Determination of Glyphosate, Its Metabolite, and Glufosinate in Products of Plant Origin by Chromatography–Mass-Spectrometry
- Authors: Sorokin A.V.1
-
Affiliations:
- The Russian State Center for Animal Feed and Drug Standardization and Quality (VGNKI)
- Issue: Vol 78, No 1 (2023)
- Pages: 80-89
- Section: ORIGINAL ARTICLES
- Submitted: 14.10.2023
- URL: https://journals.rcsi.science/0044-4502/article/view/136020
- DOI: https://doi.org/10.31857/S0044450222120167
- EDN: https://elibrary.ru/KLABFO
- ID: 136020
Cite item
Full Text
Abstract
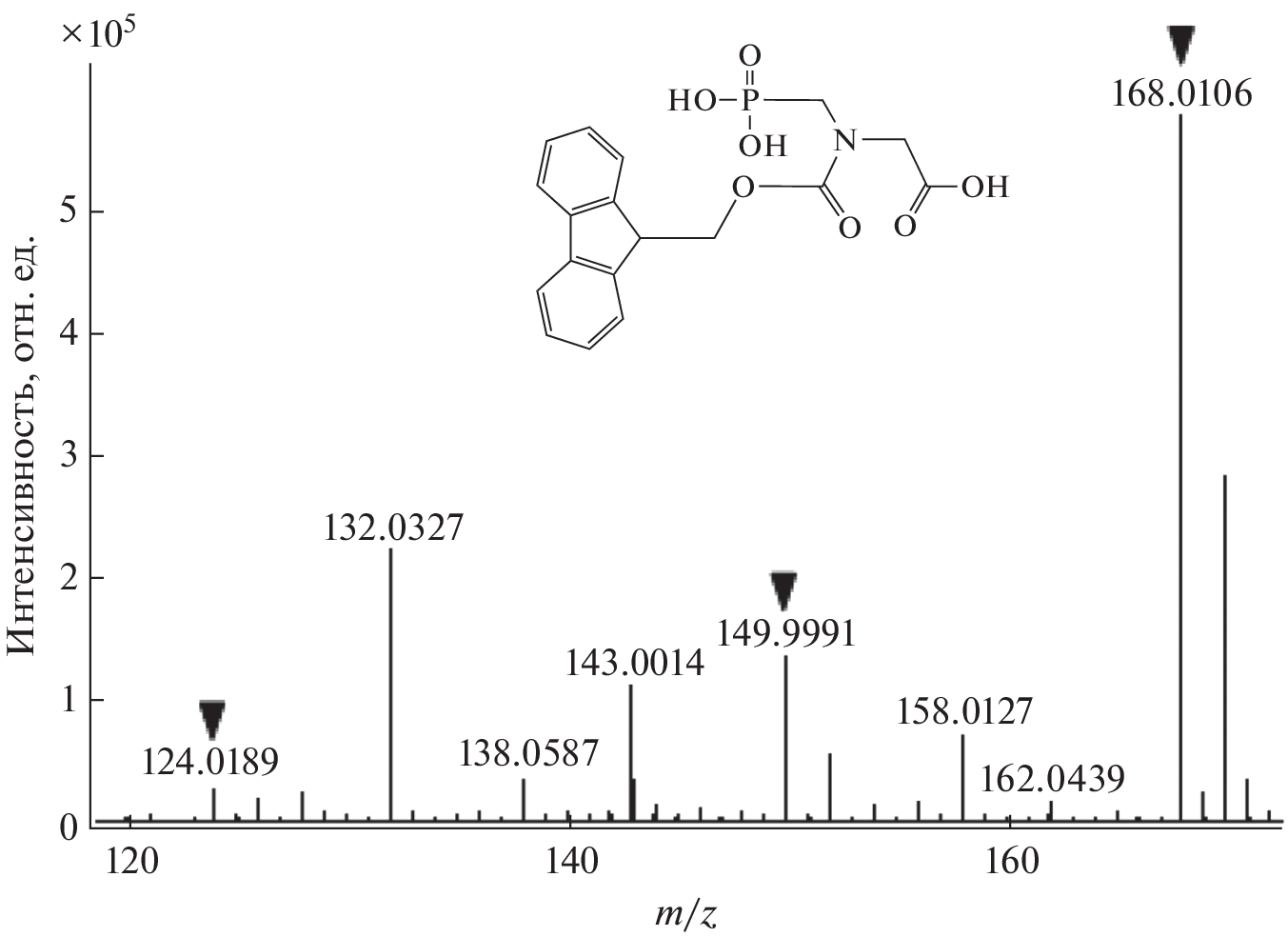
A selective procedure is developed for the determination of glyphosate, aminomethylphosphonic acid, and glufosinate in raw materials of plant origin by chromatography–mass spectrometry. The limit of quantification for glyphosate is 0.1 mg/kg and for glufosinate and aminomethylphosphonic acid, 0.4 mg/kg. The procedure is based on the extraction of analytes from a sample with deionized water acidified with hydrochloric acid, solid-phase purification followed by derivatization with 9-fluorenylmethoxycarbonyl chloride, and the additional purification of the derivatives on a sorbent with weak cation-exchange properties. The extraction and purification procedures for the extracts are optimized. The effect of matrix components on the chromatographic separation and detection of glyphosate on chromatographs–mass spectrometers of various types is studied. Validation of the developed procedure showed that the relative expanded uncertainty lies in the range from 15 to 25%.
