Сорбция ионов тяжелых металлов биокомпозитом “целлюлоза – углеродные нанотрубки”
- Authors: Никифорова Т.Е.1, Вокурова Д.А.1
-
Affiliations:
- Ивановский государственный химико-технологический университет
- Issue: Vol 60, No 4 (2024)
- Pages: 358-366
- Section: ФИЗИКО-ХИМИЧЕСКИЕ ПРОЦЕССЫ НА МЕЖФАЗНЫХ ГРАНИЦАХ
- URL: https://journals.rcsi.science/0044-1856/article/view/271523
- DOI: https://doi.org/10.31857/S0044185624040032
- EDN: https://elibrary.ru/MAHRKI
- ID: 271523
Cite item
Abstract
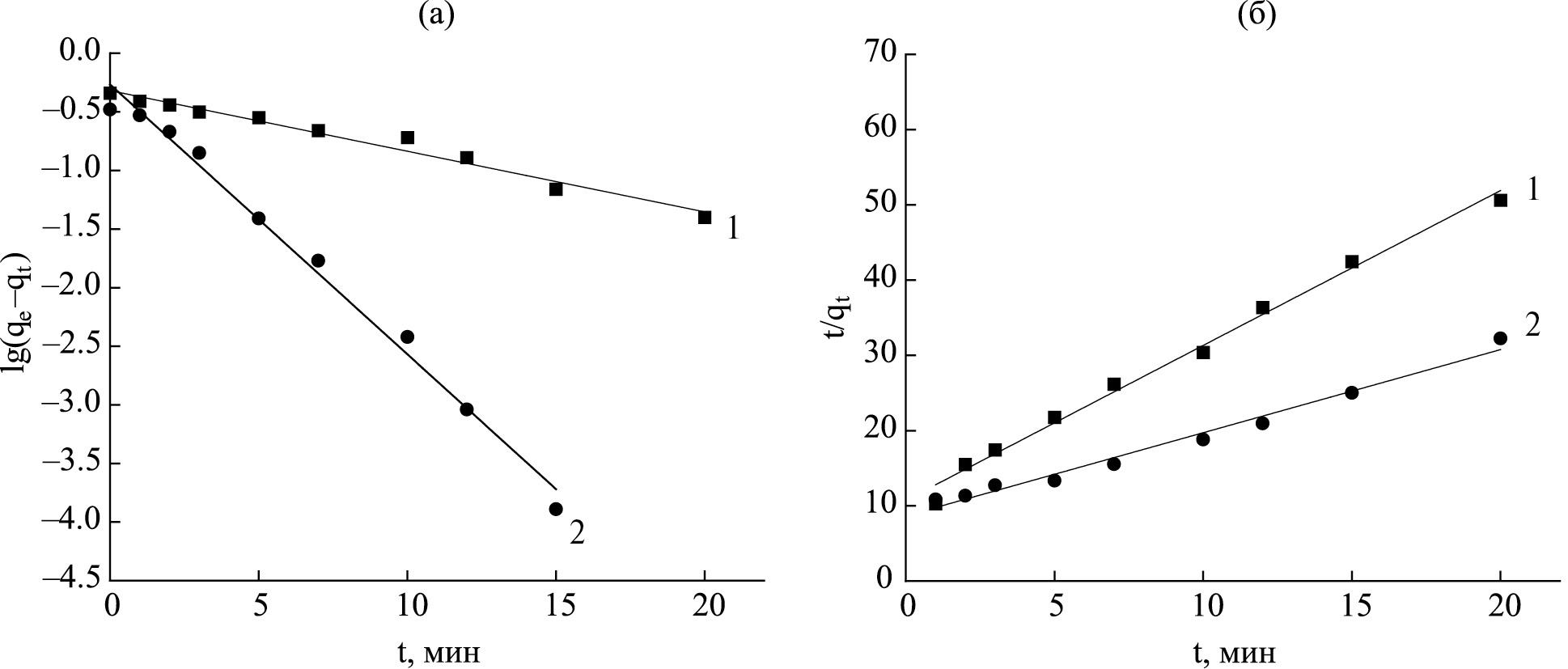
В работе представлены результаты разработки композиционного сорбента на основе целлюлозы и углеродных нанотрубок и исследования его сорбционных свойств по отношению к ионам Cu(II). Углеродные нанотрубки были последовательно модифицированы концентрированной серной кислотой, тионилхлоридом и этилендиамином и затем присоединены к целлюлозе, обработанной лимонной кислотой. Образование новых функциональных групп на поверхности композиционного целлюлозного сорбента подтверждается данными ИК- спектроскопии. Микроскопические исследования, выполненные с помощью сканирующего электронного микроскопа, демонстрируют различия поверхностной структуры сорбентов на основе целлюлозы до и после модификации. Исследованы кинетика и равновесие сорбции ионов меди (II) в гетерофазной системе “водный раствор – модифицированный сорбент”. Результаты кинетических исследований более корректно описываются с использованием модели кинетики псевдо-второго порядка. Обработка экспериментальных изотерм сорбции согласно уравнению Ленгмюра позволила определить предельную сорбционную емкость исходного сорбента и композита на его основе. Обнаружено, что сорбционная емкость композиционного сорбента превышает таковую для исходной целлюлозы примерно в шесть раз.
