Using Carbon Quantum Dots for the Determination of Aminoglycoside Antibiotics by Fluorescence Polarization Immunoassay
- Authors: Larina M.Y.1, Farafonova O.V.1, Eremin S.A.2, Ermolayeva T.N.1
-
Affiliations:
- Lipetsk State Technical University,
- Lomonosov Moscow State University
- Issue: Vol 78, No 1 (2023)
- Pages: 34-42
- Section: ORIGINAL ARTICLES
- Submitted: 14.10.2023
- URL: https://journals.rcsi.science/0044-4502/article/view/135996
- DOI: https://doi.org/10.31857/S0044450222110068
- EDN: https://elibrary.ru/KKHWLP
- ID: 135996
Cite item
Full Text
Abstract
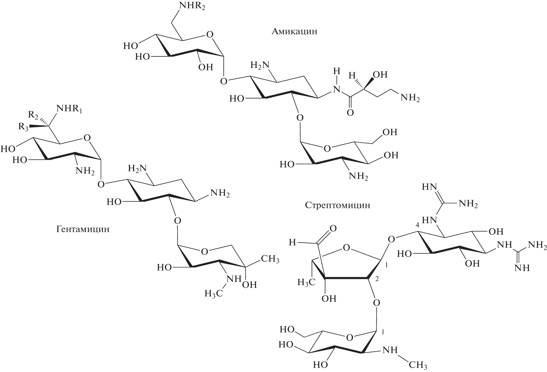
Conditions are studied for the synthesis of carbon quantum dots (CQD) exhibiting green fluorescence by the ultrasonic treatment of multilayered carbon nanotubes in a mixture HNO3 with H2SO4 (CQD-1) and by the microwave decomposition of 9,10-dinitroanthracene in ethanol (CQD-2). The sizes of COD are estimated by atomic force microscopy, and their optical properties, by spectrophotometry and fluorescence spectrometry. Infrared spectrometry was used to identify active functional groups on the CQD surface, participating in the formation of stable bonds in the synthesis of tracers. A possibility of using CQD as labels in fluorescence polarization immunoassay (FPIA) is shown. Procedures are developed for determining aminoglycoside antibiotics gentamycin, streptomycin, and amikacin by FPIA using a TDx-analyzer (Abbott Diagnostics, United States); their performance characteristics are presented. The limit of detection is (ng/mL) 20, 10, and 3, and the analytical range (µg/mL) is 0.05–3.00, 0.02–6.00, and 0.01–3.00 for gentamycin, streptomycin, and amikacin respectively. The procedures are tested in the determination of gentamycin, streptomycin, and amikacin in dairy products.
Various labels, most often enzyme or fluorescent, are used to
About the authors
M. Yu. Larina
Lipetsk State Technical University,
Email: ov.farafonova@yandex.ru
398055, Lipetsk, Russia
O. V. Farafonova
Lipetsk State Technical University,
Email: ov.farafonova@yandex.ru
398055, Lipetsk, Russia
S. A. Eremin
Lomonosov Moscow State University
Email: ov.farafonova@yandex.ru
119991, Moscow, Russia
T. N. Ermolayeva
Lipetsk State Technical University,
Author for correspondence.
Email: ov.farafonova@yandex.ru
398055, Lipetsk, Russia
References
- Горячева И.Ю. Современные тенденции развития иммунохимических методов анализа медицинских объектов // Журн. аналит. химии. 2015. Т. 70. № 8. С. 787. (Goryacheva I.Yu. Modern trends in the development of immunochemical methods for the analysis of medical objects // J. Anal. Chem. 2015.V. 70. № 8. P. 903.)
- Speranskaya E.S., Goryacheva I.Yu. Fluorescent quantum dots: Synthesis, modification, and application in immunoassays // Nanotechnologies in Russia. 2013. V. 8. № 11–12. P. 685.
- Di Nardo F., Anfossi L., Giovannoli C., Passini C., Goftman V.V., Goryacheva I.Yu., Baggiani C. A fluorescent immunochromatographic strip test using quantum dots for fumonisins detection // Talanta. 2016. V. 150. P. 463.
- Anfossi L., Di Nardo F., Cavalera S., Giovannoli C., Spano G., Speranskaya E.S., Baggiani C. A lateral flow immunoassay for straightforward determination of fumonisin mycotoxins based on the quenching of the fluorescence of CdSe/ZnS quantum dots by gold and silver nanoparticles // Microchim. Acta. 2018. V. 185. № 2. P. 94.
- Zhang C., Han Y., Lin L., Deng N., Chen B., Liu Y. Development of quantum dots-labeled antibody fluorescence immunoassays for the detection of morphine // J. Agric. Food Chem. 2017. V. 65. № 6. P. 1290.
- Zhu L., Cui X., Wu J., Wang Z., Wang P., Hou Y., Yang M. Fluorescence immunoassay based on carbon dots as labels for the detection of human immunoglobulin G // Anal. Methods. 2014. V. 6. № 12. P. 4430.