About the authors
A. V. Sorokin
The Russian State Center for Animal Feed and Drug Standardization and Quality (VGNKI)
Author for correspondence.
Email: alex_sorokin@list.ru
123022, Moscow, Russia
References
- Arregui M.C., Lenardón A., Sanchez D., Maitre M.I., Scotta R., Enrique S. Monitoring glyphosate residues in transgenic glyphosate-resistant soybean // Pest. Manag. Sci. 2004. V. 60. P. 163.
- Bai S.H., Ogbourne S.M. Glyphosate: environmental contamination, toxicity and potential risks to human health via food contamination // Environ. Sci. Pollut. Res. 2016. V. 23. № 19. P. 18988.
- Singh S., Kumar V., Datta S., Wani A.B., Dhanjal D.S., Romero R., Singh J. Glyphosate uptake, translocation, resistance emergence in crops, analytical monitoring, toxicity and degradation: A review // Environ. Chem. Lett. 2020. V. 18. P. 663.
- Richard S., Moslemi S., Sipahutar H., Sipahutar H., Benachour N., Seralini G. Differential effects of glyphosate and Roundup on human placental cells and aromatase // Environ. Health Perspect. 2005. V. 113. № 6. P. 716.
- Koller V.J., Fürhacker M., Nersesyan A., Mišík M., Eisenbauer M., Knasmueller S. Cytotoxic and DNA-damaging properties of glyphosate and Roundup in human-derived buccal epithelial cells // Arch. Toxicol. 2012. V. 86. № 5. P. 805.
- International Agency for Research on Cancer. Some Organophosphate Insecticides and Herbicides. IARC Monographs on the Evaluation of Carcinogenic Risks to Humans. Lyon. France: International Agency for Research on Cancer, 2017. V. 112.
- Mörtl M., Németh G., Juracsek J., Darvas B., Kamp L., Rubio F., Székács A. Determination of glyphosate residues in Hungarian water samples by immunoassay // Microchem. J. 2013. V. 107. P. 143.
- Byer J.D., Struger J., Klawunn P., Todd A., Sverko E. Low cost monitoring of glyphosate in surface waters using the ELISA method: An evaluation // Environ. Sci. Technol. 2008. V. 42. № 16. P. 6052
- Rubio F., Veldhuis L.J., Clegg B.S., Fleeker J.R., Hall C.J. Comparison of a direct ELISA and an HPLC method for glyphosate determinations in water // J. Agric. Food Chem. 2003. V. 51. № 3. P. 691.
- Shan G. Immunoassays in Agricultural Biotechnology. John Wiley & Sons, 2011. 350 p.
- Singh G., Velasquez L., Brady B., Koerner T., Huet A.C., Delahaut P. Development of an indirect competitive ELISA for analysis of alternariol in bread and bran samples // Food Anal. Methods. 2018. V. 11. № 5. P. 1444.
- Vicini J.L., Jensen P.K., Young B.M., Swarthout J.T. Residues of glyphosate in food and dietary exposure // Compr. Rev. Food. Sci. Food. Saf. 2021. V. 20. № 5. P. 5526.
- Nedelkoska. T.V., Low G.K.C. High-performance liquid chromatographic determination of glyphosate in water and plant material after pre-column derivatisation with 9-fluorenylmethyl chloroformate // Anal. Chim. Acta. 2004. V. 511. P. 145.
- Fitri F., Muhamad H., Omar D., Asib N. A rapid liquid chromatography method for determination of gylphosate in crude palm oil with fluorescence detection // J. Chromatogr. Sep. Tech. 2017. V. 8. № 1. P. 346.
- Sun L., Kong D., Gu W., Guo X., Tao W., Shan Z., Wang Y., Wang N. Determination of glyphosate in soil/sludge by high performance liquid chromatography // J. Chromatogr. A. 2017. V. 1502. P. 8.
