Извлечение и концентрирование высоколипофильного антиоксиданта 2,6-диизоборнил-4-метилфенола и его метаболита из образцов плазмы крови для определения методом ВЭЖХ-МС/МС
- Авторы: Лакеев А.П.1,2, Яновская Е.А.1,2, Яновский В.А.1, Андропов М.О.1
-
Учреждения:
- Национальный исследовательский Томский государственный университет, химический факультет, научно-образовательный центр “Перспективные материалы и технологии в недропользовании”
- Научно-исследовательский институт фармакологии и регенеративной медицины им. Е. Д. Гольдберга Томский национальный исследовательский медицинский центр Российской академии наук
- Выпуск: Том 78, № 2 (2023)
- Страницы: 176-186
- Раздел: ОРИГИНАЛЬНЫЕ СТАТЬИ
- Статья получена: 14.10.2023
- URL: https://journals.rcsi.science/0044-4502/article/view/136019
- DOI: https://doi.org/10.31857/S0044450223020068
- EDN: https://elibrary.ru/CEKHAR
- ID: 136019
Цитировать
Полный текст
Аннотация
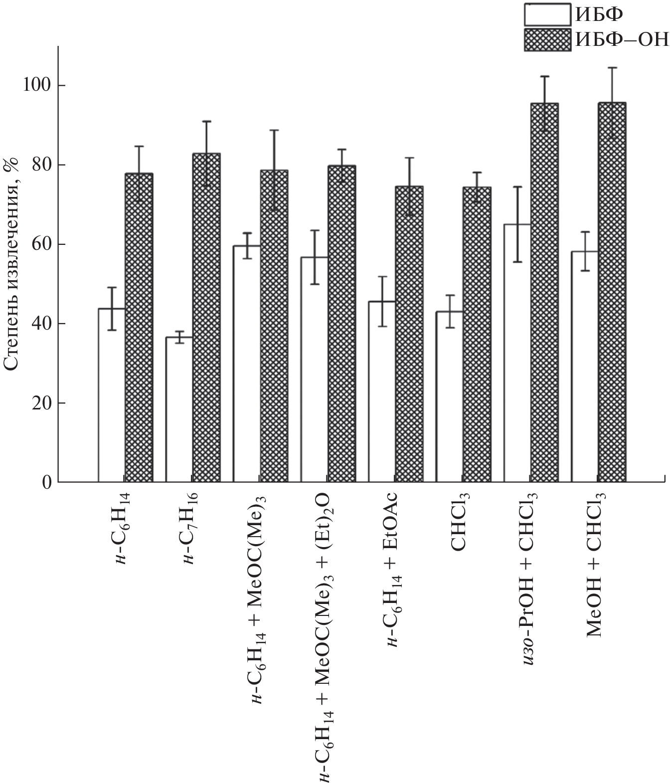
Предложена методика извлечения 2,6-диизоборнил-4-метилфенола (ИБФ), молекула которого обладает потенциальной мультитаргетной активностью, и его активного метаболита 2,6-диизоборнил-4-гидроксиметилфенола (ИБФ–ОН) из образцов плазмы человека и крысы для дальнейшего определения методом жидкостной тандемной хромато-масс-спектрометрии. Определена растворимость ИБФ (в мг/мл) в различных органических растворителях. В частности, соединение легко растворимо в хлороформе (346 ± 14), метил-трет-бутиловом эфире (98.6 ± 3.8) и этилацетате (96.8 ± 2.0). Показано, что использование в качестве экстракционной системы с одновременной денатурацией белка смеси хлороформа и изопропанола (5 : 1, по объему) позволяет извлекать лишь 66 ± 10% ИБФ от его общего количества, в то время как степень извлечения ИБФ–ОН составляет 96 ± 7%. Предварительное разбавление 200 мкл плазмы 300 мкл физиологического раствора повышает извлечение ИБФ до 100 ± 4%. Высушивание экстрактов в вакуумном концентраторе (воздух, 45°C) с дальнейшим растворением сухих остатков в 300 мкл ацетонитрила способствует очистке биообразцов и концентрированию аналитов. Общее время пробоподготовки не превышает 70 мин, а продолжительность анализа составляет 7 мин, объем вводимой аликвоты − 2 мкл. Методика успешно апробирована на реальных образцах плазмы крыс после однократного перорального введения масляной формы ИБФ (10 мг/кг) в рамках фармакокинетических исследований.
