О влиянии воды на механические свойства дентина интактных зубов человека при испытании на срез
- Authors: Зайцев Д.В.1,2, Куклина А.А.1,2, Панфилов П.Е.1,2
-
Affiliations:
- ФГБОУ ВО “Уральский государственный горный университет”
- ФГАОУ ВО “Уральский федеральный университет имени первого Президента России Б.Н. Ельцина”
- Issue: Vol 60, No 4 (2024)
- Pages: 422-428
- Section: НОВЫЕ ВЕЩЕСТВА, МАТЕРИАЛЫ И ПОКРЫТИЯ
- URL: https://journals.rcsi.science/0044-1856/article/view/271531
- DOI: https://doi.org/10.31857/S0044185624040108
- EDN: https://elibrary.ru/LYIZTE
- ID: 271531
Cite item
Full Text
Abstract
Изучено деформационное поведение гидрированного дентина интактных зубов человека при испытании на срез при комнатной температуре и определено, как зависят его механические свойства при срезе в зависимости от толщины образца и степени заполнения дентинных каналов водой. Показано, что независимо от толщины образцов и степени заполнения дентинных каналов водой, тип деформационного поведения дентина близок к поведению вязкоупругих наполненных полимеров, тогда как мода разрушения дентина при срезе была аттестована, как хрупкое разрушение. Установлено, что деформационное поведение толстых образцов гидрированного дентина не зависит от степени заполнения дентинных каналов водой, которая существенным образом сказывалась только на поведении тонких образцов.
Keywords
Full Text
ВВЕДЕНИЕ
Твердая основа зубов человека дентин является иерархически организованной структурой биологического происхождения: дентинная матрица пронизана каналами, идущими по нормали от пульповой камеры к границам дентина с эмалью и с цементом (рис. 1) [1–3]. В зависимости от расположения в зубе и возраста пациента, диаметр каналов составляет 1 ÷ 3 мкм, а расстояние между соседними каналами – около 10 мкм. Внутри каналов циркулирует дентинная жидкость, по химическому составу близкая к ротовой жидкости [4]. Дентинная матрица заполнена сеткой коллагеновых волокон толщиной 3 ÷ 5 мкм и упрочнена плоскими гексагональными кристаллами гидроксиапатита кальция размером 30 ÷ 40 нм [5]. По массе дентин интактных зубов человека состоит на 30% из биоорганических и на 45% из неорганических соединений [6]. Оставшиеся 25% объема занимает вода, которая содержится в дентинных каналах (~75%) и химически связана внутри дентина (~25%) [7, 8]. Поэтому состояние дентина, когда дентинные каналы заполнены водной средой и / или данная твердая ткань гидрирована, следует считать его естественным состоянием [9]. Благодаря иерархическому строению и сложному биохимическому составу, дентин зубов человека способен выдерживать значительную упругую и необратимую деформацию при достаточно больших нагрузках, а также демонстрировать высокое сопротивление росту трещины [10].
Рис. 1. Дентинные каналы в образце корневого дентина интактного зуба человека, вырезанного перпендикулярно главной оси зуба (оптический микроскоп в режиме “на просвет”).
В работах [7, 8, 11–13] было показано, что вода существенным образом влияет на механические свойства лабораторных образцов дентина по сравнению с другими жидкостями. Так при испытании дентина на одноосное сжатие в воде происходит снижение величины предела прочности и упругой деформации, а необратимая деформация возрастает по сравнению с испытаниями на воздухе [14]. Влияние воды на деформационное поведение дентина может проявляться по-разному, что связано, как различиями в схемах приложения нагрузки, так и с разницей в объемах воды, содержащейся в образцах, включая глубину ее проникновения в дентинную матрицу [15]. Глубина проникновения воды в дентинные каналы или степень их заполнения водой зависит от толщины образца и ориентировки каналов относительно его поверхностей. Меняя толщину образца, можно оценить, как влияет вода на механические свойства дентина при одинаковой ориентировке каналов относительно плоскостей образца.
