Об устойчивости незамещенных гидразонов ароматических карбонильных соединений к гидролизу в условиях обращенно-фазовой ВЭЖХ
- Авторы: Деруиш А.1, Каракашев Г.В.2, Уколов А.И.2, Зенкевич И.Г.1
-
Учреждения:
- Санкт-Петербургский государственный университет, Институт химии
- Научно-исследовательский институт гигиены, профпатологии и экологии человека Федерального медико-биологического агентства России
- Выпуск: Том 78, № 2 (2023)
- Страницы: 166-175
- Раздел: ОРИГИНАЛЬНЫЕ СТАТЬИ
- Статья получена: 14.10.2023
- URL: https://journals.rcsi.science/0044-4502/article/view/136016
- DOI: https://doi.org/10.31857/S0044450223020032
- EDN: https://elibrary.ru/CEGSOJ
- ID: 136016
Цитировать
Полный текст
Аннотация
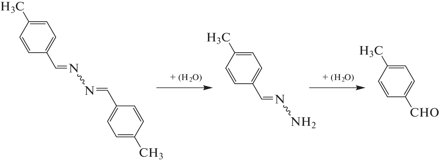
Соединения ряда незамещенных гидразонов RR′C=NNH2 отличаются нестабильностью в ходе газохроматографического разделения. Проверка их устойчивости к гидролизу в условиях обращенно-фазовой ВЭЖХ показала, что гидразоны ароматических кетонов стабильны. В отличие от них, гидразоны альдегидов оказались стабильными в системах метанол–вода при их нейтральной реакции (при отсутствии кислых модификаторов). В системах же ацетонитрил–вода, содержащих 0.1% муравьиной кислоты, стабильны только гидразоны ароматических кетонов, тогда как производные альдегидов полностью гидролизуются. Эту особенность необходимо принимать во внимание при определении других соединений этого класса. Для выявления гидролиза аналитов сопоставлены индексы удерживания исходных карбонильных соединений и гидразонов при разных соотношениях объемов органических модификаторов и водных фаз и различных значениях рН элюента, относительные оптические плотности характеризуемых компонентов A(254/220) = А(254)/А(220), а также данные хромато-масс-спектрометрического анализа.
Об авторах
А. Деруиш
Санкт-Петербургский государственный университет, Институт химии
Email: izenkevich@yandex.ru
Россия, 198504, Санкт-Петербург, Университетский просп., 26
Г. В. Каракашев
Научно-исследовательский институт гигиены, профпатологии и экологии человекаФедерального медико-биологического агентства России
Email: izenkevich@yandex.ru
Россия, 188663, Ленинградская обл., г.п. Кузьмоловский, ст. Капитолово 93
А. И. Уколов
Научно-исследовательский институт гигиены, профпатологии и экологии человекаФедерального медико-биологического агентства России
Email: izenkevich@yandex.ru
Россия, 188663, Ленинградская обл., г.п. Кузьмоловский, ст. Капитолово 93
И. Г. Зенкевич
Санкт-Петербургский государственный университет, Институт химии
Автор, ответственный за переписку.
Email: izenkevich@yandex.ru
Россия, 198504, Санкт-Петербург, Университетский просп., 26
Список литературы
- Zenkevich I.G. Features and new examples of gas chromatographic separation of thermally unstable analytes. Ch. 3 / Recent Advances in Gas Chromatography. London: IntechOpen Ltd., 2020. P. 1. https://doi.org/10.5772/intechopen.94229
- Middleditch B.S. Analytical Artifacts: GC, MS, HPLC, TLC, and PC. Amsterdam: J. Chromatogr. Library, 1989. V. 44. 1033 p.
- Herr C.H., Whitmore F.C., Schiessler R.W. The Wolff–Kishner reaction at atmospheric pressure // J. Am. Chem. Soc. 1945. V. 67. № 12. P. 2061. https://doi.org/10.1021/ja01228a002
- Soffer M.D., Soffer M.B., Sherk K.W. A low pressure method for Wolff–Kishner reduction // J. Am. Chem. Soc. 1945. V. 67. № 9. P. 1435. https://doi.org/10.1021/ja1225a004
- Kuethe J.T., Childers K.G., Peng Z., Journet M., Humphrey G.R., Vickery T., Bachert D., Lam T.T. A practical kilogram-scale implementation of the Wolff–Kishner reduction // Org. Process Res. Development. 2009. V. 13. № 3. P. 576. https://doi.org/10.1021/op9000274
- The NIST Mass Spectral Library (NIST/EPA/NIH EI MS Library, 2017 Release). Software/Data Version; NIST Standard Reference Database, Number 69, August 2017. National Institute of Standards and Technology, Gaithersburg, MD 20899: http://webbook.nist.gov (дата обращения: апрель 2022 г.).
- Зенкевич И.Г., Подольский Н.Е. Выявление соединений, нестабильных в условиях газохроматографического разделения. Незамещенные гидразоны карбонильных соединений // Аналитика и контроль. 2017. Т. 21. № 2. С. 125. https://doi.org/10.15825/analitika.2017.21.2.002
- Зенкевич И.Г., Лукина В.М. Особенности газохроматографического разделения таутомеров этилацетоацетата // Журн. физ. химии. 2020. Т. 94. № 6. С. 910. https://doi.org/10.1134/S0036024420060357
- Kornilova T.A., Ukolov A.I., Kostikov R.R., Zenkevich I.G. A simple criterion for gas chromatography/mass spectrometric analysis of thermally unstable compounds, and reassessment of the by-products of alkyl diazoacetate synthesis // Rapid Commun. Mass Spectrom. 2013. V. 27. № 3. P. 461. https://doi.org/10.1002/rcm.6457
- Kovats’ retention index system / Encyclopedia of Chromatography / Ed. Cazes J. 3rd Ed. Boca Raton: CRC Press (Taylor & Francis Group), 2010. P. 1304.
