Стресс-эффект адсорбционной деформации углеродного адсорбента на основе каменноугольного сырья при адсорбции метана
- Authors: Школин А.В.1, Фомкин А.А.1, Меньщиков И.Е.1
-
Affiliations:
- ФГБУН Институт физической химии и электрохимии им. А. Н. Фрумкина РАН
- Issue: Vol 60, No 3 (2024)
- Pages: 227-240
- Section: ФИЗИКО-ХИМИЧЕСКИЕ ПРОЦЕССЫ НА МЕЖФАЗНЫХ ГРАНИЦАХ
- URL: https://journals.rcsi.science/0044-1856/article/view/271280
- DOI: https://doi.org/10.31857/S0044185624030018
- EDN: https://elibrary.ru/MFBVYG
- ID: 271280
Cite item
Full Text
Abstract
Представлены результаты экспериментальных исследований деформации микропористого углеродного адсорбента на основе каменноугольного сырья АР-В при адсорбции метана в области сверхкритических температур при давлениях до 10 МПа. Показано, что в начальной области заполнений адсорбент испытывает деформационный стресс-эффект зависящий от температуры. Предложена модель, для объяснения наблюдаемых деформационных эффектов.
Full Text
ВВЕДЕНИЕ
Эффект адсорбционной деформации адсорбентов при адсорбции молекул, научно исследуется с начала прошлого века [1, 2] и, в настоящее время, рассматривается как неотъемлемая часть процесса адсорбции. Для большинства нанопористых материалов деформация, вызванная адсорбцией, не превышает величины около 1% [3–5], и поэтому в технических расчетах часто ею пренебрегают. Однако такое упрощение справедливо для традиционных адсорбционных технологий, работающих при небольших избыточных давлениях. С развитием адсорбционных технологий аккумулирования газов стимулировавших смещение адсорбционных процессов в область высоких давлений до 10 МПа [6], учет неинертности адсорбента становится актуальной задачей.
В первых работах по исследованию деформации адсорбентов [1, 7] предполагали, что адсорбционная деформация расширения адсорбента обусловлена понижением поверхностного натяжения твердого тела при формировании монослоя адсорбата на его поверхности. Однако в большинстве случаев адсорбция газов и паров приводила не только к расширению адсорбента, но и к сжатию, в разной степени выраженному при изменении давлений и температур. Этот эффект особенно заметен для микропористых материалов с высокоразвитой пористой структурой, когда адсорбция протекает по механизму объемного заполнения [8]. Физическую модель эффекта сжатия адсорбента сравнительно долгое время не могли найти. В 1957 г. в [9] было выдвинуто предположение, что сжатие углей может происходить в результате эффекта молекулярного “моста” между высокоэнергетическими участками внутри микропор. В 1980 г. методом численного моделирования Монте-Карло были получены результаты, показывающие, что давление адсорбированной фазы внутри микропоры (часто называемое давлением сольватации или адсорбционным напряжением) может быть положительным или отрицательным в зависимости от соотношения размеров микропор и молекул адсорбата [10]. Взаимосвязь между размером пор и давлением сольватации позже была интерпретирована как эффект молекулярной упаковки. Повышенная плотность упаковки молекул внутри пор вызывает положительное давление сольватации, в то время как упаковка молекул с меньшей плотностью приводит к отрицательному давлению сольватации [11]. В 2006 г. методом функционала плотности в [12] было предложено объяснение эффекта деформации конкуренцией между притяжением адсорбат-адсорбент при низкой плотности молекул адсорбата и отталкиванием из-за эффектов упаковки при более высокой плотности адсорбата. В более поздних работах [13, 14] при использовании теории упругости было показано, что адсорбент, находясь в вакууме, при р равном нулю, уже деформирован.
Большинство из теоретических подходов, описывающих деформационные эффекты при адсорбции газов на микропористых адсорбентах, используют изотермы деформации, испытывающие симбатную (однородную) деформацию порового пространства. В то же время в литературе [15, 16] описаны случаи экстремального изменения адсорбционной деформации микропористых адсорбентов при очень малых величинах адсорбции, указывающих на несимбатность зависимостей адсорбционной деформации в начальной области заполнений порового пространства.
В связи с этим, для исследования такого рода явлений, развития теории деформации адсорбентов в широкой области давлений и температур, крайне важно получение новых экспериментальных данных. Для построения теории деформации адсорбентов важно оценить эффекты, характерные как для определенного типа пор, и, соответственно, механизма адсорбции [17, 18], так и для адсорбентов с широким распределением пор по размерам. С практической точки зрения также важно исследовать углеродный микропористый адсорбент, широко использующийся в разных отраслях промышленности.