Испытания на срез / сдвиг являются наиболее подходящей схемой приложения механической нагрузки для экспериментального изучения влияния воды на механические свойства дентина, поскольку только при данной геометрии нагружения можно обеспечить практически одинаковую ориентировку дентинных каналов по отношению к приложенному напряжению. Помимо того, данная схема близка к распределению механических напряжений в челюстно-лицевом аппарате человека при пережевывании пищи [16]. Поэтому целью данной работы является изучение механических свойств образцов дентина интактных зубов человека в зависимости от толщины при испытании на срез при комнатной температуре при разной степени заполнения дентинных каналов водой.
МАТЕРИАЛЫ И МЕТОДЫ
В качестве экспериментального материала для исследования использовали интактные зубы пациентов молодого возраста (18–25 лет), удаленные по медицинским показаниям1. Для приготовления образцов было выбрано около десятка премоляров и моляров, не содержащих видимых патологий. Каждый зуб был разрезан при помощи алмазной дисковой пилы под водным орошением вдоль главной оси на две равные части. После чего каждую половинку разрезали пополам в направлении перпендикулярном главной оси зуба. Затем путем шлифовки на алмазном диске с водным орошением из этих заготовок делали образцы для механических испытаний в форме параллелепипедов длиной 10 мм, шириной 2,5 мм и толщиной от 1,50 мм до 0,25 мм с шагом 0,25 мм. После каждой технологической операции заготовки промывали в проточной водопроводной воде не менее 10 минут. Плоскость приложения нагрузки при срезе была ориентирована перпендикулярно главной оси зуба и располагалась либо в середине коронки, либо в середине корня зуба. Следовательно, направление дентинных каналов по отношению к плоскости среза было приблизительно одинаковым для всех образцов. Для механических испытаний использовали два одинаковых набора образцов разной толщины. Перед испытаниями образцы из первого набора выдерживали в течение 24 часов в водопроводной воде, которая по своему минеральному составу близка к используемому в медицине физиологическому раствору (0,9% раствор NaCl в H2O). Время после приготовления образцов и суточной выдержки в воде и началом механических испытаний не превышало 24 часов. Во всех случаях, лабораторные образцы дентина, используемые при проведении экспериментов, можно было считать гидрированным дентином [2, 6, 8].
Механические испытания по схеме среза или сдвига проводили на воздухе при комнатной температуре на разрывной машине Shimadzu™ AGX-50kN, оснащенной устройством для испытаний на срез (скорость перемещения ножа 0,1 мм/мин). Для обработки экспериментальных данных использовали пакет Trapezium™, поставляемый вместе с испытательной машиной. Продолжительность одного испытания, включая монтаж образца в устройстве для среза, не превышала 3 минут, что предохраняло образцы от потери жидкости в процессе приложения нагрузки. Инженерные деформационные кривые на срез, величину модуля сдвига, определяемую по наклону деформационной кривой на линейном участке, величину максимального напряжения при сдвиге и величину деформации до разрушения образца использовали для описания деформационного поведения дентина зубов человека и оценки влияния воды на его механические свойства. Анализ морфологии поверхностей изломов образцов проводили при помощи сканирующего электронного микроскопа TESCAN VEGA™.
