Оценка возможности применения “электронного носа” для мониторинга отклонений при функциональном ожирении детей в условиях стационара. Наблюдения за изменением состояния при лечении
- Авторы: Кучменко Т.А.1,2, Доровская Е.С.1, Менжулина Д.А.3, Чубаров Т.В.3, Мураховский И.А.1
-
Учреждения:
- Воронежский государственный университет инженерных технологий
- Институт геохимии и аналитической химии им. В.И. Вернадского Российской академии наук
- Воронежский государственный медицинский университет им. Н.Н. Бурденко
- Выпуск: Том 78, № 3 (2023)
- Страницы: 274-287
- Раздел: ОРИГИНАЛЬНЫЕ СТАТЬИ
- Статья получена: 14.10.2023
- URL: https://journals.rcsi.science/0044-4502/article/view/136023
- DOI: https://doi.org/10.31857/S0044450223020056
- EDN: https://elibrary.ru/FVOJJN
- ID: 136023
Цитировать
Полный текст
Аннотация
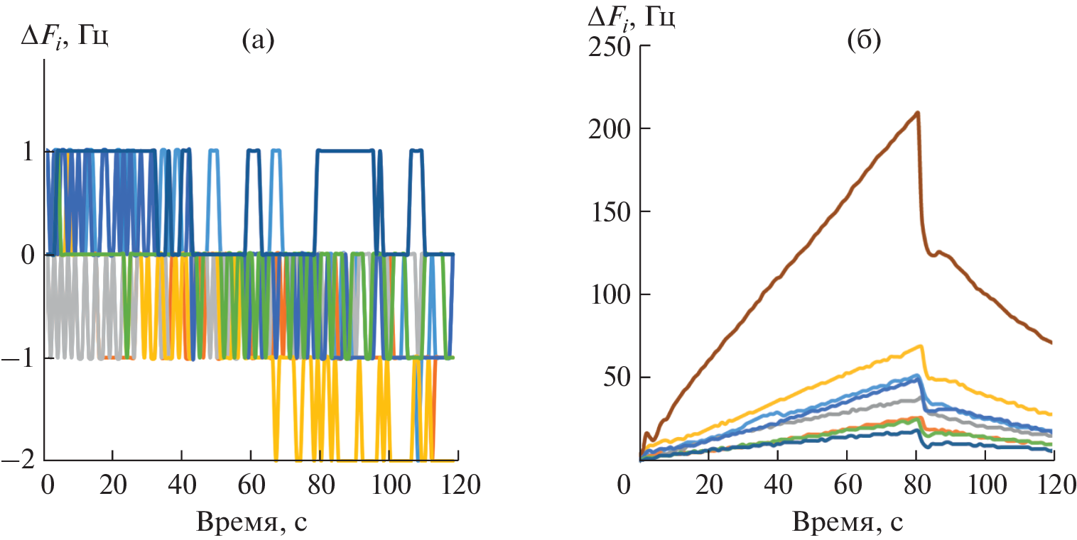
Настоящая работа является продолжением исследования по применению химических газовых сенсоров и портативного ”электронного носа” для диагностики ожирения и сопутствующих патологий у детей в условиях стационара. С помощью портативного прибора Bio-8 измерено 330 летучих профилей соединений кожи в области предплечья натощак в разном состоянии детей с различными заболеваниями в период прохождения стационарного обследований и лечения в эндокринологическом отделении. Мониторинг изменений профиля летучих соединений кожи в период пребывания в стационаре детей с ожирением позволил выделить приоритетные нарушения метаболизма при множественных патологических нарушениях и диагнозах по характерному набору химических биомеркеров процессов, надежно детектируемых в выделениях кожи на правом предплечье. Многопараметрические данные “электронного носа” обработаны методом главных компонент для оценки ранжирования результатов на группы “Норма” и “Ожирение с группой риска по развитию сахарного диабета (СД) 2 типа”. По высокоинформативным параметрам массива сенсоров оценены изменения химического состава газового профиля кожи на правом предплечье за период пребывания пациентов в стационаре и эффективность стандартных подходов в каждом конкретном случае, и тем самым повышена персонализация лечения. Предложены расчетные простые параметры и способ оценки нарушений липидного, углеводного обмена по сигналам восьми сенсоров над кожей при измерении в течение 200 с без отбора пробы. Чувствительность способа мониторинга изменений в метаболоме в условиях стационара составляет не менее 80%. Специфичность к нарушениям липидного обмена – 100%, СД 1 типа – 100%, при смешанных патологиях варьируется от 70 до 85%.
