Изменение структурных характеристик и состояния воды в композиционных полисульфоновых и полиэфирсульфоновых мембранах
- Authors: Лазарев С.И.1, Головин Ю.М.1, Яновская Э.Ю.2, Долгова О.В.1, Хорохорина И.В.1
-
Affiliations:
- Тамбовский государственный технический университет
- Российский национальный исследовательский медицинский университет имени Н.И. Пирогова
- Issue: Vol 60, No 6 (2024)
- Pages: 595-604
- Section: НАНОРАЗМЕРНЫЕ И НАНОСТРУКТУРИРОВАННЫЕ МАТЕРИАЛЫ И ПОКРЫТИЯ
- URL: https://journals.rcsi.science/0044-1856/article/view/281024
- DOI: https://doi.org/10.31857/S0044185624060039
- EDN: https://elibrary.ru/MQDZFU
- ID: 281024
Cite item
Abstract
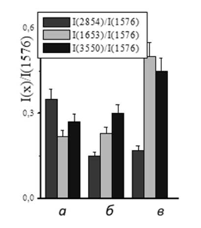
В работе представлены результаты интерпретации и анализа ИК-НПВО спектров композиционных ультрафильтрационных (УФ) мембран из полисульфона (ПС) и полиэфирсульфона (ПЭС) в воздушносухом и водонасыщенном состояниях с целью оценки структурных изменений активного слоя, вызванных статическим и динамическим водонасыщением. Сравнительный анализ ИК-спектров воздушносухого и водонасыщенного образцов установил, что в области скелетных колебаний частоты полос поглощения функциональных групп ПС и ПЭС не происходит смещений. Это позволяет утверждать о стабильности химической структуры матрицы активного слоя мембран данного типа. Проявление в ИК-НПВО спектрах УФ мембран воздушносухого состояния широкой полосы поглощения при ~3305 см–1 предполагает наличие в активном слое ПС и ПЭС суперпозиции различных OH--групп, участвующих в образованиях N-мерных водородных связей.
Относительные изменения формы и интенсивности полосы с высокочастотной стороны спектра для водонасыщенных образцов скрывают перераспределение водородных связей адсорбированной воды и ОН- – группами полиэтиленглиголя (ПЭГ), и позволяют предположить, что структура воды в поровом пространстве активного слоя мембраны существенно меняется, демонстрируя увеличение слабосвязанной “жидкой воды”. Уменьшение количества молекул ПЭГ является регулярным, вероятнее всего, при значительной гидратации молекул ПЭГ в адсорбированной воде и свидетельствует о частичном вымывании (выщелачивании), но не полном исчезновении.
Full Text
About the authors
С. И. Лазарев
Тамбовский государственный технический университет
Author for correspondence.
Email: lazarev.sergey.1962@mail.ru
Russian Federation, Советская, 106, Тамбов, 392000
Ю. М. Головин
Тамбовский государственный технический университет
Email: lazarev.sergey.1962@mail.ru
Russian Federation, Советская, 106, Тамбов, 392000
Э. Ю. Яновская
Российский национальный исследовательский медицинский университет имени Н.И. Пирогова
Email: lazarev.sergey.1962@mail.ru
Russian Federation, Островитянова, 1, Москва, 117997
О. В. Долгова
Тамбовский государственный технический университет
Email: lazarev.sergey.1962@mail.ru
Russian Federation, Советская, 106, Тамбов, 392000
И. В. Хорохорина
Тамбовский государственный технический университет
Email: lazarev.sergey.1962@mail.ru
Russian Federation, Советская, 106, Тамбов, 392000
References
- Nazif A., Karkhanechi H., Saljoughi E. at el. // Journal of Water Process Engineering. 2022. V. 47. 102706. https://doi.org/10.1016/j.jwpe.2022.102706
- Liu Y., Wang J. // J. Membr. Sci. 2020. V. 596. P. 1016. https://doi.org/10.1016/j.memsci.2019.117591
- Harris J.E. // Polysulfone. Engineering Thermoplastics. CRC Press. 2020.