РЕЗУЛЬТАТЫ ЭКСПЕРИМЕНТОВ
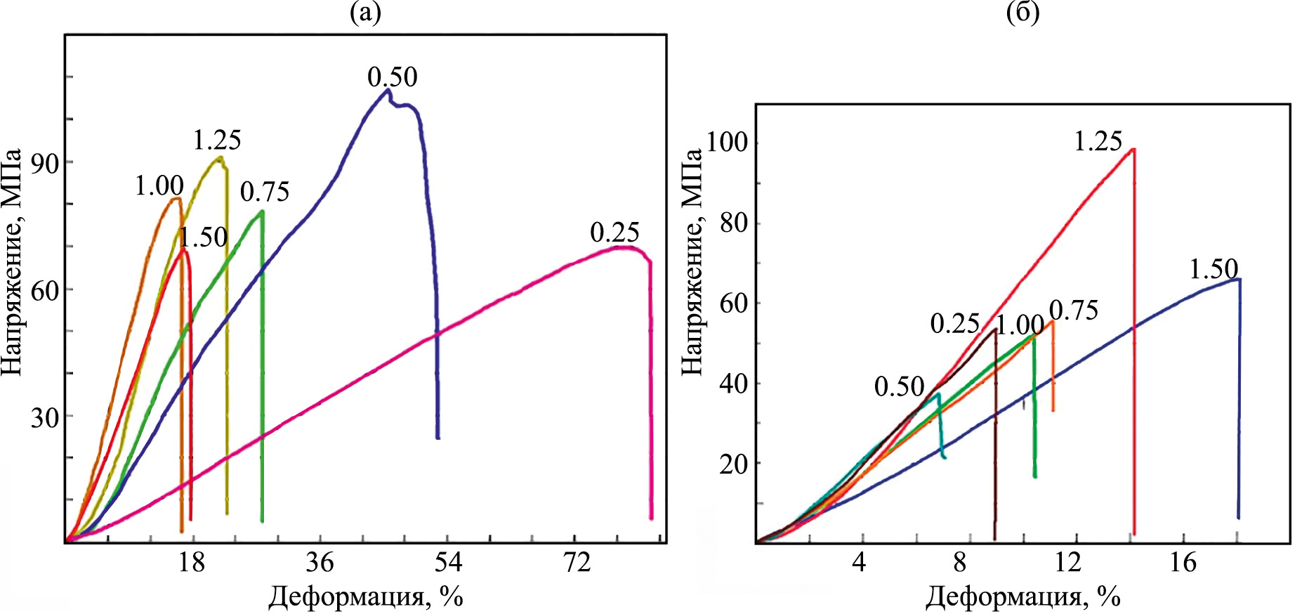
Деформационные кривые, полученные при механических испытаниях на срез при комнатной температуре, образцов дентина интактных зубов человека разной толщины, как выдержанных в воде в течение суток, так и сразу после их изготовления, показаны на рис. 2. Ход инженерной кривой дентина, который по химическому составу и строению близок к вязкоупругому наполненному полимеру, можно аппроксимировать прямой линией. После достижения наивысшей точки, деформационная кривая резко падала вниз. С другой стороны, подобный ход деформационной кривой, но при деформациях, не превышающих ~1%, является признаком хрупкого поведения материала, когда траектория опасной трещины определяется геометрией приложенной нагрузки.
Рис. 2. Деформационные кривые при срезе на воздухе при комнатной температуре образцов дентина зубов человека различной толщины: (а) – выдержка в воде 24 часа; (б) – после приготовления.
Результаты анализа морфологии поверхности изломов образцов согласуются с предположением о хрупком типе деформационного поведения дентина: поверхность разрушения совпадает с плоскостью среза и на ней отсутствует макроскопический рельеф, то есть присутствуют признаки хрупкого разрушения (рис. 3). Отсутствие макроскопического рельефа следует считать существенным обстоятельством при аттестации моды разрушения дентина при срезе, поскольку, в отличие от растяжения и изгиба, траектория движения опасной трещины при данной схеме нагружения задается геометрией приложения нагрузки, независимо от типа деформационного поведения материала. Следует заметить, что подобная морфология изломов образцов дентина регистрируется и при других способах приложения растягивающей нагрузки [17–19]. Однако, в отличие от таких хрупких материалов, как кремний (кристалл с ковалентным типом химической связи) или силикатное стекло (аморфный материал с ковалентным типом химической связи), величина деформации до перегиба деформационной кривой дентина при срезе была не менее 10%, что очень много для хрупкого поведения твердого тела, когда предельная деформация находится на уровне 1%.
Рис. 3. Поверхности изломов образцов дентина толщиной 0,75 мм при срезе: (а), (б) – после выдержки в воде в течение 24 часов; (в), (г) – после приготовления.