Ключевые слова
Об авторах
Т. А. Кучменко
Воронежский государственный университет инженерных технологий; Институт геохимии и аналитической химии им. В.И. Вернадского Российской академии наук
Email: tak1907@mail.ru
Россия, 394036, Воронеж, просп. Революции, 19; Россия, 119334, Москва, ул. Косыгина, 19
Е. С. Доровская
Воронежский государственный университет инженерных технологий
Email: tak1907@mail.ru
Россия, 394036, Воронеж, просп. Революции, 19
Д. А. Менжулина
Воронежский государственный медицинский университет им. Н.Н. Бурденко
Email: tak1907@mail.ru
Россия, 394000, Воронеж, ул. Студенческая, 10
Т. В. Чубаров
Воронежский государственный медицинский университет им. Н.Н. Бурденко
Email: tak1907@mail.ru
Россия, 394000, Воронеж, ул. Студенческая, 10
И. А. Мураховский
Воронежский государственный университет инженерных технологий
Автор, ответственный за переписку.
Email: tak1907@mail.ru
Россия, 394036, Воронеж, просп. Революции, 19
Список литературы
- Dietz W.H. Health consequences of obesity in youth: Childhood predictors of adult disease // Pediatrics. 1998. V. 101. P. 518.
- Elgar F.J. Validity of self-reported height and weight and predictors of bias in adolescents // J. Adolesc. Health. 2005. V. 37. p. 371.
- Подростковое ожирение и связанное с ним поведение: тенденции и социальные неравенства в Европейском регионе ВОЗ, 2002–2014 годы: наблюдения по итогам совместного межнационального исследования ВОЗ “Поведение детей школьного возраста в отношении здоровья” (HBSC). URL: https://apps.who.int/iris/handle/10665/329418 (дата обращения 14.02.2022).
- Литвицкий П.Ф. Патофизиология: Учебник: 2-е изд., испр. и доп. М.: ГЭОТАР-МЕД, 2003. Т. 1.
- Кучменко Т.А., Доровская Е.С., Менжулина Д.А., Чубаров Т.В. Оценка возможности применения “электронного носа” для мониторинга отклонений при функциональном ожирении детей в условиях стационара. Неинвазивная диагностика без отбора проб // Журн. аналит. химии. 2022. Т. 77. № 12. https://doi.org/10.31857/S0044450222120088
- Poncette Akira-Sebastian, Wunderlich M. M., Spies C., Heeren P., Vorderwülbecke G., Salgado E., Kastrup M., A Feufel M., Balzer F. Patient monitoring alarms in an intensive care unit: observational study with do-it-yourself instructions // J. Med. Internet Res. 2021. T. 23. V. 5. p. 26494. https://doi.org/10.2196/26494
- Weenk M., van Goor H., Frietman B., Engelen L.J., van Laarhoven C.J., Smit J., Bredie S.J., van de Belt T.H. Continuous monitoring of vital signs using wearable devices on the general ward: Pilot study // JMIR mHealth and uHealth. 2017. T. 5 V. 7. p. 91. 28679490' target='_blank'>https://doi.org/10.2196/mhealth.7208.PMID: 28679490
- Weenk M, Bredie S.J., Koeneman M., Hesselink G., van Goor H, van de Belt T.H. Continuous monitoring of vital signs in the general ward using wearable devices: Randomized controlled trial // J Med. Internet Res. 2020. T. 22. V. 6. p. 15471. 32519972;PMCID:' target='_blank'>https://doi.org/10.2196/15471PMID: 32519972;PMCID: PMC7315364
- Rossum M.C., Vlaskamp L.B., Posthuma L.M. Adaptive threshold-based alarm strategies for continuous vital signs monitoring // J. Clin. Monit. Comput. 2022. T. 36. V. 2. p. 407. https://doi.org/10.1007/s10877-021-00666-4
- Кучменко Т.А., Доровская Е.С., Менжулина Д.А., Умарханов Р.У. Мобильное устройство на основе массива сенсоров для анализа биопроб малого объема. Патент на изобретение 2764964 C1. Заявка № 2021110885 от 16.04.2021. Опубл. 24.01.2022.
- Кучменко Т.А., Доровская Е.С., Босикова Ю.Н., Сметанкина А.В., Битюкова В.В. Применение “электронного носа” на пьезосенсорах для сканирования летучих соединений гинекологических проб // Журн. аналит. химии. 2021. Т. 76. № 7. С. 634. (Kuchmenko T.A., Dorovskaya E.S., Bosikova Y.N., Smetankina A.V., Bityukova V.V. Application of an electronic nose based on piezoelectric sensors for scanning volatile compounds of gynecological tests // J. Anal. Chem.2021. V. 76. № 7. P. 868.)
- Кучменко Т. А., Мураховский И. А., Менжулина Д. А. Программа “Health by smell of skin (Hsmellsoft)” для фиксирования, расчета, представления и описания данных односенсорного гаджета. Свидетельство о регистрации программы для ЭВМ 2021662698, 03.08.2021. Заявка № 2021616688 от 29.04.2021.
Дополнительные файлы
















