Linear Correlations of the Gas Chromatographic Retention Indices of Compounds from Various Taxonomic Groups
- Authors: Zenkevich I.G.1
-
Affiliations:
- Institute of Chemistry, St. Petersburg State University
- Issue: Vol 78, No 6 (2023)
- Pages: 528-537
- Section: ORIGINAL ARTICLES
- Submitted: 14.10.2023
- URL: https://journals.rcsi.science/0044-4502/article/view/136035
- DOI: https://doi.org/10.31857/S0044450223040175
- EDN: https://elibrary.ru/LADISF
- ID: 136035
Cite item
Full Text
Abstract
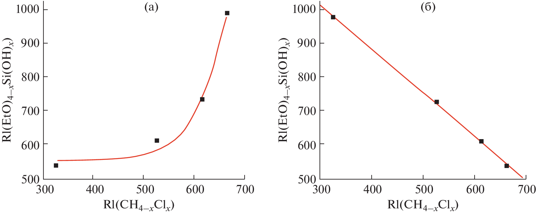
Despite the constant improvement of complex computer algorithms for the calculation of gas chromatographic retention indices (RIs), the simplest methods for their evaluation based on linear correlations between the indices of structural analogs from different taxonomic groups, RI1 ≈ aRI2 + b, remain important. It is shown that symbatic variations of the first numerical differences of retention indices,
= RIn + 1 – RIn (equivalent to the first derivatives of the retention indices with respect to the structural parameter varied in the group), are the conditions of correctness for such correlations in the simplest groups (substituted methanes). A monotonic variation of
in one of the groups with the presence of extrema in the other group is an unequivocal sign of the absence of a linear correlation between retention indices. If the values of
in one of the groups increase and decrease in the other, the ranking order of compounds in any one of them should be reversed. It is shown that the simplest relationship RI1 ≈ aRI2 + b is also applicable to more complex taxonomic groups (substituted ethanes, benzenes, and naphthalenes), and it allows one not only to estimate the RIs of compounds not yet characterized but also to refine known reference data.
About the authors
I. G. Zenkevich
Institute of Chemistry, St. Petersburg State University
Author for correspondence.
Email: izenkevich@yandex.ru
198504, St. Petersburg, Russia
References
- The NIST Mass Spectral Library (NIST/EPA/NIH EI MS Library, 2020 Release). Software/Data Version; NIST Standard Reference Database, Number 69, May 2020. National Institute of Standards and Technology, Gaithersburg, MD 20899: http://webbook.nist.gov (дата обращения: сентябрь 2022 г.).
- Pompe M., Novic M. Prediction of gas-chromatographic retention indices using topological descriptors // J. Chem. Inf. Comput. Sci. 1999. V. 39. № 1. P. 59. https://doi.org/10.1021/ci980036z
- Farkas O., Heberger K., Zenkevich I.G. Quantitative structure-retention relationships XIV. Prediction of GC retention indices for saturated O-, N-, and S-heterocyclic compounds // Chemometr. Intel. Lab. Systems. 2004. V. 72. P. 173.