Поведение при срезе выдержанного в воде сутки дентина, дентинные каналы которого можно считать заполненными водой на максимальную величину, характеризуется следующими особенностями. Образцы толщиной 1,00 ÷ 1,50 мм показывают примерно одинаковое поведение: упругий модуль ~0,6 ГПа, деформация до разрушения ~20% при прочности ~80 МПа. При уменьшении толщины образца до 0,75 ÷ 0,25 мм происходит постепенное снижение упругого модуля до ~0,1 ГПа, а деформация до разрушения увеличивается в 3–4 раза. При этом величина предела прочности практически не меняется и составляет ~80 МПа. Графическая зависимость упругого модуля и деформации до разрушения от толщины образцов дентина интактных зубов человека при срезе для случаев полного заполнения дентинных каналов водой приведены на рис. 4. Если дентинные каналы заполнены водой не на максимальную величину, как в образцах дентина после изготовления, то упругий модуль при сдвиге практически не зависит от толщины образца, а его величина составляет ~0,6 ГПа. В таких образцах наибольшую деформацию до разрушения ~16% демонстрируют образцы толщиной 1,25 ÷ 1,50 мм, тогда как в более тонких образцах деформация до разрушения снижается до ~7 ÷ 11%. Величина предела прочности образцов дентина интактных зубов человека с каналами, заполненными водой не на максимальную величину, не зависит от толщины и составляет ~60 МПа.
Рис. 4. Зависимость механических свойств дентина интактных зубов человека, выдержанного в воде в течение 24 часов, при срезе от толщины образца: красная кривая – упругий модуль, зеленая кривая – деформация до разрушения.
ОБСУЖДЕНИЕ РЕЗУЛЬТАТОВ
Анализ полученных экспериментальных результатов показывает, что механические характеристики гидрированного дентина интактных зубов человека при срезе при комнатной температуре зависят от толщины образца и степени заполнения дентинных каналов водой. Тип деформационного поведения гидрированного дентина при срезе при комнатной температуре оказался близок к поведению вязкоупругих наполненных полимеров, поскольку деформация до начала распада образцов на части была значительной – находилась в пределах от 7% до 80% [20]. При этом моду разрушения образцов, если выбрать в качестве критерия морфологию поверхностей изломов, во всех изученных случаях можно аттестовать, как хрупкое разрушение, несмотря на значительную величину деформации до начала распада образцов на части. Необходимо отметить, что подобные изображения поверхностей изломов образцов дентина зубов человека приводятся во многих работах [17, 21, 22].
Особенностью деформационного поведения гидрированного дентина после суточной выдержки в воде является значительное увеличение деформации до разрушения тонких образцов, тогда как механические свойства толстых образцов практически не зависят от толщины. Напротив, рост деформации до разрушения образцов гидрированного дентина, испытанных сразу после изготовления, наблюдается в толстых образцах (она достигает величины ~18%, близкой к деформации толстых образцов после суточной выдержки в воде). Предел же прочности в этом случае оказался на ~20 МПа ниже, чем в образцах дентина, выдержанных в воде в течение суток. В толстых же образцах эта механическая характеристика практически не зависела от толщины. Следовательно, можно заключить, что деформационное поведение толстых образцов гидрированного дентина (1,25 мм и 1,50 мм) не зависит от степени заполнения дентинных каналов водой. Степень заполнения дентинных каналов водой существенным образом сказывается на поведении только тонких образцов дентина (0,25 мм и 0,50 мм).
То, что суточная выдержка в воде практически никак не сказалась на характере деформационного поведения толстых образцов гидрированного дентина можно объяснить тем, что степень заполнения дентинных каналов водой не зависит от времени выдержки дентина в воде. То есть 10 мин промывки в проточной воде вполне хватает толстым образцам дентина, чтобы “достичь максимального уровня” механических свойств, и дальнейшая выдержка в воде не оказывает влияние на деформационное поведение образцов дентина при срезе. Наоборот, деформационное поведение тонких образцов дентина, сутки выдержанного в воде, существенным образом отличается от описанного выше: происходит значительный рост деформации до разрушения по сравнению с образцами, испытанными сразу после изготовления. Представляется, что столь значительное различие можно объяснить только разницей в заполнении дентинных каналов водой: чем меньше толщина образца, тем больше деформация до разрушения. Если предположить, что глубина проникновения воды в дентинные каналы обусловлена капиллярным эффектом, то разница в толщине образцов от 0,25 мм до 1,50 мм не должна влиять на глубину проникновения жидкости в канал. Однако влияние воды на механические свойства дентина может проявиться, когда отношение глубины проникновения воды в дентинные каналы с обоих сторон образца к толщине образца достигнет некоторого критического значения из-за чего прочностные свойства дентина, начнут меняться. Такую толщину можно оценить, как раз в 0,25 ÷ 0,50 мм). В качестве механизма, оказывающего влияние на деформационное поведение дентина зубов человека в контакте с водной средой, следует рассматривать эффект Ребиндера [23], на действие которого указывалось в работах [14, 15].
