // ACS Appl. Mater. Interfaces. 2019. V. 11 № 29. P. 1.
- Yu D., Hu X., Wei S., Wang Q., He C., Liu S. Dummy molecularly imprinted mesoporous silica prepared by hybrid imprinting method for solid-phase extraction of bisphenol A // J. Chromatogr. A. 2015. V. 1396. P. 17.
- Гражулене С.С., Золотарева Н.И., Редькин А.Н., Шилкина Н.Н., Митина А.А., Ходос И.И. Сорбционные свойства магнитного композита на основе модифицированных углеродных нанотрубок в зависимости от условий синтеза // Журн. прикл. химии. 2020. Т. 93. № 1. С. 66. (Grazhulenea S.S., Zolotareva N.I., Red’kin A.N., Shilkina N.N., Mitina A.A., Khodos I.I. sorption properties of a magnetic composite based on modifi ed carbon nanotubes: Influence of the synthesis conditions // Russ. J. Appl. Chem. 2020. V. 93. № 1. P. 57.)
- Бизина Е.В., Ефросинина А.В., Ролдугина А.С., Фарафонова О.В., Ермолаева Т.Н. Применение магнитных углеродных нанокомпозитов при формировании распознающего слоя пьезоэлектрического аффинного сенсора для определения антибиотиков / Тезисы докладов, представленных на IV Съезде аналитиков России. 26–30 сентября 2022 г. г. Москва. М.: ОНТИ ГЕОХИ РАН, 2022 г. Электронная версия: http://www.analystscongress.ru/iv/Shared%20Documents/2022-IVСъездАР-Тезисы-v9.pdf (20.04.2023).
- Бизина Е.В., Фарафонова О.В., Золотарева Н.И., Гражулене С.С., Ермолаева Т.Н. Применение магнитных углеродных нанокомпозитов при формировании распознающего слоя пьезоэлектрического иммуносенсора для определения пенициллина G. // Журн. аналит. химии. 2023. Т. 78. № 4. С. 1. (Bizina E.V., Farafonova O.V., Zolotareva N.I., Grazhulene S.S., Ermolaeva T.N. The use of magnetic carbon nanocomposites in the formation of a recognition layer of a piezoelectric immunosensor for the determination of penicillin G. // J. Anal. Chem. 2023. V. 78. № 4. P. 514.)
- Blaaderen, A., Geest J.V., Vrij A. Monodisperse colloidal silica spheres from tetraalkoxysilanes: Particle formation and growth mechanism // J. Colloid Interface Sci. 1992. V. 154. № 2. P. 481.
- Решение Коллегии Евразийской экономической комиссии от 13 февраля 2018 г. № 28 “О максимально допустимых уровнях остатков ветеринарных лекарственных средств (фармакологически активных веществ), которые могут содержаться в непереработанной пищевой продукции животного происхождения, в том числе в сырье, и методах их определения”. https://docs.cntd.ru/document/556522984 (20.06.2021)
- Song S., Wu A., Shi X., Li R., Lin Z., Zhang D. Development and application of molecularly imprinted polymers as solid-phase sorbents for erythromycin extraction // Anal. Bioanal. Chem. 2008. V. 390. P. 2141.
- Vajdle O., Guzsvány V., Škoric D., Csanádi J., Petkovic M., Avramov-Ivic M., Kónya Z., Petrovic S., Bobrowski A. Voltammetric behavior and determination of the macrolide antibiotics azithromycin, clarithromycin and roxithromycin at a renewable silver – Amalgam film electrode // Electrochim. Acta. 2017. V. 229. P. 334.
Supplementary files
 
				
			 
					 
						 
						 
						 
						 
				 
									
 
  
  
  Email this article
			Email this article 