- Cahuilla A., Soriano M.L., Carrillo-Carrion C., Valances M. Semiconductor and carbon-based fluorescent nanodots: The need for consistency // Chem. Commun. 2016. V. 52. P. 1311.
- Li S., Wang Y., Mu X., Sheng W., Wang J., Wang S. Two fluorescence quenching immunochromatographic assays based on carbon dot and quantum dot as donor probes for the determination of enrofloxacin // Anal. Methods. 2019. V. 11. P. 2378.
- Pan M., Xie X., Liu K., Yang J., Hong L., Wang S. Fluorescent carbon quantum dots — Synthesis, functionalization and sensing application in food // Analysis. Nanomaterials. 2020. V. 10. № 5. P. 930.
- Chunduri L.A.A., Haleyurgirisetty M.K., Patnaik S., Bulagonda P.E., Kurdekar A., Liu J. Development of carbon dot-based microplate and microfluidic chip immunoassay for rapid and sensitive detection of HIV-1 p24 antigen // Microfluid Nanofluid. 2016. V. 20. P. 167
- Zhang C., Yu X., Shi X., Han Y., Guo Z., Liu Y. Development of carbon quantum dot–labeled antibody fluorescence immunoassays for the detection of morphine in hot pot soup base // Food Anal. Methods. 2020. V. 13. P. 1042.
- Yao D., Liang A., Jiang Z. A fluorometric clenbuterol immunoassay using sulfur and nitrogen doped carbon quantum dots // Microchim. Acta. 2020. V. 186. P. 323.
- Zhu L., Cui X., Wu J., Wang Z., Wang P., Hou Y., Yang M. Fluorescence immunoassay based on carbon dots as labels for the detection of human immunoglobulin G // Anal. Methods. 2014. V. 6. № 12. P. 4430.
- Воронежцева О.В., Еремин С.А., Ермолаева Т.Н. Определение аминогликозидных антибиотиков в пищевых продуктах методом поляризационного флуоресцентного иммуноанализа // Вестник ВГУ. 2009. № 2. С. 11.
- Beloglazova N.V., Eremin S.A. Rapid screening of aflatoxin B1 in beer by fluorescence polarization immunoassay // Talanta. 2015. V. 142. P. 170.
- Ma M., Chen M., Feng L., You H.J., Yang R., Boroduleva A., Hua X.D., Eremin S.A., Wang M.H. Fluorescence polarization immunoassay for highly efficient detection of imidaclothiz in agricultural samples // Food Anal. Methods. 2016. V. 9. P. 2471.
- Jameson D.M., Ross J.A. Fluorescence polarization/anisotropy in diagnostics and imaging // Chem. Rev. 2010. V. 110. P. 2685.
- Hendrickson O.D., Taranova N.A., Zherdev A.V., Dzantiev B.B., Eremin S.A. Fluorescence polarization-based bioassays: New horizons // Sensors. 2020. V. 20. № 24. P. 7132.
- Meng Z., Song R., Chen Y. Rapid screening and identification of dominant B cell epitopes of HBV surface antigen by quantum dot-based fluorescence polarization assay // Nanoscale Res. Lett. 2013. V. 8. № 1. P. 118.
- Tian J., Zhou L., Zhao Y. The application of CdTe/CdS in the detection of carcinoembryonic antigen by fluorescence polarization immunoassay // J. Fluoresc. 2012. V. 22. № 6. P. 1571.
- Petryayeva E., Algar W.R., Medintz I.L. Quantum dots in bioanalysis: A review of applications across various platforms for fluorescence spectroscopy and imaging // Appl. Spectrosc. 2013. V. 67. № 3. P. 215.
- Wang H., Liu C., Liu Z., Ren J., Qu X. Specific oxygenated groups enriched graphene quantum dots as highly efficient enzyme mimics // Small. 2018. V. 14. № 13. Article 1703710.
- Retamal Marin R.R., Babick F., Stintz M. Ultrasonic dispersion of nanostructured materials with probe sonication − Practical aspects of sample preparation // Powder Technol. 2017. V. 318. P. 451.
- Zhang L., Wang Z., Wang H., Dong W., Liu Y., Hu Q., Shuang S. Nitrogen-doped carbon dots for wash-free imaging of nucleolus orientation // Microchim. Acta. 2021. V. 188. № 183. P. 1.
- Егоров А.М. Теория и практика иммуноферментного анализа. М.: Высшая школа, 1991. С. 288.
- Zhu L., Cui X., Wu J., Wang Z., Wang P., Hou Y., Yang M. Fluorescence immunoassay based on carbon dots as labels for the detection of human immunoglobulin G // Anal. Methods. 2014. V. 6. № 12.
- Farafonova O.V., Vasiliev S.V., Eremin S.A., Ermolaeva T.N. Determination of aminoglycosides in food by fluorescence polarization immunoassay // Int. Res. J. 2015. № 7–2 (38). C. 65.
Supplementary files