Полученные результаты согласуются с данными клинической практики о том, что интактные зубы, дентинные каналы которых заполнены дентинной жидкостью, способны в течение длительного времени выполнять основную функцию челюстно-лицевого аппарата человека – пережевывать пищу, благодаря высоким вязкоупругим свойствам дентина. Напротив, механические свойства зубов, подверженных различным патологиям, из-за чего в их дентинных каналах либо совсем нет, либо мало дентинной жидкости, например, в результате удаления пульпы при лечении или из-за склерозирования дентинных каналов, снижаются по сравнению с интактными зубами [24].
ЗАКЛЮЧЕНИЕ
Изучена зависимость деформационного поведения дентина интактных зубов человека при срезе при комнатной температуре от толщины образцов и степени заполнения дентинных каналов водой. Во всех случаях тип деформационного поведения гидрированного дентина оказался близок к поведению вязкоупругих наполненных полимеров, тогда как мода разрушения образцов была аттестована, как хрупкое разрушение. Деформационное поведение толстых образцов гидрированного дентина не зависело от степени заполнения дентинных каналов водой, которая существенным образом сказывалась только на поведении тонких образцов.
ФИНАНСИРОВАНИЕ
Работа поддержана Российским научным фондом (грант № 22-29-00268).
About the authors
Д. В. Зайцев
ФГБОУ ВО “Уральский государственный горный университет”; ФГАОУ ВО “Уральский федеральный университет имени первого Президента России Б.Н. Ельцина”
Email: peter.panfilov@urfu.ru
Russian Federation, Екатеринбург; Екатеринбург
А. А. Куклина
ФГБОУ ВО “Уральский государственный горный университет”; ФГАОУ ВО “Уральский федеральный университет имени первого Президента России Б.Н. Ельцина”
Email: peter.panfilov@urfu.ru
Russian Federation, Екатеринбург; Екатеринбург
П. Е. Панфилов
ФГБОУ ВО “Уральский государственный горный университет”; ФГАОУ ВО “Уральский федеральный университет имени первого Президента России Б.Н. Ельцина”
Author for correspondence.
Email: peter.panfilov@urfu.ru
Russian Federation, Екатеринбург; Екатеринбург
References
- Зайцев Д.В., Григорьев С.С., Панфилов П.Е. Природа прочности дентина и эмали зубов человека, Новосибирск: Изд-во СО РАН, 2017, 173 с.
- Kinney J.H., Marshall S.J., Marshall G.W. // The mechanical properties of human dentin: a critical review and re-evaluation of the dental literature, Critical Reviews in Oral Biology & Medicine, 2003, V. 14. № 1. C. 13–29. https://doi.org/10.1177/154411130301400103.
- Bertassoni L.E. // Dentin on the nanoscale: Hierarchical organization, mechanical behavior and bioinspired engineering, Dental Materials, 2017, V. 33. № 6. P. 637–649. https://doi.org/10.1016/j.dental.2017.03.008
- Боровский Е.Б., Леонтьев В.К. Биология полости рта. М.: Медицинская книга, 2001, 301 с.
- Panfilov Р., Kabanova A.. Guo J., Zhang Z. // Transmission electron microscopical study of teenage crown dentin on the nanometer scale // Materials Science & Engineering C. 2017, V. 71. P. 994–998. https://doi.org/10.1016/j.msec.2016.11.016
- Waters, N. E. //Some mechanical and physical properties of teeth / N. E. Waters, Symp. Soc. Exp. Biol., 1980, V. 34. P. 99–135.