Keywords
Full Text
About the authors
Т. Е. Никифорова
Ивановский государственный химико-технологический университет
Author for correspondence.
Email: tatianaenik@mail.ru
Russian Federation, Шереметевский просп., 7, Иваново, 153000
Д. А. Вокурова
Ивановский государственный химико-технологический университет
Email: tatianaenik@mail.ru
Russian Federation, Шереметевский просп., 7, Иваново, 153000
References
- Aldaz B., Figueroa F., Bravo I. // Rev. Bionatura. 2020. V. 5. Р. 1150–1155. https://doi.org/10.21931/RB/2020.05.02.13.
- Sall M.L., Diaw A.K.D., Gningue-Sall D., Efremova Aaron, S., Aaron, J.J. // Environ. Sci. Pollut. Res. 2020. V. 27. Р. 29927–29942. https://doi.org/10.1007/s11356–020–09354–3.
- Hasanpour, M., Hatami, M. // Adv. Colloid Interf. Sci. 2020. V. 284. Р. 102247. https://doi.org/10.1016/j.cis.2020.102247.
- Syeda H.I., Yap P.-S. // Science of the Total Environment. 2022. V. 807. Р. 150606. https://doi.org/10.1016/j.scitotenv.2021.150606
- Wang G., Xiao H., Liang G., Zhu J., He C., Ma S., Shuai Z., Komarneni S. // J. Clean. Prod. 2022. V. 344. Р. 131041. https://doi.org/10.1016/j.jclepro.2022.131041
- Deng, S., Long, J., Dai, X., Wang, G., Zhou, L. // ACS Appl. Nano Mater. 2023. V. 6. Р. 1817–1827. https://doi.org/10.1021/acsanm.2c04768
- Li Q., Song H., Han R., Wang G., Li A. // Chem. Eng. J. 2019. V. 366. Р. 1–10. https://doi.org/10.1016/j.cej.2019.02.070
- Yang H.-R., Li S.-S., Yang C., An Q.-D., Zhai S.-R., Xiao Z-Y. // Journal of Colloid and Interface Science. 2022. V. 607. Р. 556–567. https://doi.org/10.1016/j.jcis.2021.08.197
- Jung K.-W., Lee S.Y., Choi J.-W., Lee Y..J. // Chem. Eng. J. 2019. V. 369 Р. 529–541. https://doi.org/10.1016/j.cej.2019.03.102
- Прокофьев В.Ю., Гордина Н.Е. // Журнал прикладной химии. 2013. Т. 86. № 3. С. 360–366. Prokof'еv V.Yu., Gordina N.E. // Russian Journal of Applied Chemistry. 2013. V. 86. № 3. S. 332–338. https://doi.org/10.1134/S1070427213030075
- Прокофьев В.Ю., Гордина Н.Е., Жидкова А.Б. // Известия высших учебных заведений. Серия: Химия и химическая технология. 2011. Т. 54. № 12. С. 77–80. Prokof'ev V.Yu., Gordina N.E., Zhidkova A.B. // Izvestiya vysshih uchebnyh zavedenij. Seriya: Himiya i himicheskaya tekhnologiya. 2011. V. 54. № 12. S. 77–80.
- Rocky M.M.H., Rahman I.M.M., Biswas F.B., Rahman S., Endo M., Wong K.H., Mashio A.S., Hasegawa H. // Chemical Engineering Journal. 2023. V. 472. Р. 144677. https://doi.org/10.1016/j.cej.2023.144677
- Jiang H., Wu S., Zhou J. // International Journal of Biological Macromolecules. 2023. V. 236. Р. 123916.
- Никифорова Т.Е., Габрин В.А., Разговоров П.Б. // Физикохимия поверхности и защита материалов. 2023. Т. 59. № 3. С. 231–243. doi: 10.31857/S0044185623700298
- El-Zawahry M.M., Hassabo A.G., Mohamed A.L. // International Journal of Biological Macromolecules. 2023. V. 248. Р. 125940. https://doi.org/10.1016/j.ijbiomac.2023.125940
- Меретин Р.Н., Никифорова Т.Е. // Изв. вузов. Химия и хим. технология. 2021. Т. 64. № 11. С. 118–125. doi: 10.6060/ivkkt.20216411.6408. Meretin R.N., Nikiforova Т.E. // ChemChemTech [Izv. Vyssh. Uchebn. Zaved. Khim. Khim. Tekhnol.]. 2021. V. 64. № 11. P. 147–155. doi: 10.6060/ivkkt.20216411.6408
- Никифорова Т.Е., Козлов В.А., Одинцова О.И. // Рос. хим. ж. (Ж. Рос. Хим. об-ва им. Д.И. Менделеева. 2015. Т. LIX. №4. С. 76–84. Nikiforova T.E., Kozlov V.A., Odintsova O.I. // Russian Journal of General Chemistry. 2017. V. 87. № 9. Р. 2204–2211. Original Russian Text © T.E. Nikiforova, V.A. Kozlov, O.I. Odintsova, 2015, published in Rossiiskii Khimicheskii Zhurnal, 2015. V. 59. № 4, pp. 76–84.