Ключевые слова
Об авторах
А. П. Лакеев
Национальный исследовательский Томский государственный университет, химический факультет,научно-образовательный центр “Перспективные материалы и технологии в недропользовании”; Научно-исследовательский институт фармакологии и регенеративной медицины им. Е. Д. Гольдберга
Томский национальный исследовательский медицинский центр Российской академии наук
Email: lakeevs@mail.ru
Россия, 634050, Томск, просп. Ленина, 36; Россия, 634028, Томск, просп. Ленина, 3
Е. А. Яновская
Национальный исследовательский Томский государственный университет, химический факультет,научно-образовательный центр “Перспективные материалы и технологии в недропользовании”; Научно-исследовательский институт фармакологии и регенеративной медицины им. Е. Д. Гольдберга
Томский национальный исследовательский медицинский центр Российской академии наук
Email: elena.yanovskaya@pharmso.ru
Россия, 634050, Томск, просп. Ленина, 36; Россия, 634028, Томск, просп. Ленина, 3
В. А. Яновский
Национальный исследовательский Томский государственный университет, химический факультет,научно-образовательный центр “Перспективные материалы и технологии в недропользовании”
Email: elena.yanovskaya@pharmso.ru
Россия, 634050, Томск, просп. Ленина, 36
М. О. Андропов
Национальный исследовательский Томский государственный университет, химический факультет,научно-образовательный центр “Перспективные материалы и технологии в недропользовании”
Автор, ответственный за переписку.
Email: elena.yanovskaya@pharmso.ru
Россия, 634050, Томск, просп. Ленина, 36
Список литературы
- Makhoba X.H., Jr C.V., Mosa R.A., Viegas F.PD., Pooe O.J. Potential impact of the multi-target drug approach in the treatment of some complex diseases // Drug Des. Devel. Ther. 2020. V. 14. P. 3235. https://doi.org/10.2147/DDDT.S257494
- Talevi A. Multi-target pharmacology: possibilities and limitations of the “skeleton key approach” from a medicinal chemist perspective // Front. Pharmacol. 2015. V. 6. Article 205. https://doi.org/10.3389/fphar.2015.00205
- Кучин А.В., Чукичева И.Ю., Федорова И.В. Способ получения 2,6-диизоборнил-4-метилфенола. Патент РФ № 2394807. Заявка 2008120876/04 от 28.05.2008, опубл. 20.07.2010.
- Чукичева И.Ю., Буравлев Е.В., Федорова И.В., Борисенков М.Ф., Кучин А.В. Антиоксидантные свойства терпенофенолов // Изв. АН. Сер. хим. 2010. № 12. С. 2220. (Chukicheva I.Yu., Buravlev E.V., Fedorova I.V., Borisenkov M.F., Kutchin A.V. Antioxidant properties of terpene-substituted phenols // Russ. Chem. Bull. 2010. V. 59. № 12. P. 2276.)https://doi.org/10.1007/s11172-010-0388-5
- Плотников М.Б., Краснов Е.А., Чернышева Г.А., Смольякова В.И., Иванов И.С., Кучин А.В., Чукичева И.Ю., Федорова И.В. Нейропротекторное средство. Патент РФ № 2406488. Заявка 2009115030/15 от 20.04.2009, опубл. 20.12.2010.
- Чернышева Г.А., Смольякова В.И., Кучин А.В., Чукичева И.Ю., Плотников М.Б. Нейропротективный эффект диборнола на модели фокальной ишемии-реперфузии головного мозга у крыс // Бюл. эксп. биол. и мед. 2018. Т. 166. № 7. С. 18. (Chenysheva G.A., Smol’akova V.A., Kutchin A.V., Chukicheva I.Yu., Plotnikov M.B. Neuroprotective effects of dibornol in focal cerebral ischemia/reperfusion in rats // Bull. Exp. Biol. Med. 2018. V. 166. № 1. P. 15.)https://doi.org/10.1007/s10517-018-4278-4
- Плотникова Т.М., Чернышева Г.А., Смольякова В.А., Щетинин П.П., Кучин А.В., Чукичева И.Ю., Плотников М.Б. Кардиопротективная активность 2,6-диизоборнил-4-метилфенола при острой ишемии-реперфузии миокарда у крыс // Бюл. эксп. биол. и мед. 2018. Т. 165. № 5. С. 601. (Plotnikova T.M., Chernysheva G.A., Smol’yakova V.A., Shchetinin P.P., Kuchin A.V., Chukicheva I.Yu., Plotnikov M.B. Cardioprotective activity of 2,6-diisobornyl-4-methylphenol in acute myocardial ischemia/reperfusion in rats // Bull. Exp. Biol. Med. 2018. V. 165. № 5. P. 657.)https://doi.org/10.1007/s10517-018-4235-2
- Жданкина А.А., Логвинов С.В., Плотников М.Б., Смольякова В.И., Иванов И.С., Кучин А.В., Чукичева И.Ю., Федорова И.В. Средство, обладающее ретинопротекторной активностью. Патент РФ № 2406487. Заявка 2009117355/15 от 06.05.2009, опубл. 20.12.2010.