- Van Der Graaf, E. R., & Ten Bosch, J. J.// The uptake of water by freeze-dried human dentine sections. Archives of Oral Biology, 1990, V. 35. № 9. P. 731–739. https://doi.org/10.1016/0003-9969(90)90096-s
- Agee K.A., Prakki A., Abu-Haimed T., Naguib G.H., et al. // Water distribution in dentin matrices: Bound vs. unbound water// Dental Materials, 2015, V. 31. № 3. P. 205–216. https://doi.org/10.1016/j.dental.2014.12.007
- Самусев Р. П., Дмитриенко С. В., Краюшкин А. И. Основы клинической морфологии зубов, М.: Оникс, 2002, 368 с.
- Meyers M.A. // Structural Biological Materials: Critical Mechanics-Materials Connections, Science, 2013, V. 339. P. 773–779. https://doi.org/10.1126/science.1220854
- Nalla R.K., Balooch M., Ager III J.W.et al. // Effects of polar solvents on the fracture resistance of dentin: role of water hydration, Acta Biomaterialia 2005, V. 1. P. 31–43. https://doi.org/10.1016/j.actbio.2004.08.002.
- Maciel K.T., Carvalho R.M., Ringle R.D. et al.// The Effects of Acetone, Ethanol, HEMA, and Air on the Stiffness of Human Decalcified Dentin Matrix, J. Dent. Res. 1996, V. 75. № 11. P. 1851–1858. https://doi.org/10.1177/00220345960750110601.
- Arola D., Zheng W. // Hydration and dynamic fatigue of dentin, Journal of Biomedical Materials Research. Part A, 2006, V. 77A. № 1. P. 148–159. https://doi.org/10.1002/jbm.a.30634.
- Зайцев Д.В., Селезнева Н.В., Григорьев С.С., Панфилов П.Е. // Влияние жидкости на деформационное поведение человеческого дентина, Физикохимия поверхности и защита материалов, 2013, V. 49. № 5. P. 479–482. https://doi.org/10.7868/S0044185613050112
- Кабанова А.В., Зайцев Д.В., Григорьев С.С., Панфилов П.Е. Влияние жидкости на деформационное поведение дентина зубов человека при растяжении. Деформация и разрушение материалов, 2020, V. 6. P. 33–37. https://doi.org/10.31044/1814-4632-2020-6-33-37.
- Imbeni V., Nalla R.K., Bosi C. // In vitro fracture toughness of human dentin, J. Biomed. Mater. Res. A, 2003, V. 66, № 1. P. 1–9. https://doi.org/10.1002/jbm.a.10548.
- Zaytsev D., Ivashov A.S., Mandra J.V., Panfilov P. // On the deformation behavior of human dentin under compression and bending, Materials Science and Engineering C, 2014, V. 41, P. 83–90. https://doi.org/10.1016/j.msec.2014.04.046.
- Zaytsev D., Panfilov P. // Influences of the sample shape and compression temperature on the deformation behavior and mechanical properties of human dentin, Materials Science and Engineering C, 2014, V. 43. P. 607–613. https://doi.org/10.1016/j.msec.2014.07.051.
- Zaytsev D., Ivashov A.S., Panfilov P. // Anisotropy of the mechanical properties of human dentin under shear testing, Materials Letters, 2015, V. 138. P. 219–221. https://doi.org/10.1016/j.matlet.2014.09.140
- Argon A.S. The physics of deformation and fracture of polymers. Cambridge University Press, 2013. 509 p.
- Nalla R.K., Kinney J.H., Ritchie R.O. // Effect of orientation on the in vitro fracture toughness of dentin: the role of toughening mechanisms, Biomaterials 2003, V. 24. P. 3955–3968. https://doi.org/10.1016/S0142-9612(03)00278-3.
- Kruzic J.J., Nalla R.K., Kinney J.H., Ritchie R.O. // Crack blunting, crack bridging and resistance-curve fracture mechanics in dentin: effect of hydration, Biomaterials, 2003, V. 24. P. 5209–5221. https://doi.org/10.1016/S0142-9612(03)00458-7.
- Ребиндер П.А. Избранные труды. Поверхностные явления в дисперсных системах. Физико-химическая механика. М.: Наука, 1979, 203 с.
- Боровский Е.В., Иванов В.С., Максимовский Ю.М.// Терапевтическая стоматология, Москва: Медицинское информационное агентство, 2002, 840 с.
Supplementary files