- Thakur V., Sharma E., Guleria A., Sangar S., Singh K. // Materials Today: Proceedings 2020. V. 32. Р. 608–619. https://doi.org/10.1016/j.matpr.2020.02.756
- Никифорова Т.Е., Багровская Н.А., Козлов В.А., Натареев С.В. // Журнал прикладной химии. 2008. Т. 81. № 7. С. 1096–1101.
- Никифорова Т.Е., Козлов В.А., Багровская Н.А., Родионова М.В. // Журнал Прикладной Химии. 2007. Т. 80. №. 2. С. 236–241.
- Rahaman Md.Н. Islam Md.A. Islam Md.M. Rahman Md.A., Alam S.М.N. // Curr. Opin. Green. Sustain. Chem. 2021. V. 4. Р. 100119. https://doi.org/10.1016/j.crgsc.2021.100119
- Gomathi T., Susi S., Alam M.M., Al-Sehemi A.G., Radha E., Pazhanisamy P., Vijayakumar S. // Polymer Testing 2024. V. 130. Р. 108321. https://doi.org/10.1016/j.polymertesting.2023.108321
- Wang X., Tarahomi M., Sheibani R., Xia C., Wan W. // International Journal of Biological Macromolecules. 2023. V. 241 Р. 124472. https://doi.org/10.1016/j.ijbiomac.2023.124472
- Guo Y., He X., Huang C., Chen H., Lu Q., Zhang L. // Anal. Chim. Acta V. 2020. V. 1095. Р. 99–108.
- Arsalani N., Bazazi S., Abuali M., Jodeyri S. // J. Photochem. Photobiol. A: Chem. 2020. V. 389. Р. 112207.
- Jiang R., Zhu H., Fu Y., Zong E., Jiang S., Li J., Zhu J., Zhu Y. // Carbohydr. Polym. 2021. V. 252. Р. 117158. https://doi.org/10.1016/j.carbpol.2020.117158
- Zhao G., Huang X., Tang Z., Huang Q., Niu F., Wang X. // Polym. Chem. 2018. V. 9. № 26. Р. 3562–3582. https://doi.org/10.1039/C8PY00484F
- Heng W., Weihua L., Bachagha K. // Carbohydrate Polymers. 2023. V. 321. Р. 121306. https://doi.org/10.1016/j.carbpol.2023.121306
- Birtane H., Urucu O.A., Yıldız N., Çi˘gil A.B., Kahraman M.V. // Materials Today Communications. 2022. V. 30. Р. 103144. https://doi.org/10.1016/j.mtcomm.2022.103144
- Luo X., Zhang J., Tao J., Wang X., Zhao S., Chen Z., Liu S., Li J., Li S. // Chem. Eng. J. 2021. V. 416. Р. 129486. https://doi.org/10.1016/j.cej.2021.129486
- Ameenur R.S.M., Neerazhagan B.T., Thandapani G., Narayanan S.P., Sheriff I.S.A.K. // Biomass Conv. Bioref. 2021. https://doi.org/10.1007/s13399- 021–02075–8.
- Кокотов Ю.А., Пасечник В.А. Равновесие и кинетика ионного обмена. / Л.: Химия. 1970. 336 с.
- Ахназарова С.Л., Кафаров В.В. Методы оптимизации эксперимента в химической технологии. / М.: Высшая школа, 1985. 327 с.
- Kokol V., Vivod V. Carbohydrate Polymers. 2023. V. 318. Р. 121134. https://doi.org/10.1016/j.carbpol.2023.121134
- Gauss C., Kadivar M., Harries K.A., Savastano H. // Journal of Cleaner Production 2021. V. 279. Р. 123871 https://doi.org/10.1016/j.jclepro.2020.123871
- Дьячкова Т.П., Ткачев А.Г. Методы функционализации и модифицирования углеродных нанотрубок. М.: Издательский дом “Спектр”. 2013. 152 с.
- Hubbe M.A., Azizian S., Douven S. // BioResources. 2019. V. 14. № 3. P. 7582–7626.
- Rocky M.M.H., Rahman I.M.M., Biswas F.B., Rahman S., Endo M., Wong K.H., Mashio A.S., Hasegawa H. // Chemical Engineering Journal. 2023. Т. 472. Р. 144677. https://doi.org/10.1016/j.cej.2023.144677
Supplementary files