- Heberger K. Quantitative structure – (chromatographic) retention relationships (QSRR) // J. Chromatogr. A. 2007. V. 1158. P. 273. https://doi.org/10.1016/chroma.2007.03.108
- Matyushin D., Buryak A. Gas chromatographic retention index prediction using multimodal machine learning // IEEE Access. 2020. V. 8. P. 223140. https://doi.org/10.1109/ACCESS.2020.3045047
- Matyshin D.D., Sholokhova A.Yu., Buryak A.K. Deep learning based prediction of gas chromatographic retention indices for a wide variety of polar and mid-polar liquid stationary phases // Int. J. Mol. Sci. 2021. V. 22. 13 p. https://doi.org/10.3390/ijms22179194
- Idroes R., Noviandy T.R., Maulana A., Syhendra R., Sasmita N.R., Muslem M., Idroes G.M., Kemala P., Irvanizam I. Application of genetic algorithm – multiple linear regression and artificial newral network determination for prediction of Kovats retention index // Int. Rev. Model. Simulat. 2021. V. 14. № 2. 137 p. https://doi.org/10.15866/iremos.v14i2.20460
- Qu C., Schneider B.I., Kearsley A.J., Keyrouz W., Allison T.C. Predicting Kovats retention indices using graph neural networks // J. Chromatogr. A. 2021. V. 1646. Art. 462100. https://doi.org/10.1016/jchroma.2021.462100
- Zhang X., Shi L., Ding L., Sun Z., Song L., Qu H., Sun T. Study on quantitative structure – retention relationships (QSRR) for oxygen-containing organic compounds based on gene expression programming (GEP) // J. Chromatogr. Sep. Tech. 2015. V. 6. № 7. 7 p. https://doi.org/10.4172/2157-7064.1000306
- Stein S.E., Babushok V.I., Brown R.L., Linstrom P.J. Estimation of Kovats retention indices using group contribution // J. Chem. Inf. Model. 2007. V. 47. P. 975. https://doi.org/10.1021/ci600548y
- Зенкевич И.Г., Елисеенков Е.В., Касаточкин А.Н. Идентификация продуктов органических реакций при отсутствии аддитивности хроматографических индексов удерживания. Хлорпроизводные метил-трет-бутилкетона // Журн. структ. химии. 2013. Т. 54. № 3. С. 453. https://doi.org/10.1134/S0022476613030050
- Зенкевич И.Г. Формирование таксономических групп органических соединений для расчета газохроматографических индексов удерживания по физико-химическим константам // Журн. структ. химии. 1994. Т. 35. № 6. С. 176.
- Zenkevich I.G. Reciprocally unambiguous conformity between GC retention indices and boiling points within two- and multidimensional taxonomic groups of organic compounds // J. High Resolut. Chromatogr. Chromatogr. Commun. 1998. V. 21. № 10. P. 565.
- Зенкевич И.Г. Принцип структурной аналогии при оценке газохроматографических индексов удерживания // Журн. структ. химии. 1996. Т. 37. № 4. С. 793.
- Waggott A., Davies I.W. Identification of organic pollutants using linear temperature programmed retention indices (LTPRIs) – Part II // 1984. http://dwi.defra.gov.uk/research/completed/research/ reports/dwi0383.pdf (дата обращения: август 2022 г.).
- Yasuhara A., Morita M., Fuwa K. Temperature-programmed retention indices of 221 halogenated organic compounds with 1-bromoalkanes as references // J. Chromatogr. 1985. V. 328. P. 35. https://doi.org/10.1016/S0021-9673(01)87374-X
- Зенкевич И.Г. Контроль, коррекция и восстановление значений физико-химических свойств органических соединений с использованием рекуррентных зависимостей // Журн. физ. химии. 2021. Т. 95. № 5. С. 700. https://doi.org/10.1134/S0036024421040294
- Зенкевич И.Г., Баранов Д.А. Газохроматографическая идентификация необычных нестабильных продуктов частичного гидролиза тетраэтоксисилана // Журн. аналит. химии. 2023. Т. 78. № 1. С. .
- Линник Ю.В. Метод наименьших квадратов и основы теории обработки наблюдений. М.: Физматгиз, 1958. 334 с.
- Зенкевич И.Г. Выявление аномалий газохроматографических индексов удерживания гомологов на основании их гомологических инкрементов // Журн. физ. химии. 2021. Т. 95. № 8. С. 1269. https://doi.org/10.1134/S003602442107030X
- Szekely T., Nefedov O.M., Gazzo G., Shinyayav V.I., Fritz D. Gas chromatographic investigation of the thermal decomposition of polydimethylsilylene // Acta Chem. Acad. Sci. Hung. 1967. V. 54. № 3–4. P. 241.
Supplementary files