В связи с этим настоящая работа посвящена исследованию деформации рекуперационного адсорбента АР-В [19], применяемого в промышленности для улавливания органических растворителей из газовых потоков, в частности, в процессах очистки метана от углеводородов С2+, деформация при адсорбции которых на выбранном адсорбенте была исследована ранее [20–22, 23–24].
ОБЪЕКТЫ И МЕТОДЫ ИССЛЕДОВАНИЯ
Объекты исследования
Микропористый углеродный адсорбент. В работе исследовали промышленный активный уголь АР-В, произведенный на основе каменноугольного сырья. Адсорбент изготавливают в следующем порядке: готовят пасту из каменного угля и лесотехнической смолы, затем пасту гранулируют посредством экструзии, полученные гранулы сушат в барабанной печи в диапазоне температур от 150 до 250°C, далее готовят карбонизат во вращающейся печи при температуре от 550 до 600°С, и на финальной стадии проводят парогазовую активацию в среде водяного пара при температуре из диапазона от 850–980°С [19].
Для проведения экспериментальных исследований адсорбции и деформации АР-В использовали специально подготовленные гранулы диаметром d = 3,1 мм и длиной l = 6,8 мм.
Адсорбат. В экспериментальных исследованиях использовали метан CH4 особой чистоты, с содержанием основного компонента не менее 99,99% об, произведенный на Московском газоперерабатывающем заводе. Основные физико-химические свойства метана, использованные в работе, представлены в табл. 1.
Таблица 1. Физико-химические свойства метана [23]
М | Tb,* К | Tcr, К | ρcr, кг/м3 | pcr, МПа | Tλ, К | dkin, Å |
16,043 | 111,66 | 190,77 | 164 | 4,626 | 90,68 | 3,76 |
Здесь: М – молекулярный вес; Tb – температура кипения; Tcr – критическая температура, К; ρcr – критическая плотность, кг/м3; pcr – критическое давление, МПа; Tλ – температура тройной точки, К; dkin – кинетический диаметр молекулы, Å [24].
Методы исследования
Пористую структуру АР-В исследовали по изотерме адсорбции/десорбции стандартного пара азота при 77 К на анализаторе пористой структуры Quantachrome IQ. Для анализа использовали методы: теории объемного заполнения микропор М.М. Дубинина [25]; определения удельной поверхности по БЭТ [26] с использованием правила Рокероля [27], подход Киселева для определения параметров мезопористой структуры [28] и теорию нелинейного функционала плотности для оценки параметров распределения микропор по размерам [29].
Исследование морфологии поверхности адсорбента и ее элементный состав проводили методом сканирующей электронной микроскопии на приборе Quanta 650 FEG (FEI Company, Hillsboro, Ore., United States) с детектором Oxford Energy Dispersive X-ray (EDX). Снимки делали при напряжении на катоде 30 кВ. Элементный состав определяли путем усреднения результатов серии из трех измерений.
Адсорбцию метана в интервале абсолютных давлений от 10–6 до 0,1 МПа, и температур от 213 до 393 K определяли весовым методом на специализированном стенде [30, 31]. Погрешность экспериментальных измерений адсорбции, рассчитанная по [32] составляла не более 1.5% при доверительной вероятности 95%.
Адсорбцию в области высоких давлений до 20 МПа при температурах от 293 до 333 K исследовали на универсальной адсорбционной установке разработанной и изготовленной в ИФХЭ РАН [33] Адсорбцию метана, а определяли как полное содержание адсорбированного вещества в микропорах адсорбента
a = [N – (V – Vа) ρg] / (m0·μ). (1)
Здесь N – общее количество газа в системе, г; V – общий объем системы, см3; Va – объем адсорбента с микропорами, определяемый комбинацией методов гелиевой пикнометрии (каркас адсорбента) и низкотемпературной адсорбции азота (объем микропор адсорбента), см3; ρg – плотность газовой фазы при заданном давлении P и температуре T, г/см3; m0 – масса регенерированного адсорбента, г; молекулярная масса метана – μ, г/ммоль
Деформацию гранул адсорбента при адсорбции метана в зависимости от температуры исследовали на оригинальном дилатометрическом стенде разработанном и изготовленном в ИФХЭ РАН [34].
Деформацию АР-В при адсорбции метана измеряли при давлениях от 10–6 до 10 МПа в интервале температур от 213 до 393 K. Гранулы адсорбента в дилатометре размещали вертикально. Деформацию адсорбента АР-В считали изотропной в соответствии с [35, 36]. Перед проведением измерений адсорбционной деформации образец адсорбента подвергали регенерации при температуре 573 K до остаточного давления в системе не более ~0.1 Па. Доверительный интервал оценки величины линейной деформации гранулы микропористого адсорбента составляет ± 5·10–7 м, в соответствии с [37]. В среднем, неопределенность измерения относительной линейной деформации адсорбента составила uc(η)=2,0%, а расширенная неопределенность U(η) при уровне доверия 95% U(η) = 6.0% [32].