- Sharma1 P.O., Pholphana N., Rangkadilok1 N. Development of simple and sensitive HPLC method for determination of glyphosate residues in soybean // Nep. J. Environ. Sci. 2015. V. 3. P. 21.
- Hernandez F., Hidalgo C., Sancho J.V. Determination of glyphosate residues in plants by precolumn derivatization and coupled-column liquid chromatography with fluorescence detection // J. AOAC Int. 2000. V. 83. № 3. P. 728.
- Kaczyński P., Lozowicka B. Liquid chromatographic determination of glyphosate and aminomethylphosphonic acid residues in rapeseed with MS/MS detection or derivatization/fluorescence detection // J. Open Chem. 2015. V. 13. № 1. P. 1011.
- Pires N., Passos C., Morgado M., Mello D., Infante C., Caldas E. Determination of glyphosate, AMPA and glufosinate by high performance liquid chromatography with fluorescence detection in waters of the Santarém Plateau, Brazilian Amazon // J. Environ. Sci. Health B. 2020. V. 55. № 9. P. 794.
- Alferness P.L., Iwata Y. Determination of glyphosate and (aminomethy1)phosphonic acid in soil, plant and animal matrices, and water by capillary gas chromatography with mass-selective detection // J. Agric. Food Chem. 1994. V. 42. № 12. P. 2751.
- Hu J.Y., Chen C.L., Li J.Z. A simple method for the determination of glyphosate residues in soil by capillary gas chromatography with nitrogen phosphorus // J. Anal. Chem. 2008. V. 63. № 4. P. 371.
- Hori Y., Fujisawa M., Shimada K., Hirose Y. Determination of the herbicide glyphosate and its metabolite in biological specimens by gas chromatography-mass spectrometry. A case of poisoning by Roundup herbicide // J. Anal. Toxicol. V. 27. № 3. P. 162.
- /657/EC: Commission Decision of 12 August 2002 implementing Council Directive 96/23/EC concerning the performance of analytical methods and the interpretation of results (Text with EEA relevance) (notified under document number C(2002) 3044) // Official J. 2002. V. 221. P. 36.
- Council Directive 96/23/EC of 29 April 1996 on measures to monitor certain substances and residues thereof in live animals and animal products and repealing Directives 85/358/EEC and 86/469/EEC and Decisions 89/187/EEC and 91/664/EEC // Official J. 1996. V. 125. P. 10.
- Helio A.M., Lebre D.T., Wang A.Y., Pires M.A.F., Bustillos O.V. An alternative and fast method for determination of glyphosate and aminomethylphosphonic acid (AMPA) residues in soybean using liquid chromatography coupled with tandem mass spectrometry // Rapid Commun. Mass Spectrom. 2009. V. 23. № 7. P. 1029.
- Botero-Coy A.M., Ibáñez M., Sancho J.V., Hernández, F. Direct liquid chromatography–tandem mass spectrometry determination of underivatized glyphosate in rice, maize and soybean // J. Chromatogr. A. 2013. V. 1313. P. 157.
- Junjie D., Gehui J., Gaowa J., Aijin S., Zhimou G., Bing Y., Yang J., Jingyu Y., Xinmiao L. Determination of underivatized glyphosate residues in plant-derived food with low matrix effect by solid phase extraction-liquid chromatography-tandem mass spectrometry // Food Anal. Methods. 2016. V. 9. № 10. P. 2856.
- Chamkasem N., Harmon T. Direct determination of glyphosate, glufosinate, and AMPA in soybean and corn by liquid chromatography/tandem mass spectrometry // Anal. Bioanal. Chem. 2016. V. 408. № 18. P. 4995.
- МИ-ВЛ-1-03-2018. Методика измерений массовой доли глифосата, его метаболита аминометилфосфоновой кислоты и малеинового гидразида в продукции растительного происхождения методом высокоэффективной жидкостной хроматографии с тандемным масс-спектрометрическим детектированием. М.: Федеральный центр оценки безопасности и качества зерна и продуктов его переработки, 2019. 19 с.
- Goscinny S., Unterluggauer H., Aldrian J., Vincent H., Masselter S. Determination of glyphosate and its metabolite AMPA (Aminomethylphosphonic Acid) in cereals after derivatization by isotope dilution and UPLC-MS/MS // Food Anal. Methods. 2012. V. 5. № 5. P. 1177.
- Сорокин А., Некрасов Д., Батов И., Петров А., Киш Л. Глифосат в сырье растительного происхождения и кормах // Комбикорма. 2022. № 3. С. 58.
Supplementary files