- Плотникова Т.М., Чернышева Г.А., Смольякова В.А., Щетинин П.П., Кучин А.В., Чукичева И.Ю., Плотников М.Б. Гемореологические эффекты диборнола в условиях модели ишемии/реперфузии миокарда // Бюл. эксп. биол. и мед. 2014. Т. 157. № 2. С. 173. (Plotnikova T.M., Chernysheva G.A., Smol’yakova V.I., Shchetinin P.P., Kuchin A.V., Chukicheva I.Yu., Plotnikov M.B. Hemorheologic effects of dibornol in a model of myocardial ischemia/reperfusion // Bull. Exp. Biol. Med. 2014. V. 157. № 2. P. 211.)https://doi.org/10.1007/s10517-014-2527-8
- Плотников М.Б., Краснов Е.А., Смольякова В.И., Иванов И.С., Кучин А.В., Чукичева И.Ю. Средство, увеличивающее мозговой кровоток. Патент РФ № 2351321. Заявка 2007126303/15 от 10.07.2007, опубл. 10.04.2009.
- Плотников М.Б., Краснов Е.А., Смольякова В.И., Иванов И.С., Кучин А.В., Чукичева И.Ю., Буравлев Е.В. Средства, обладающие гемореологической, антиагрегантной и антитромбогенной активностью. Патент РФ № 2347561. Заявка 2007115301/15 от 23.04.2007, опубл. 27.02.2009.
- Боровская Т.Г., Камалова С.И., Кривова Н.А., Заева О.Б., Полуэктова М.Е., Вычужанина А.В., Григорьева В.А., Плотников М.Б., Гольдберг В.Е. Экспериментальное изучение эффективности фенольных антиоксидантов при мужской инфертильности, обусловленной патоспермией // Бюл. эксп. биол. и мед. 2018. Т. 166. № 7. С. 10. (Borovskaya T.G., Kamalova S.I., Krivova N.A., Zaeva O.B., Poluektova M.E., Vychuzhanina A.V., Grigor’eva V.A., Plotnikov M.B., Goldberg V.E. Experimental study of the effectiveness of phenolic antioxidants in male infertility caused by pathospermia // Bull. Exp. Biol. Med. 2018. V. 166. № 1. P. 7.)https://doi.org/10.1007/s10517-018-4276-6
- Боровская Т.Г., Камалова С.И., Григорьева В.А., Полуэктова М.Е., Вычужанина А.В., Кучин А.В., Чукичева И.Ю., Буравлев Е.В., Фомина Т.И., Плотников М.Б., Гольдберг В.Е., Дыгай А.М. Эффективность антиоксидантов фенольной природы в экспериментальной модели доброкачественной гиперплазии предстательной железы // Бюл. эксп. биол. и мед. 2019. Т. 167. № 5. С. 541. (Borovskaya T.G., Kamalova S.I., Grigor’eva V.A., Poluektova M.E., Vychuzhanina A.V., Kuchin A.V., Chukicheva I.Yu., Buravlev E.V., Fomina T.I., Plotnikov M.B., Goldberg V.E., Dygai A.M. Effectiveness of phenolic antioxidants in experimental model of benign prostatic hyperplasia // Bull. Exp. Biol. Med. 2019. V. 167. № 5. P. 606.)https://doi.org/10.1007/s10517-019-04580-3
- Чернышева Г.А., Смольякова В.И., Плотников М.Б., Яновская Е.А., Гурто Р.В., Удут В.В., Кучин А.В., Чукичева И.Ю. Фармакокинетика фенольного антиоксиданта 4-метил-2,6-диизоборнилфенола при внутривенном введении // Эксп. клин. фармакол. 2011. Т. 74. № 9. С. 20.
- Смольякова В.И., Чернышева Г.А., Яновская Е.А., Гурто Р.В., Кучин А.В., Чукичева И.Ю., Удут В.В., Плотников М.Б. Оценка линейности фармакокинетики фенольного антиоксиданта 4-метил-2,6-диизоборнилфенола при внутрижелудочном введении // Эксп. клин. фармакол. 2014. Т. 77. № 2. С. 31.
- Смольякова В.И., Чернышева Г.А., Яновская Е.А., Гурто Р.В., Кучин А.В., Чукичева И.Ю., Удут В.В., Плотников М.Б. Распределение 4-метил-2,6-диизоборнилфенола в тканях и органах крыс // Эксп. клин. фармакол. 2014. Т. 77. № 9. С. 28.
