Complex Coulometric Evaluation of the Antioxidant Properties of Beer
- Authors: Matveeva S.Y.1, Ziyatdinova G.K.1
-
Affiliations:
- Butlerov Institute of Chemistry, Kazan Federal University
- Issue: Vol 78, No 6 (2023)
- Pages: 559-567
- Section: ORIGINAL ARTICLES
- Submitted: 14.10.2023
- URL: https://journals.rcsi.science/0044-4502/article/view/136043
- DOI: https://doi.org/10.31857/S0044450223040114
- EDN: https://elibrary.ru/KZOCAF
- ID: 136043
Cite item
Full Text
Abstract
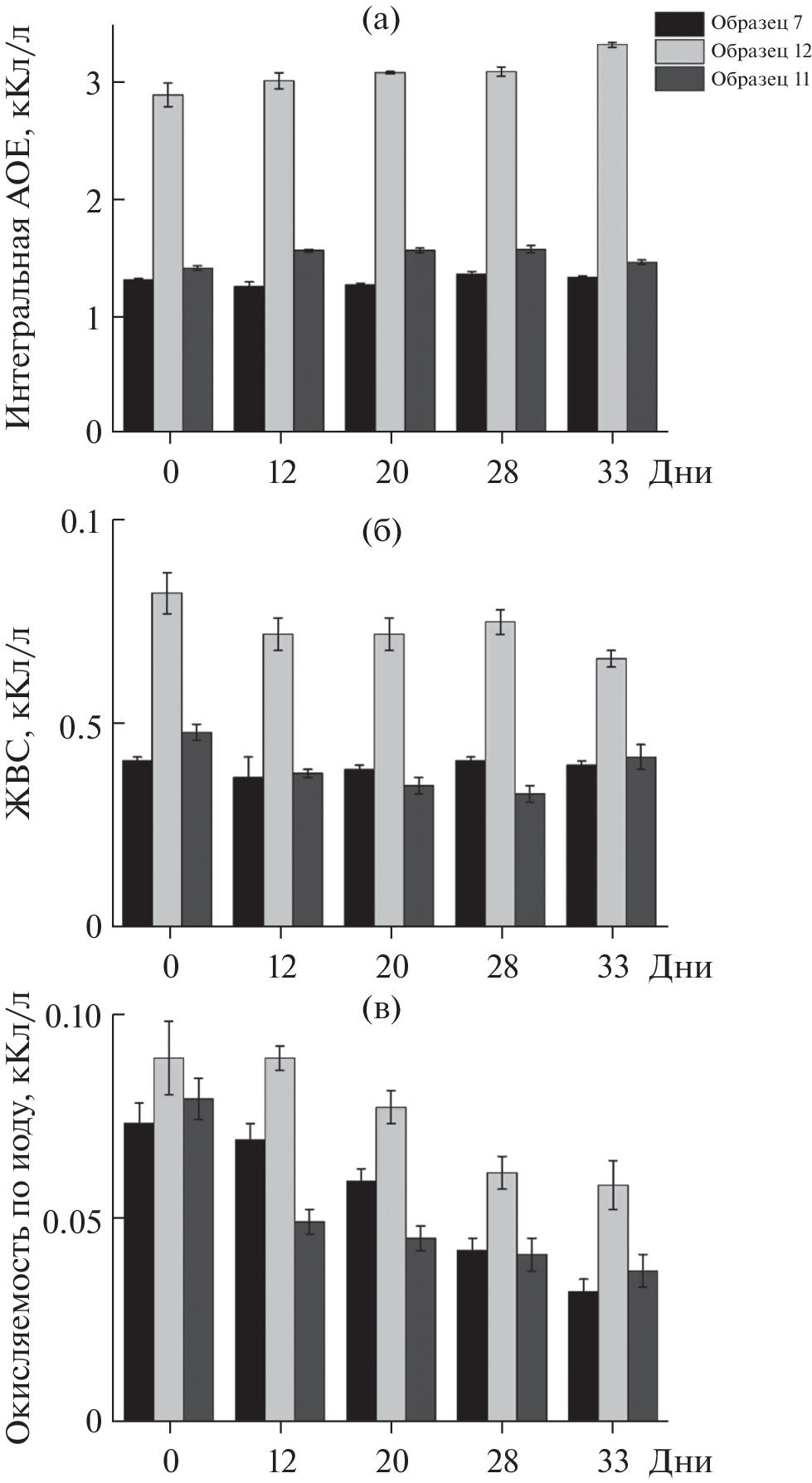
The reactivity of coulometric titrants (bromine, iodine, and hexacyanoferrate(III) ions) with respect to the antioxidants (AOs) of beer is evaluated. It is shown that electrogenerated iodine interacts with ascorbic acid and sulfur-containing compounds, but does not oxidize phenolic AOs. The stoichiometric coefficients of reactions of phenolic AOs with electrogenerated bromine and hexacyanoferrate(III) ions are found. A comprehensive assessment of the antioxidant properties of beer is carried out through overall antioxidant parameters (total antioxidant capacity (TAC) according to the reaction with electrogenerated bromine, ferric reducing power (FRP) according to the reaction with electrogenerated hexacyanoferrate(III) ions, and oxidation by). Sixteen samples, differing in the type of fermentation, variety, and style, are considered. A statistically significant difference between the parameters for individual samples is shown. The TAC and FRP of beer correlate with the total concentration of phenolic compounds and antioxidant activity (r = 0.7175–0.8703 at rcrit = 0.4973), which confirms the correctness of the results obtained using coulometric titration. Differences in the overall antioxidant parameters of the top-fermented and bottom-fermented beers, as well as filtered and unfiltered light and dark beers, are statistically insignificant (p = 0.10–0.82). The change in the overall antioxidant parameters of beer during storage in air is evaluated.