Температурную деформацию гранул адсорбента АР-В исследовали в условиях вакуума, при остаточном давлении до 1 Па, в интервале температур от 213 до 573 K. Перед проведением измерений адсорбционной деформации образец адсорбента подвергали регенерации при температуре 573 K до остаточного давления в системе не более ~0.1 Па. Средняя неопределенность измерения деформации адсорбента стимулированной температурой по [32] составила около u(aT) = ±6·10–6 1/K.
РЕЗУЛЬТАТЫ ИССЛЕДОВАНИЯ
Структура адсорбента АР-В
Изотерма адсорбции-десорбции стандартного пара азота при 77 K на адсорбенте АР-В представлена на рис. 1. Результаты анализа пористой структуры исследуемого адсорбента приведены в табл. 2.
Рис. 1. Изотермы адсорбции (светлые символы) – десорбции (зачерненные символы) азота при 77 K на микропористом углеродном адсорбенте АР-В в линейных и полулогарифмических координатах.
Таблица 2. Структурно-энергетические характеристики адсорбента АР-В.
Адсорбент | W0, см3/г | E0, кДж/моль | x0, нм | SБЭT, м2/г | WS, см3/г | dMAX, нм |
АР-В | 0,28 | 19,5 | 0,62 | 780 | 0,49 | 1,18 |
Здесь: SБЭТ – удельная поверхность по БЭТ [26, 27]; W0 – удельный объем микропор; Е0 – стандартная характеристическая энергия адсорбции в пересчете на бензол; х0 – эффективная полуширина (радиус) микропор, определенная по методу ТОЗМ для углеродных адсорбентов [25]; WS – суммарный объем пор; dMAX – максимум на кривой распределения микропор по размерам, определенный методом NLDFT для щелевидной модели пор [29].
Изотерма адсорбции стандартного пара азота при 77 K имела вид IVa [38] характерный для промышленных микропористых адсорбентов содержащих мезопоры, только с более выраженной начальной частью, свидетельствующей о наличии развитого объема микропор. Петля гистерезиса соответствует типу H4, характерному для микро- и мезопористых адсорбентов.
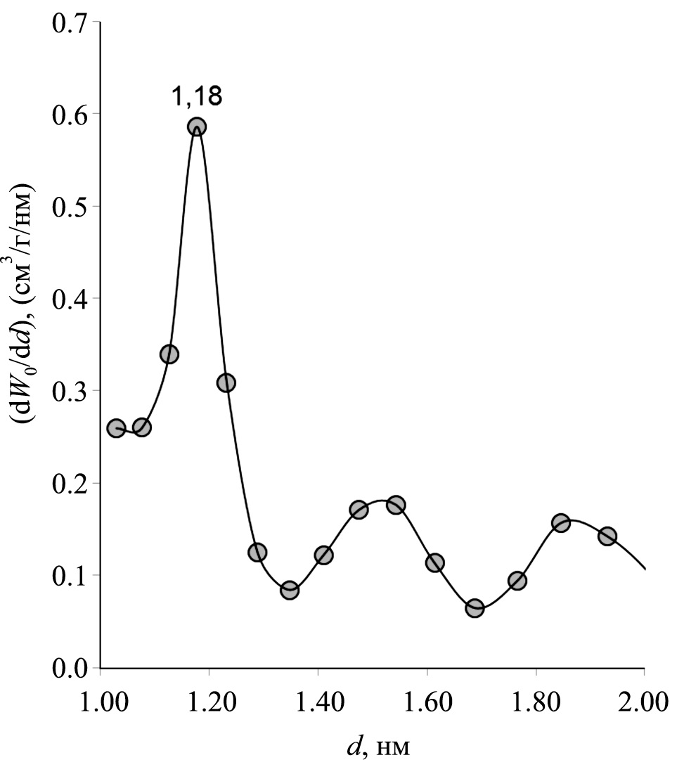
Результаты определения параметров пористой структуры приведены в табл. 2. Адсорбент имеет развитую микро- и мезопористую структуру. Удельная поверхность по БЭТ соответствует уровню промышленных углеродных адсорбентов и составляет 780 м2/г. Средняя ширина микропор, определенная с использование методов ТОЗМ [25] и NLDFT при использовании щелевидной модели микропор [29] составляет около 1,2 нм (1,24 по ТОЗМ и 1,18 по NLDFT, рис. 2). Как было отмечено в [39] при данной ширине микропор наблюдается наиболее плотная упаковка молекул метана в щелевидных порах углеродных адсорбентов при температуре окружающей среды и давлении в системах хранения около 7 МПа.
