Метаболическое профилирование карбоновых и аминокислот в биологических жидкостях пациентов с диагнозом эндометриоз методами жидкостной (ВЭЖХ-УФ) и газовой (ГХ-МС) хроматографии
- Authors: 1, 1, 1, 2, 2, 1
-
Affiliations:
- Санкт-Петербургский государственный университет, Институт химии
- Национальный медицинский исследовательский центр им. В.А. Алмазова Минздрава России
- Issue: Vol 78, No 11 (2023)
- Pages: 1002-1013
- Section: ORIGINAL ARTICLES
- Submitted: 26.12.2023
- URL: https://journals.rcsi.science/0044-4502/article/view/232869
- DOI: https://doi.org/10.31857/S0044450223100043
- EDN: https://elibrary.ru/UZWRGF
- ID: 232869
Cite item
Full Text
Abstract
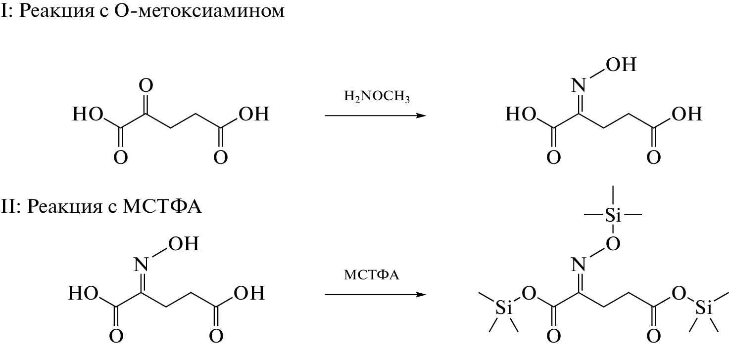
Предложены подходы к высокочувствительному определению низкомолекулярных жирных кислот методом газовой хроматографии с масс-спектрометрическим детектированием (ГХ-МС) и аминокислот методом ВЭЖХ с применением диодно-матричного детектора в образцах сыворотки крови больных с диагнозом эндометриоз. Найдены условия селективного определения 23 аминокислот методом обращенно-фазовой ВЭЖХ со спектрофотометрическим детектированием в виде производных с дансилхлоридом и выявлены основные факторы, влияющие на параметры их разделения (рН подвижной фазы, природа растворителя и буферного раствора, профиль градиентного режима). Показано, что традиционное ГХ-определение метаболитов в форме силильных производных не обеспечивает требуемой чувствительности: высокая летучесть производных уже на стадии пробоподготовки приводит к значительным потерям и, как следствие, к невоспроизводимым результатам. Оптимизированы условия определения органических кислот без дериватизации методом ГХ-МС на полярной неподвижной фазе. Предложена схема подготовки сыворотки крови к анализу (осаждение белков и очистка от липидов) и условия селективного разделения аналитов (температурный градиент 70−230°C). Разработанные подходы обеспечили получение характеристических профилей органических кислот в образцах сыворотки крови больных с эндометриозом и миомой матки (в качестве группы сравнения).
About the authors
Санкт-Петербургский государственный университет, Институт химии
Author for correspondence.
Email: Lena_pol@inbox.ru
Россия, 198504, Санкт-Петербург,
Университетский просп., 26, Петродворец
Санкт-Петербургский государственный университет, Институт химии
Email: Lena_pol@inbox.ru
Россия, 198504, Санкт-Петербург,
Университетский просп., 26, Петродворец
Санкт-Петербургский государственный университет, Институт химии
Email: Lena_pol@inbox.ru
Россия, 198504, Санкт-Петербург,
Университетский просп., 26, Петродворец
Национальный медицинский исследовательский центр им. В.А. Алмазова Минздрава России
Email: Lena_pol@inbox.ru
Россия, 197341, Санкт-Петербург, ул. Аккуратова, 2
Национальный медицинский исследовательский центр им. В.А. Алмазова Минздрава России
Email: Lena_pol@inbox.ru
Россия, 197341, Санкт-Петербург, ул. Аккуратова, 2
Санкт-Петербургский государственный университет, Институт химии
Email: Lena_pol@inbox.ru
Россия, 198504, Санкт-Петербург,
Университетский просп., 26, Петродворец
References
- Giudice L.C. Clinical practice. Endometriosis // N. Engl. J. Med. 2010. V. 362. P. 2389. https://doi.org/10.1056/NEJMcp1000274
- Govorov I., Sitkin S., Pervunina T., Moskvin A., Baranenko D., Komlichenko E. Metabolomic biomarkers in gynecology: A treasure path or a false path? // Curr. Med. Chem. 2020. V. 27. № 22. P. 3611. https://doi.org/10.2174/0929867326666190104124245
- Kartsova L.A., Bessonova E.A., Deev V.A., Kolobova E.A. Current role of modern chromatography with mass spectrometry and nuclear magnetic resonance spectroscopy in the investigation of biomarkers of endometriosis // Crit. Rev. Anal. Chem. 2023. P. 1. (Epub ahead of print).https://doi.org/10.1080/10408347.2022.2156770
- Dutta M., Singh B., Joshi M. Metabolomics reveals perturbations in endometrium and serum of minimal and mild endometriosis // Sci. Rep. 2018. № 8. P. 6466. https://doi.org/10.1038/s41598-018-23954-7
- Dutta M., Josh M., Srivastava S., Lodh I., Chakravarty B., Chaudhury K. A metabonomics approach as a means for identification of potential biomarkers for early diagnosis of endometriosis // Mol. Biosyst. 2012. V. 8. P. 3281.https://doi.org/10.1039/c2mb25353d