About the authors
S. Yu. Matveeva
Butlerov Institute of Chemistry, Kazan Federal University
Email: Ziyatdinovag@mail.ru
420008, Kazan, Russia
G. K. Ziyatdinova
Butlerov Institute of Chemistry, Kazan Federal University
Author for correspondence.
Email: Ziyatdinovag@mail.ru
420008, Kazan, Russia
References
- Vanderhaegen B., Neven H., Verachtert H., Derdelinckx G. The chemistry of beer aging – A critical review // Food Chem. 2006. V. 95. № 3. P. 357. https://doi.org/10.1016/j.foodchem.2005.01.006
- Quifer-Rada P., Vallverdú-Queralt A., Martínez-Huélamo M., Chiva-Blanch G., Jáuregui O., Estruch R., Lamuela-Raventós R. A comprehensive characterisation of beer polyphenols by high resolution mass spectrometry (LC–ESI-LTQ-Orbitrap-MS) // Food Chem. 2015. V. 169. P. 336. https://doi.org/10.1016/j.foodchem.2014.07.154
- Iyuke S.E., Madigoe E.M., Maponya R.J. The effect of hydroxycinnamic acids and volatile phenols on beer quality // Inst. Brew. 2008. V. 114. № 4. P. 300. https://doi.org/10.1002/j.2050-0416.2008.tb00773.x
- Coghe S., Benoot K., Delvaux F., Vanderhaegen B., Delvaux F.R. Ferulic acid release and 4-vinylguaiacol formation during brewing and fermentation: Indications for feruloyl esterase activity in Saccharomyces cerevisiae // J. Agric. Food. Chem. 2004. V. 52. № 3. P. 602. https://doi.org/10.1021/jf0346556
- Bonoli M., Marconi E., Caboni M.F. Free and bound phenolic compounds in barley (Hordeum vulgare L.) flours: Evaluation of the extraction capability of different solvent mixtures and pressurized liquid methods by micel-lar electrokinetic chromatography and spectrophotometry // J. Chromatogr. A. 2004. V. 1057. № 1–2. P. 1. https://doi.org/10.1016/j.chroma.2004.09.024
- Meilgaard M.C. Flavor chemistry of beer: part II: flavour and threshold of 239 aroma volatiles // MBAA TQ. 1975. V. 12. № 3. P. 151.