Рис. 2. Распределение микропор адсорбента АР-В по размерам. определенные по изотерме стандартного пара азота при 77 К при использовании DFT подхода для щелевидной модели пор [29].
Как следует из рис. 2, помимо выраженного максимума при ширине 1,18 нм, АР-В имеет широкое распределение микропор по размерам в диапазоне пор от 1 до 2 нм.
По данным СЭМ, рис. 3, для адсорбента АР-В характерна плотная, зернистая структура углеродной поверхности. Зерна имеют разные размеры, и неправильную форму, а также неровную, шероховатую поверхность. При увеличении видны макропоры, рис. 3б, образованные соседними зернами. Согласно результатам исследования элементного химического состава АР-В, его поверхность на 90,7% состоит из углерода, 6,3% атомарного кислорода и около 3% минеральных примесей. Исходя из теоретических представлений об образовании микропор углеродных адсорбентов, они возникают в графитоподобных нанокристаллитах турбостратного углерода [40], которые содержат стабильные поверхностные кислородсодержащие функциональные группы, расположенные преимущественно на химически активных краях графеноподобных листов [41–43]. Следует отметить, что использование метода энергодисперсионной рентгеновской спектроскопии (EDX) подразумевает измельчение пробы адсорбента до мелкодисперсного порошка, что приводит к образованию сколов на углеродной поверхности, которая в свою очередь самопроизвольно окисляется, что может приводить к несколько завышенным значениям содержания кислорода на поверхности адсорбента. Тем не менее, содержание атомарного кислорода в 7,9% мол. (6,3% ат.) характерно для углеродных адсорбентов, диапазон содержания кислорода на поверхности, для которых в целом колеблется от 4 до 20% мас. [44]. Результаты экспериментальных и теоретических исследований показывают, что кислородсодержащие функциональные группы, как правило, располагаются на краях нанообластей и могут оказывать влияние на механизм адсорбции полярных молекул, например, воды [45]. При этом на адсорбцию метана, наличие кислородсодержащих функциональных групп не будет оказывать влияния, особенно в области сверхкритических температур, когда наиболее выгодным энергетическим состоянием для молекул метана будет нахождение в поле адсорбционных сил противоположных стенок микропор.
Рис. 3. Снимки электронной микроскопии поверхности адсорбента АР-В. Масштабные линейки: а – 50 мкм; б – 2 мкм.
Таблица 3. Элементный химический состав поверхности адсорбента АР-В
Состав | С | О | Минеральные примеси | |||||
∑ | Al | Si | S | Ca | Fe | |||
%ат. | 90,68 | 6,31 | 3,01 | 1,04 | 1,34 | 0,13 | 0,26 | 0,24 |
%мол. | 84,84 | 7,86 | 7,3 | 2,18 | 2,93 | 0,33 | 0,81 | 1,05 |
Адсорбция метана на АР-В
Результаты определения адсорбции метана на углеродном адсорбенте АР-В представлены на рис. 4. Здесь адсорбция была определена экспериментально гравиметрическим методом при давлениях до атмосферного, зачерненные символы на рис. 4, а также при использовании условия линейности изостер, светлые символы на рис. 4. Условие линейности изостер адсорбции в широких интервалах температур и давлений, а также границы его применимости, обсуждались ранее, например, в [46–48]. На основании этих данных при использовании подхода для описания адсорбции в до- и сверхкритической области состояния метана с переменными параметрами уравнения Дубинина-Астахова (2) E = f (T) и n = f (T) [49] были рассчитаны изотермы адсорбции метана во всем исследованном температурном интервале, линии на рис. 4. Величины параметров E и n при соответствующих температурах приведены в табл. 4.
(2)
где а – адсорбция, определяемая как полное содержание; а0(T) – предельная величина адсорбции при давлении насыщенного пара рS; А – дифференциальная мольная работа адсорбции; Е – характеристическая энергия адсорбции соответствующего метана; β = Е/Е0 = 0.33 – коэффициент афинности метана; n – безразмерный параметр.
Рис. 4. Зависимость адсорбции метана СН4 в микропорах углеродного адсорбента АР-В от давления в полулогарифмических координатах при температурах Т, К: 1 – 213, 2 – 243, 3 – 273, 4 – 293, 5 – 333 и 6 – 393 K. Зачерненные символы – экспериментальные данные при давлениях до атмосферного. Темные символы – экспериментальные данные при высоких давлениях. Светлые символы – величины адсорбции определенные из свойства линейности изостер адсорбции. Линии – расчет на основе теоретического подхода [49], уравнение (2).