- Jana S.K., Dutta M., Joshi M., Srivastava S., Chakravarty B., Chaudhury K. 1H NMR based targeted metabolite profiling for understanding the complex relationship connecting oxidative stress with endometriosis // BioMed Res. Int. 2013. Article 329058. https://doi.org/10.1155/2013/329058
- Vicente-Muñoz S., Morcillo I., Puchades-Carrasco L., Payá V., Pellicer A., Pineda-Lucena A. Nuclear magnetic resonance metabolomic profiling of urine provides a non-invasive alternative to the identification of biomarkers associated with endometriosis // Fertil. Steril. 2015. V. 104. № 5. P. 1202. https://doi.org/10.1016/j.fertnstert.2015.07.1149
- Vicente-Muñoz S., Morcillo I., Puchades-Carrasco L., Payá V., Pellicer A., Pineda-Lucena A. Pathophysiologic processes have an impact on the plasma metabolomic signature of endometriosis patients // Fertil. Steril. 2016. V. 106. № 5. P. 1733.https://doi.org/10.1016/j.fertnstert.2016.09.014
- Li J., Guan L., Zhang H., Gao Y., Sun J., Gong X., Li D., Chen P., Liang X., Huang M. Endometrium metabolomic profiling reveals potential biomarkers for diagnosis of endometriosis at minimal-mild stages // Reprod. Biol. Endocrinol. 2018. V. 16. № 1. P. 42. https://doi.org/10.1186/s12958-018-0360-z
- Wang L.-L., Guo H.-H., Huang S., Feng C.-L., Han Y.-X., Jiang J.-D. Comprehensive evaluation of SCFA production in the intestinal bacteria regulated by berberine using gas-chromatography combined with polymerase chain reaction // J. Chromatogr. B. 2017. V. 1057. P. 70. https://doi.org/10.1016/j.jchromb.2017.05.004
- Chadchan S.B., Popli P., Ambati C.R., Tycksen E., Han S.J., Bulun S.E., Putluri N., Biest S.W., Kommagani R. Gut microbiota–derived short-chain fatty acids protect against the progression of endometriosis // Life Science Alliance. 2021. V. 4. № 12. Article e202101224. https://doi.org/10.26508/lsa.202101224
- Zeng M., Cao H. Fast quantification of short chain fatty acids and ketone bodies by liquid chromatography-tandem mass spectrometry after facile derivatization coupled with liquid-liquid extraction // J. Chromatogr. B. 2018. V. 1083. P. 137.https://doi.org/10.1016/j.jchromb.2018.02.040
- Mulat D.G., Feilberg A. GC/MS method for determining carbon isotope enrichment and concentration of underivatized short-chain fatty acids by direct aqueous solution injection of biogas digester samples // Talanta. 2015. V. 143. P. 56. https://doi.org/10.1016/j.talanta.2015.04.065
- Amer B., Nebel C., Bertram H.C., Mortensen G., Dalsgaard T.K. Direct derivatization vs. aqueous extraction methods of fecal free fatty acids for GC–MS analysis // Lipids. 2015. V. 50. P. 681. https://doi.org/10.1007/s11745-015-4029-5
- Zhang H., Wang Z., Liu O. Development and validation of a GC–FID method for quantitative analysis of oleic acid and related fatty acids // J. Pharm. Anal. 2015. V. 5. № 4. P. 223. https://doi.org/10.1016/j.jpha.2015.01.005
- Douny C., Dufourny S., Brose F., Verachtert P., Rondia P., Lebrun S., Scippo M.-L. Development of an analytical method to detect short-chain fatty acids by SPME-GC–MS in samples coming from an in vitro gastrointestinal model // J. Chromatogr. B. 2019. V. 1124. P. 188.https://doi.org/10.1016/j.jchromb.2019.06.01
- Gao H., Yu X., Sun R., Yang N., He J., Tao M., Wang G. Quantitative GC–MS assay of citric acid from humans and db/db mice blood serum to assist the diagnosis of diabetic nephropathy // J. Chromatogr. B. 2018. V. 1077–1078. P. 28https://doi.org/10.1016/j.jchromb.2017.12.021
- Lu X., Fang M., Dai Y., Yang Y., Fan A., Xu J., Li N. Quantification of triacontanol and its PEGylated prodrug in rat plasma by GC–MS/MS: Application to a pre-clinical pharmacokinetic study // J. Chromatogr. B. 2018. V. 1089. P. 8.https://doi.org/10.1016/j.jchromb.2018.04.037
- Rıos-Covian D., Ruas-Madiedo P., Margolles A., Gueimonde M., de Los Reyes-Gavilan C.G., Salazar N. Intestinal short chain fatty acids and their link with diet and human health // Front. Microbiol. 2016. V. 7. P. 185. https://doi.org/10.3389/fmicb.2016.00185
Supplementary files