- Carvalho D.O., Curto A.F., Cuido L.F. Determination of phenolic content in different barley varieties and corresponding malts by liquid chromatography-diode array detection-electrospray ionization tandem mass spectrometry // Antioxidants. 2015. V. 4. № 3. P. 563. https://doi.org/10.3390/antiox4030563
- Maillard M.N., Soum M.H., Boivin P., Berset C. Antioxidant activity of barley and malt: Relationship with phenolic content // LWT – Food Sci. Technol. 1996. V. 29. № 3. P. 238. https://doi.org/10.1006/fstl.1996.0035
- Lu J., Zhao H., Chen J., Fan W., Dong J., Kong W., Sun J., Cao Y., Cai G. Evolution of phenolic compounds and antioxidant activity during malting // J. Agric. Food Chem. 2007. V. 55. № 26. P. 10994. https://doi.org/10.1021/jf0722710
- Goupy P., Hugues M., Boivin P., Amiot M. Antioxidant composition and activity of barley (Hordeum vulgare) and malt extracts and of isolated phenolic compounds // J. Sci. Food Agric. 1999. V. 79. № 12. P. 1625. https://doi.org/10.1002/(SICI)1097-0010(199909)79: 12<1625::AID-JSFA411>3.0.CO;2-8
- Lentz M. The impact of simple phenolic compounds on beer aroma and flavor // Fermentation. 2018. V. 4. № 1. Article 20. https://doi.org/10.3390/fermentation4010020
- Jandera P. Methods for the HPLC analysis of phenolic compounds and flavonoids in beer / Beer in Health and Disease Prevention / Ed. Preedy V.R. Amsterdam: Elsevier, 2009. P. 1003. https://doi.org/10.1016/B978-0-12-373891-2.00098-5
- Zhao H., Chen W., Lu J., Zhao M. Phenolic profiles and antioxidant activities of commercial beers // Food. Chem. 2010. V. 119. № 3. P. 1150. https://doi.org/10.1016/j.foodchem.2009.08.028
- Mitić S.S., Paunović D.Đ., Pavlović A.N., Tošić S.B., Stojković M.B., Mitić M.N. Phenolic profiles and total antioxidant capacity of marketed beers in serbia // Int. J. Food Prop. 2014. V. 17. № 4. P. 908. https://doi.org/10.1080/10942912.2012.680223
- Socha R., Pająk P., Fortuna T., Buksa K. Antioxidant activity and the most abundant phenolics in commercial dark beers // Int. J. Food Prop. 2017. V. 20. № S1. P. S595. https://doi.org/10.1080/10942912.2017.1306550
- García-Guzmán J.J., López-Iglesias D., Cubillana-Aguilera L., Lete C., Lupu S., Palacios-Santander J.M., Bellido-Milla D. Assessment of the polyphenol indices and antioxidant capacity for beers and wines using a tyrosinase-based biosensor prepared by sinusoidal current method // Sensors. 2019. V. 19. № 1. Article 66. https://doi.org/10.3390/s19010066
- Cummings E.A., Mailley P., Linquette–Mailley S., Eggins B.R., McAdams E.T., McFadden S. Amperometric carbon paste biosensor based on plant tissue for the determination of total flavanol content in beers // Analyst. 1998. V. 123. № 10. P. 1975. https://doi.org/10.1039/A804021D
- Hlavatá L., Vyskočil V., Beníková K., Borbélyová M., Labuda J. DNA-based biosensors with external Nafion and chitosan membranes for the evaluation of the antioxidant activity of beer, coffee, and tea // Cent. Eur. J. Chem. 2014. V. 12. № 5. P. 604. https://doi.org/10.2478/s11532-014-0516-4
- Gorjanović S.Z., Novaković M.M., Potkonjak N.I., Leskosek-Cukalović I., Suznjević D.Z. Application of a novel antioxidative assay in beer analysis and brewing process monitoring // J. Agric. Food Chem. 2010. V. 58. № 2. P. 744. https://doi.org/10.1021/jf903091n
- Ziyatdinova G., Ziganshina E., Nguyen Cong Ph., Budnikov H. Ultrasound-assisted micellar extraction of phenolic antioxidants from spices and antioxidant properties of the extracts based on coulometric titration data // Anal. Methods. 2016. V. 8. № 39. P. 7150. https://doi.org/10.1039/c6ay02112c
- Зиятдинова Г.К., Нгуен Конг Ф., Будников Г.К. Оценка антиоксидантных свойств мицеллярных экстрактов специй методом гальваностатической кулонометрии с электрогенерированными гексацианоферрат(III)-ионами // Журн. аналит. химии. 2015. Т. 70. № 8. С. 854. (Ziyatdinova G.K., Nguen Cong F., Budnikov H.C. Assessment of the antioxidant properties of micellar spice extracts by galvanostatic coulometry with electrogenerated hexacyanoferrate(III) ions // J. Anal. Chem. 2015. V.70. № 8. P. 974. )https://doi.org/10.1134/S1061934815080195