Таблица 4. Параметры E и n уравнения Дубинина-Астахова, определенные по экспериментальным данным при различных температурах для адсорбции метана СН4 на исследованных микропористых адсорбентах
Параметр | T, K | |||||
213 | 243 | 273 | 293 | 333 | 393 | |
E, кДж/моль | 7,29 | 7,27 | 7,78 | 7,99 | 9,19 | 10,75 |
n | 1,81 | 1,70 | 1,78 | 1,69 | 1,87 | 2,00 |
Для проверки рассчитанных изотерм адсорбции выполняли сравнение расчета по (2) с экспериментальными измерениями адсорбции при высоких давлениях при температурах 293 и 333 K, серые символы на рис. 4. Результаты сравнения показали хорошее соответствие расчета с экспериментом.
Как следует из рис. 4 с ростом температуры изотермы адсорбции метана в полулогарифмических координатах практически симбатно смещаются в область высоких давлений. Резкого изменения их хода с температурой не отмечается. Аналогичные выводы для метана и других газов следуют из результатов [16, 46, 50–53].
Как было показано в [49] при описании адсорбции метана на углеродных адсорбентах в сверхкритической области по уравнению Дубинина-Астахова наблюдается нарушение температурной инвариантности, и появлении температурной зависимости параметров n и E. При температурах эксперимента, не превышающих критическую температуру адсорбтива более чем на 100 K, характеристическая энергия адсорбции E для исследованных систем близка к постоянству [25], что характерно и для исследованной системы “АР-В – метан”. Как следует из табл. 4, постоянство параметра E наблюдается до температуры эксперимента в 293 K. С увеличением температуры наблюдается рост характеристической энергии адсорбции метана. Похожие зависимости наблюдались нами для множества других адсорбционных систем “метан – углеродный адсорбент” [49, 54], а также в работе [55].
Таким образом, зависимость E = f (T) условно можно разделить на две области: соблюдения условия температурной инвариантности – постоянства характеристической энергии в области температур до 100 K выше критической температуры, и нарушения температурной инвариантности, характеризующуюся изменением, в частности для метана, ростом характеристической энергии адсорбции Е. Если считать, что указанный рост происходит линейно и существует температура, при которой наблюдается “излом” рассматриваемой зависимости, то можно ввести параметр, характеризующий угловой коэффициент линейной зависимости E = f (T) температурный коэффициент зависимости характеристической энергии (ТКЭ) адсорбции ξ, в описываемом случае энергии адсорбции метана на углеродных адсорбентах. Исследования адсорбции метана более чем на 10 углеродных адсорбентах в [49] показали, что этот параметр ξ в среднем изменяется в диапазоне от 19 до 26 Дж/(моль·К). Для исследованного адсорбента АР-В ξ = 25,7, что соответствует выводам, полученным в [49] и свидетельствует в пользу предложенного в указанной работе подхода к описанию адсорбции метана на углеродных адсорбентах.