- Peterson M.L., Hirsch J. A calculation for locating the carrier gas front of a gas-liquid chromatogram // J. Lipid Res. 1959. V. 1. P. 132.
- Kovarikova P., Vavrova K., Tomalova K., Schongut M., Hruskova K., Haskova P., Klimes J. HPLC-DAD and MS/MS analysis of novel drug candidates from the group of aromatic hydrazones revealing the presence of geometric isomers // J. Pharm. Biomed. Anal. 2008. V. 48. № 2. P. 295. https://doi.org/10.1016/j.jpba.2007.12.017
- Isenberg S.L., Carter M.D., Crow B.S., Graham L.A., Johnson D.J., Beninato N., Steele K., Thomas J.D., Johnson R.C. Quantification of hydrazine in human urine by HPLC-MS-MS // J. Anal. Toxicol. 2016. V. 40. № 4. P. 248. https://doi.org/10.1093/jat/bkw015
- Song L., Gao D., Li S., Wang Y., Liu H., Jiang Y. Simultaneous quantitation of hydrazine and acetylhydrazine in human plasma by high performance liquid chromatography – tandem mass spectrometry after derivatization with p-tolualdehyde // J. Chromatogr. B. 2017. V. 1063. P. 189. https://doi.org/10.1016/j.jchromb.2017.08.-36
- Brewer C.T., Yang L., Edwards A., Lu Y., Low J., Wu J., Lee R.E., Chen T. The isoniazid metabolites hydrazine and pyridoxal isonicotinoyl hydrazone modulate heme biosynthesis // Toxicol. Sci. 2019. V. 168. № 1. P. 209. https://doi.org/10.1093/toxsci/kfy294
- Wahbeh J., Milkowski S. The use of hydrazones for biomedical applications // SLAS Technol. 2019. V. 24. № 2. P. 161. https://doi.org/10.1117/2472630318822713
- Mateeva A., Peikova L., Kondeva-Burdina M., Georgieva M. Development of new HPLC method for identification of metabolic degradation of N-pyrrolylhydrazide hydrazones with determined MAO-B activity in cellular cultures // Pharmacia. 2021. V. 69. № 1. P. 15. https://doi.org/10.3897/pharmacia.69.e78417
- Derivatization of analytes in chromatography: General aspects / Encyclopedia of Chromatography / Ed. Cazes J. 3rd Ed. New York: Taylor & Francis, 2010. V. 1. P. 562.
- Carbonyls: Derivatization for GC analysis / Encyclopedia of Chromatography / Ed. Cazes J. 3rd Ed. New York: Taylor & Francis, 2010. V. 1. P. 310.
- Grosjean E., Green P.G., Grosjean D. Liquid chromatography analysis of carbonyl (2,4-dinitrophenyl)hydrazones with detection by diode array ultraviolet spectroscopy and by atmospheric pressure negative chemical ionization mass spectrometry // Anal. Chem. 1999. V. 71. № 9. P. 1851. https://doi.org/10.1021/ac981022v
- Rapid separation and identification of carbonyl compounds by HPLC / Agilent Application Note / Wilmington: Agilent Technologies, Inc., 2008. 4 p.
- Ochs S.M., Fasciotti M., Netto A.D.P. Analysis of 31 hydrazones of carbonyl compounds by RRLC-UV and RRLC-MS(/MS): A comparison of methods // J. Spectrosc. 2015. Article ID 890836. https://doi.org/10.1155/2015/890836
- Damanik M., Murkovic M. Formation of potentially toxic carbonyl compounds during oxidation of triolein in the presence of alimentary antioxidants // Monatsh Chem. 2017. V. 148. № 12. P. 2031. https://doi.org/10.1007/s00706-017-2036-3
- Frey J., Schneider F., Schink B., Hunn T. Synthesis of short-chain hydroxyaldehydes and their 2,4-dinitrophenylhydrazones derivatives, and separation of their isomers by high-performance liquid chromatography // J. Chromatogr. A. 2018. V. 1531. P. 143. https://doi.org/10.1016/chroma.2017.11.046
- Kalia J., Reines R.T. Hydrolytic stability of hydrazones and oximes // Angew. Chem. Int. Ed. 2008. V. 47. № 39. P. 7523. https://doi.org/10.002/anie.200802651
- Зенкевич И.Г., Косман В.М. Относительное поглощение при разных длинах волн - дополнительный УФ-спектральный параметр для идентификации органических соединений в обращенно-фазовой ВЭЖХ // Журн. аналит. химии. 1996. Т. 51. № 8. С. 870.
- Зенкевич И.Г., Косман В.М. Новые возможности идентификации органических соединений по УФ-спектрам с использованием относительных оптических плотностей // Журн. прикл. химии. 1997. Т. 70. № 11. С. 1861
- Зенкевич И.Г., Деруиш А. Аналитические аспекты зависимости индексов удерживания органических соединений в обращенно-фазовой ВЭЖХ от содержания метанола в составе элюента // Аналитика и контроль. 2022. Т. 26. № 1. С. 41. https://doi.org/10.15826/analitika.2022.26.1.004
- Practical Gas Chromatography / Eds. Engewald W., Dettmer-Wilde K. Berlin: Springer-Verlag, 2014. 902 p.
- Иоффе Б.В., Кузнецов М.А., Потехин А.А. Химия органических производных гидразина. Л.: Химия, 1979, 224 с.
Дополнительные файлы