- Чернышева Г.А., Смольякова В.И., Яновская Е.А., Кучин А.В., Чукичева И.Ю., Удут В.В., Плотников М.Б. Биодоступность фенольного антиоксиданта 4-метил-2,6-диизоборнилфенола при пероральном введении // Бюл. эксп. биол. и мед. 2016. Т. 161. № 4. С. 494. (Chernysheva G.A., Smolyakova V.I., Yanovskaya E.A., Kutchin A.V., Chukicheva I.Yu., Udut V.V., Plotnikov M.B. Bioavailability of phenolic antioxidant 4-methyl-2,6-diisobornylphenol after oral administration // Bull. Exp. Biol. Med. 2016. V. 161. № 4. P. 505.)https://doi.org/10.1007/s10517-016-3448-5
- Яновская Е.А., Смольякова В.И., Чернышева Г.А., Гурто Р.В., Кучин А.В., Чукичева И.Ю., Удут В.В., Плотников М.Б. Экскреция высоколипофильного фенольного антиоксиданта у крыс // Хим.-фарм. журн. 2017. Т. 51. № 5. С. 13. (Yanovskaya E.A., Smol’yakova V.I., Chernysheva G.A., Gurto R.V., Kuchin A.V., Chukicheva I.Yu., Udut V.V., Plotnikov M.B. Excretion of a highly lipophilic phenolic antioxidant from rats // Pharm. Chem. J. 2017. V. 51. № 5. P. 340.)https://doi.org/10.1007/s11094-017-1610-7
- Bird D.A., Tangirala R.K., Fruebis J., Steinberg D., Witztum J.L., Palinski W. Effect of probucol on LDL oxidation and atherosclerosis in LDL receptor-deficient mice // J. Lipid Res. 1998. V. 39. № 5. P. 1079.
- Xie K., Xiang J., Yu Q., Liang M.-Z., Nan F., Qin Y.-P. Determination of probucol in human plasma by HPLC–MS/MS // J. Sichuan Univ. (Med. Sci. Edi.). 2012. V. 43. № 5. P. 775.
- Kudo S., Akiyama H., Odomi M., Miyamoto G. High-performance liquid chromatographic procedure for the determination of probucol in human plasma // J. Chromatogr. B: Biomed. Appl. 1983. V. 277. P. 419. https://doi.org/10.1016/s0378-4347(00)84869-0
- Ortega H., Coperias J.L., Castilla P., Gómez-Coronado D., Lasunción M.A. Liquid chromatographic method for the simultaneous determination of different lipid-soluble antioxidants in human plasma and low-density lipoproteins // J. Chromatogr. B: Biomed. Appl. 2004. V. 803. № 2. P. 249. https://doi.org/10.1016/j.jchromb.2003.12.025
- Elinder L.S., Walldius G. Simultaneous measurement of serum probucol and lipid-soluble antioxidants // J. Lipid Res. 1992. V. 33. № 1. P. 131.
- Nourooz-Zadeh J., Gopaul N.K., Forster L.A., Ferns G.A., Änggård E.E. Measurement of plasma probucol levels by high-performance liquid chromatography // J. Chromatogr. B: Biomed. Appl. 1994. V. 654. № 1. P. 55. https://doi.org/10.1016/0378-4347(94)00003-4
- Краснов Е.А., Назмутдинова Е.Е., Иванов И.С., Чукичева И.Ю., Кучин А.В., Плотников М.Б. Разработка методик анализа нового пространственно-затрудненного фенола диборнола в качестве фармацевтической субстанции // Хим.-фарм. журн. 2010. Т. 44. № 11. С. 53. (Krasnov E.A., Nazmutdinova E.E., Ivanov I.S., Chukicheva I. Yu., Kuchin A.V., Plotnikov M.B. Development of methods for the analysis of the new sterically hindered phenol dibornol as a pharmaceutical substance // Pharm. Chem. J. 2011. V. 44. № 11. P. 639.) https://doi.org/10.1007/s11094-011-0536-8
- Reichardt C., Welton T. Solvents and Solvent Effects in Organic Chemistry. Weinheim: Wiley-VCH, 2011. 711 p.
- Hansen C.M. Hansen Solubility Parameters: A User’s Handbook. N. W.: CRC Press, 2007. 520 p.
- Gross K.C., Seybold P.G. Substituent effects on the physical properties and pKa of phenol // Int. J. Quantum Chem. 2001. V. 85. № 4–5. P. 569. https://doi.org/10.1002/qua.1525
- https://pubchem.ncbi.nlm.nih.gov (23.05.2022).
- Boulebd H. Radical scavenging behavior of butylated hydroxytoluene against oxygenated free radicals in physiological environments: Insights from DTF calculations // Int. J. Chem. Kinet. 2021. V. 54. P. 50. https://doi.org/10.1002/kin.21540
- Государственная Фармакопея РФ XIV издания. М.: ФГБУ “Научный центр экспертизы средств медицинского применения” Минздрава России, 2018. Т. 1. С. 542 (ОФС. 1.2.1.0005.15 Растворимость). https://pharmacopoeia.ru/ofs-1-2-1-0005-15-rastvorimost (23.05.2022). https://femb.ru/record/pharmacopea14 (23.05.2022).
Дополнительные файлы