Деформация АР-В стимулированная адсорбцией метана
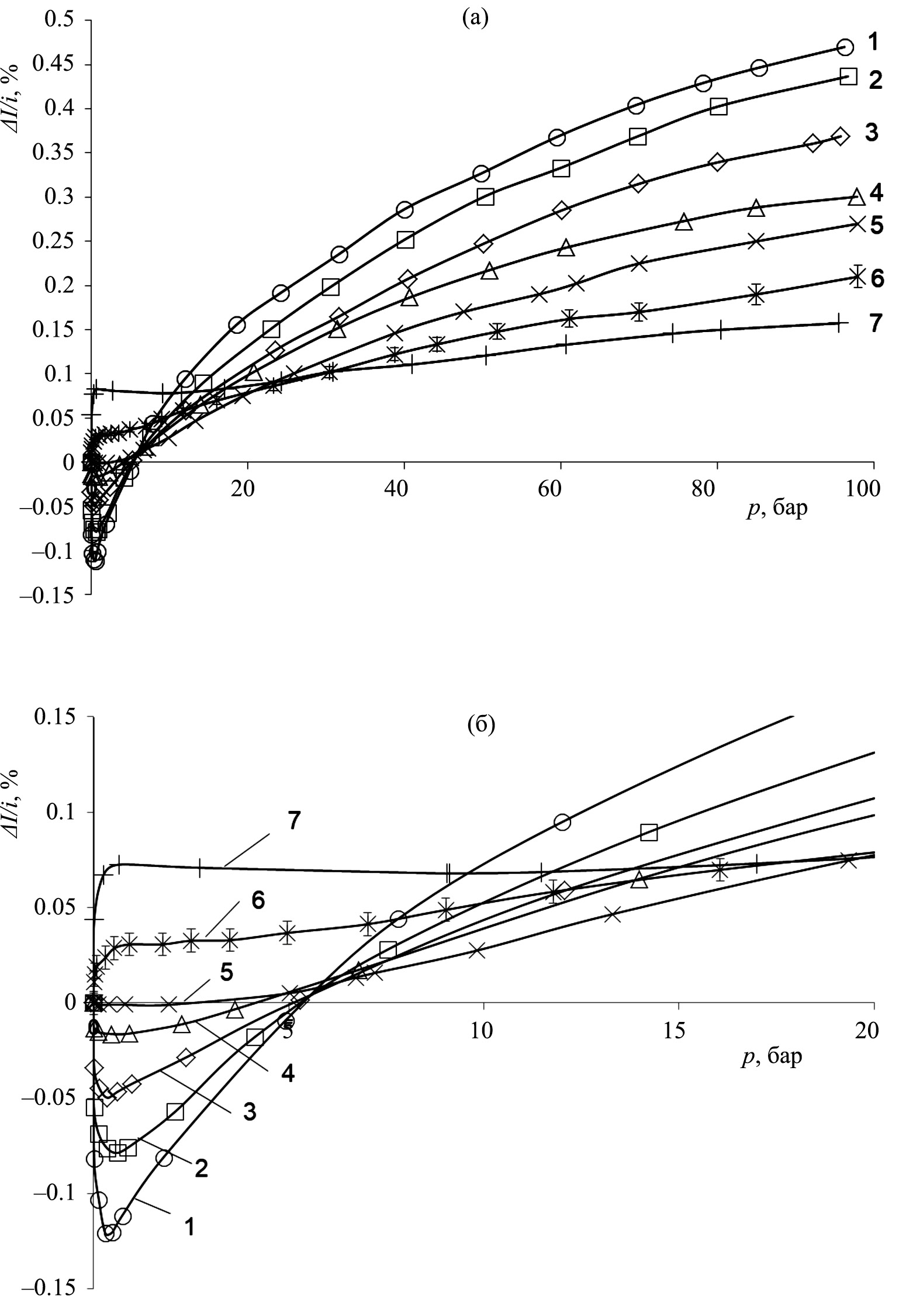
Экспериментальные зависимости относительной линейной деформации АР-В стимулированной адсорбцией метана исследовали в интервале температур от 213 до 393 K и абсолютных давлений от 1 Па до 100 бар (10МПа). Результаты измерений представлены на рис. 5.
Рис. 5. Зависимость относительной линейной деформации углеродного адсорбента АР-В от давления метана C. 4 при температурах T, K: 1 – 213, 2 – 243, 3 – 273, 4 – 293, 5 – 313, 6 – 353 и 7 – 393. a – во всем исследованном интервале давлений; b – начальная область зависимости. Символы – экспериментальные данные; линии – сплайн-аппроксимация. Светлые символы – деформация в процессе адсорбции. Закрашенные/жирные символы – деформация в процессе десорбции. Планки (на кривой 6) – расширенная неопределенность измерения.
Как следует из рис. 5, при p > 20 бар, адсорбционная деформация АР-В положительна и плавно растет с увеличением давления в исследуемом температурном интервале. При одном и том же давлении, адсорбционная деформация падает с ростом температуры. Подобный характер зависимости деформации стимулированной адсорбцией во многом объясняется падением адсорбции с ростом температуры, рис. 4, и, соответственно, уменьшением сил взаимодействия с адсорбатом, вызывающих деформацию. При 100 бар в исследованном интервале температур максимальные величины деформации АР-В при адсорбции метана наблюдаются для минимальной температуры 213 K, и составляет около 0,47%, а минимальные для максимальной температуры 393 K около 0,15 %.
В области давлений р < 20 бар, представленной в увеличенном масштабе на рис. 5b, характер зависимости адсорбционной деформации имеет существенные отличия от области высоких давлений. При давлениях, в среднем, от 4 до 8 бар наблюдается область инверсии температурной зависимости деформации. В области давлений меньше 4 бар адсорбционная деформация, может вызывать как расширение, так и сжатие адсорбента. При этом минимальная деформация наблюдается для самой низкой температуры эксперимента 213 K и составляет около 0,12% деформации сжатия, и максимальная при 393 K около 0,07% деформации расширения. Похожий характер температурной зависимости деформации наблюдался ранее и для других микропористых углеродных адсорбентов при адсорбции метана [16, 17], и других газов [18, 56].