- Зиятдинова Г.К., Будников Г.К. Мицеллярная экстракция активных компонентов из специй и оценка церий восстанавливающей способности извлечений // Журн. аналит. химии. 2021. Т. 76. № 9. С. 812. (Ziyatdinova G.K., Budnikov H.C. Micellar extraction of active components from spices and evaluation of the Ce(IV)-based reducing capacity of the extracts // J. Anal. Chem. 2021. V. 76. № 9. P. 1065.)https://doi.org/10.1134/S1061934821090124
- Ziyatdinova G., Nizamova A., Budnikov H. Novel coulometric approach to evaluation of total free polyphenols in tea and coffee beverages in presence of milk proteins // Food Anal. Methods. 2011. V. 4. № 3. P. 334. https://doi.org/10.1007/s12161-010-9174-0
- Низамова А.М., Зиятдинова Г.К., Будников Г.К. Электрогенерированный бром – кулонометрический реагент для оценки биодоступности полифенолов // Журн. аналит. химии. 2011. Т. 66. № 3. С. 308. (Nizamova A.M., Ziyatdinova G.K., Budnikov G.K. Electrogenerated bromine as a coulometric reagent for the estimation of the bioavailability of polyphenols // J. Anal. Chem. 2011. V.66. № 3. P. 301.)https://doi.org/10.1134/S1061934811010114
- Ziyatdinova G., Salikhova I., Budnikov H. Coulometric titration with electrogenerated oxidants as a tool for evaluation of cognac and brandy antioxidant properties // Food Chem. 2014. V.150. P. 80. https://doi.org/10.1016/j.foodchem.2013.10.133
- Абдуллин И.Ф., Турова Е.Н., Гайсина Г.Х., Будников Г.К. Применение электрогенерированного брома для оценки интегральной антиоксидантной способности лекарственного растительного сырья и препаратов на его основе // Журн. аналит. химии. 2002. Т. 57. № 6. С. 666. (Abdullin I.F., Turova E.N., Gaisina G.Kh., Budnikov G.K. Use of electrogenerated bromine for estimating the total antioxidant capacity of plant raw materials and plant-based medicinal preparations // J. Anal. Chem. 2002. V. 57. № 6. P. 557.)https://doi.org/10.1023/A:1015758221044
- Ziyatdinova G., Budnikov H. Analytical capabilities of coulometric sensor systems in the antioxidants analysis // Chemosensors. 2021. V. 9. № 5. Article 91. https://doi.org/10.3390/chemosensors9050091
- Singleton V.L., Rossi J.A. Colorimetry of total phenolics with phosphomolybdic-phosphotungstic acid reagents // Am. J. Enol. Vitic. 1965. V.16. № 3. P. 144.
- Fu L., Xu B.-T., Gan R.-Y., Zhang Y., Xu X.-R., Xia E.-Q., Li H.-B. Total phenolic contents and antioxidant capacities of herbal and tea infusions // Int. J. Mol. Sci. 2011. V. 12. № 4. P. 2112. https://doi.org/10.3390/ijms12042112
- Brand-WilliamsW., Cuvelier M.E., Berset C. Use of a free radical method to evaluate antioxidant activity // LWT – Food Sci. Technol. 1995. V. 28. № 1. P. 25. https://doi.org/10.1016/S0023-6438(95)80008-5
- Radovanović B., Radovanović A. Free radical scavenging activity and anthocyanin profile of cabernet sauvignon wines from the Balkan region // Molecules. 2010. V. 15. № 6. P. 4213. https://doi.org/10.3390/molecules15064213
- Lermusieau G., Collin S. Volatile sulfur compounds in hops and residual concentrations in beer – A review // J. Am. Soc. Brew. Chem. 2003. V. 61. № 3. P. 109. https://doi.org/10.1094/ASBCJ-61-0109
- Feldman K.S., Quideau S., Appel H.M. Galloyl-derived orthoquinones as reactive partners in nucleophilic additions and Diels-Alder dimerizations: A novel route to the dehydrodigalloyl linker unit of agrimoniin-type ellagitannins // J. Org. Chem. 1996. V. 61. № 19. P. 6656. https://doi.org/10.1021/jo961043u
- Oniki T., Takahama U. Free radicals produced by the oxidation of gallic acid and catechin derivatives // J. Wood Sci. 2004. V. 50. № 6. P. 545. https://doi.org/10.1007/s10086-003-0591-1
- Miracle R.E., Ebeler S.E., Bamforth C.W. The measurement of sulfur-containing aroma compounds in samples from production-scale brewery operations // J. Am. Soc. Brew. Chem. 2005. V. 63. № 3. P. 129. https://doi.org/10.1094/ASBCJ-63-0129
- Marshall P.A., Trenerry V.C., Thompson C.O. The determination of total ascorbic acid in beers, wines, and fruit drinks by micellar electrokinetic capillary chromatography // J. Chromatogr. Sci. 1995. V. 33. № 8. P. 426. https://doi.org/10.1093/chromsci/33.8.426
- Richman D. Bock (Classic Beer Style Series Book 9). Boulder: Brewers Publications, 1994. 174 p.
- Coghe S., Gheeraert B., Michiels A., Delvaux F.R. Development of Maillard reaction related characteristics during malt roasting // J. Inst. Brew. 2006. V. 112. № 2. P. 148. https://doi.org/10.1002/j.2050-0416.2006.tb00244.x
Supplementary files