- Kheirieh S., Asghari M., Afsari M. // Reviews in Chemical Engineering. 2018. V. 34. № 5 . P. 657. doi: 10.1515/revce-2017-0011
- Serbanescu O.S., Voicu S.I., Thakur V.K. // Materials today chemistry. 2020. V. 17. 100302. https://doi.org/10.1016/j.mtchem.2020.100302
- Abdel-Karim A., Leaper S., Alberto M. et al. // Chemical Engineering Journal. 2018. V. 334. Р. 789. https://doi.org/10.1016/j.cej.2017.10.069
- Лазарев С.И., Хорохорина И.В., Филимонова О.С. и др. // Вестник технологического университета. 2024. Т.27. №7. С. 62.
- Ma Y., Shi F., Ma J. // Desalination. 2011. V. 272. №1–3. Р. 51. doi: 10.1016/j.desal.2010.12.054
- Zhu J., Liao J., Jin W. et al. // Reactive and Functional Polymers. 2019. № 138. Р.104. https://doi.org/10.1016/j.reactfunctpolym.2019.02.006
- Yu S., Zhua J., Liao J. et al. // Separation and Purification Technology. 2021. V. 257. 117874. https://doi.org/10.1016/j.seppur.2020.117874
- Belfer S., Fainchtain R., Purinson Y. et al. // Journal of Membrane Science. 2000. V. 172. P. 113–124. https://doi.org/10.1016/S0376-7388(00)00316-1
- Sinha M.K., Purkait M.K. // Journal of Membrane Science. 2013. V. 437 P. 7. https://doi.org/10.1016/j.memsci.2013.03.003
- Лазарев С.И., Головин Ю.М., Хорохорина И.В. и др. // Исследования поверхностного ацетатцеллюлозного слоя в композиционных мембранах методом колебательной спектроскопии. Химическая физика. 2020. Т. 39. № 9. С. 80. doi: 10.31857/S0207401X20090071
- Drzewinski M.A. // Properties of sulfonated polysulfone ionomers. Amherst: University of Massachusetts. 1982. https://doi.org/https://doi.org/10.7275/ahx7-wp52
- Naim R., Ismail A.F., Saidi H. et al. // Reg. Symp. on Membrane Science Technology. 2004. № 1. P. 21.
- Snyder G., Liang G.L., Strauss H.L. et al. // Biophysical Journal. 1996. V. 71. Р. 3186. https://doi.org/10.1016/S0006-3495(96)79512-7
- Varga Z., Mihály J., Berényi S. et al. // Eur. Polym. 2013. V. 49. № 9. P. 2415. https://doi.org/10.1016/j.eurpolymj.2013.02.025
- Rozenberg M., Loewenschuss A., Marcus Y. // Spectrochimica Acta Part A: Molecular and Biomolecular Spectroscopy. 1998. V. 54. № 12. P. 1819. https://doi.org/10.1016/S1386-1425(98)00062-6
- Reddy Polu A., Kumar R. // E-Journal of Chemistry. 2011. V. 8. P. 347. https://doi.org/10.1155/2011/628790
- DuChanois R.M., Porter C.J., Violet C.E. et al. // Advanced Materials. 2021. V. 33. № 38. P. 2101312. https://doi.org/10.1002/adma.202101312
- Kataoka T., Kidowaki M., Zhao C. et al.// The J. of Physical Chemistry B. 2006. V. 48. № 110. P. 24377. https://doi.org/10.1021/jp0649246
- Луговской A.A., Поплавский Ю.Л., Сердюков В.И. и др. // Оптика атмосферы и океана. 2011. Т. 24. № 5. С. 418.
- Abou-Alkheer M.M., Oraby H., El-Hefnawy M. et al. // Sciences. 2015. № 5. Р. 58.
- Салахов М.Х., Камалова Д.И., Харинцев С.С. // Ученые записки Казанского государственного университета. Сер.: Физ.-мат. науки. 2005. Т. 147. № 2. С. 116.
- Пейнтер П., Коулмен М., Кениг Дж. / Теория колебательной спектроскопии. Приложение к полимерным материалам. М. : Мир. 1986. 580 с.
- Лазарев С.И., Головин Ю.М., Родионов Д.А. // Журнал физической химии. 2021. Т. 95. № 10. С. 1578.
Supplementary files