Влияние начальных деформационных эффектов проявляются особенно ярко на зависимости относительной деформации от адсорбции ∆l/l0 = f (a), рис. 6. Как следует из рисунка, описываемые резкие начальные “стресс-эффекты”, адсорбент испытывает при величинах заполнений в среднем до одной молекулы на микропору. Для анализируемой адсорбционной системы “АР-В – метан” эта величина соответствует адсорбции около 0,12 ммоль/г. Затем с ростом заполнения микропор, с ростом адсорбции, рис. 6, и, соответственно, давления, рис. 5, уменьшается среднее расстояние между адсорбированными молекулами, возникают взаимодействия “адсорбат – адсорбат”, что приводит к нарастанию сил отталкивания и к расширению адсорбента. Схожие выводы были получены при исследовании адсорбционной деформации методом теории функционала плотности [12].
Рис. 6. Зависимость относительной линейной деформации микропористого углеродного адсорбента АР-В от адсорбции метана при температурах T, К: 1 – 213; 2 – 243; 3 – 273; 4 – 293; 5 – 313; 6 – 353; 7 – 393. Символы – экспериментальные данные; линии – сплайн аппроксимация. Пунктирная линия – величина адсорбции, соответствующая заполнению одна молекула в микропоре [35].
Следует обратить особое внимание на экстремальное начальное изменение деформации адсорбента – деформационный “стресс”-эффект. Начальный участок изотермы адсорбционной деформации характеризует состояние перехода от однокомпонентной термодинамической системы “адсорбент” к системе “адсорбент – адсорбат”. В результате этого перехода наблюдается скачкообразное изменение линейных размеров – расширение или сжатие адсорбента, в зависимости от температуры. Как было показано в [14], экстремальный характер деформации может быть следствием преднапряженного состояния пористого тела в вакууме. Знак деформации адсорбента при адсорбции будет определяться температурой эксперимента. Рассмотрим более подробно механизмы, вызывающие разнонаправленные начальные экстремальные деформационные эффекты.
При рассмотрении деформационных эффектов использовали за основу модель углеродного адсорбента Дубинина М.М. [57] согласно которой микропористый углеродный адсорбент состоит из упорядоченной части нанокристаллитов углерода и аморфной части высокоуглеродных радикалов. Соотношения аморфной и кристаллитной части углерода определяется исходным сырьем и условиями карбонизации. При использовании органического углеродсодержащего сырья, структура кристаллитов напоминает графитовую, но сами они упакованы менее регулярно в объеме углерода [58]. Кристаллиты в общем случае имеют размеры диаметрами от 0.7 до 3 нм, а число слоев углерода в них изменяется от 2 до 4–5 в зависимости от диаметра. Высокоуглеродные радикалы, связаны с атомами кристаллитов углерода и образуют менее плотные области с размерами порядка молекулярных. В процессе активации карбонизата при температурах около 1173 K происходит диффузия молекул активатора в поры угля, сопровождающаяся химическим взаимодействием и выгоранием, прежде всего, высокоуглеродных радикалов или аморфного углерода. Этот процесс при малом “обгаре”, или при малых временах активации, приводит к образованию микропор, а при более длительной активации, которой обычно сопровождается процесс получения промышленных углеродных адсорбентов, приводит к образованию мезо- и макропор нерегулярного строения. Эта структура, обеспечивает впоследствии диффузию молекул адсорбтива к микропорам адсорбента, расположенным в нанокристаллитах. Микропоры с более регулярной структурой образуются при частичном выгорании слоев углерода в нанокристаллитах.
Микропористый материал после регенерации – удаления молекул адсорбата из пор, находящийся в вакууме, по всей видимости, находится в преднапряженном состоянии, условия которого определяются как самим твердым телом и его пористостью, так и температурой, что подтверждается теоретическими моделями, например в [13, 14]. При этом сумма сил, обеспечивающих существование микропористого твердого тела равна нулю Σfi = 0. То есть все силы в твердом теле скомпенсированы.
В процессе адсорбции роль первых молекул в микропорах чрезвычайно важна. При попадании первых молекул адсорбтива в адсорбент происходит переход термодинамической системы от однокомпонентного состояния “адсорбент” к многокомпонентному “адсорбент – адсорбат”. Молекулы адсорбата по транспортным порам преимущественно проникают в микропоры, расположенные в нанокристаллитах, и за счет ван-дер-ваальсовых взаимодействий с поверхностью противоположных стенок микропор, приводит к изменению баланса сил в твердом теле Σfi + fa = F, и вызывает деформацию твердого тела ∆l/l0 = F(T)/K(T). Здесь K(T) – коэффициент сжимаемости.
В области низких температур, когда связи в твердом теле сравнительно сильны, а колебания атомов и сжимаемость адсорбента малы, попадание молекулы в пору приводит к сжатию микропор, нанокристаллитов и сжатию всего углеродного адсорбента в макромасштабе. Начальный экстремальный эффект сжатия как и глубина минимума, связанного со сжатием адсорбента тем больше, чем ниже температура эксперимента, что обусловлено увеличением энергии взаимодействия молекул адсорбата со стенками пор. Таким образом, попадание первой молекулы приводит к деформационному стресс-эффекту и перехода адсорбционной системы с новым, деформированным состоянием твердого тела. Попадание в микропору второй и последующих молекул адсорбата приводит к постепенному изменению адсорбционной деформации, проявляющейся к развитию процесса сжатия относительно уровня стресс-деформации, прохождения через минимум и расширению адсорбента вследствие нарастания сил отталкивания при увеличении количества молекул в порах.
При высоких температурах, когда колебания атомов велики, связи между углеродными слоями в нанокристаллите ослаблены, а сжимаемость адсорбента растет, и кроме того возрастает кинетическая энергия адсорбированных молекул, попадание молекулы в пору приводит к резкому расширению микропор. Это связано с изменением соотношения сил определяющих состояние твердого тела Σfi и сил адсорбционного взаимодействия адсорбированных молекул с противоположными стенками микропор fa. Это приводит к резкому изменению состояния адсорбента при адсорбции первых молекул в микропорах и деформационному стресс-эффекту.
Из рис. 6 следует, что переход стресс-эффекта от сжатия к расширению происходит плавно с изменением температуры и определяется изменением вкладов сил, определяющих твердое тело и адсорбционное взаимодействие. Развитие адсорбционно деформации на последующих этапах заполнения микропор происходит схожим образом вследствие преобладающего вклада изменения сил взаимодействия адсорбата с поверхностью микропор ∆fa.
Помимо указанных механизмов, в реальных адсорбентах дополнительными факторами усиления начальных деформационных эффектов могут выступать дефекты в стенках пор, интеркалированные гетероатомы, и недогоревшие слои углерода в нанокристаллитах, содержащие на краях графитоподобного углеродного слоя различные функциональные группы.
Похожее экстремальное поведение деформационных зависимостей в начальной области заполнений экспериментально наблюдалось ранее также в работе Фолмана и Йетса [59] при исследовании начальных эффектов деформации пористого стекла при адсорбции метилхлорида C. 3Cl, диоксида серы SO2 и фреона дифтордихлорметана CCl2F2 и аммиака NH3 в области малых давлений было показано, что для ряда адсорбционных систем с полярными адсорбтивами при температурах выше комнатных адсорбент показывал резкое начальное расширение. Также похожий эффект наблюдался также на цеолите NaX при адсорбции диоксида углерода СО2 [60]. Причиной этого явления на цеолите служило специфическое взаимодействие молекул СО2 с катионами решетки цеолита, вызывающее смещение катионов Na+ в позиции SIII внутрь больших полостей, что приводило к уменьшению сил связывающих кристаллическую решетку, и, как следствие, к ее резкому расширению. Для неполярных молекул на углеродных адсорбентах, похожий эффект был описан в [16, 17].
Отдельный интерес представляет точка смены знака деформации –перехода из области сжатия в область расширения, для которой относительная деформация равна нулю. Для оценки ее положения воспользуемся зависимостью относительной линейной деформации АР-В от адсорбции метана, рис. 6.
Как следует из рис. 6, при низких температурах деформация сжатия наблюдается в области малых и средних заполнений. При температуре 213 K адсорбент сжимается при величинах адсорбции до 4,5 ммоль/г. С ростом температуры указанная область смещается к более низким заполнениям. При 293 K адсорбент сжимается при величине адсорбции менее 1,2 ммоль/г, а при температуре 313 K деформация адсорбента переходит в область расширения во всем температурном интервале. Значения точек смены знака деформации для исследуемой системы приведены в табл. 5.
Таблица 5. Параметры точек при которых наблюдается смена знака деформации адсорбента АР-В, стимулированной адсорбцией метана
T, K | 213 | 243 | 273 | 293 |
aη=0, ммоль/г | 4,49 | 3,15 | 2,13 | 1,44 |
θη=0 | 0,72 | 0,53 | 0,37 | 0,26 |
pη=0, бар | 5,26 | 5,18 | 5,09 | 4,20 |
Здесь aη=0, θη=0, pη=0 – величина адсорбции, степень заполнения микропор и давление при которых наблюдается смена знака относительной линейной деформации АР-В при адсорбции метана
Определенные по экспериментальным данным параметры точки смены знака деформации в зависимости от температуры aη=0 = f (T), θη=0 = f (T) и θη=0° = f (T) хорошо аппроксимируются прямыми линиями. Наиболее интересной в рассматриваемом вопросе являются зависимости θη=0 = f (T) и θη=0° = f (T) так как по ним на основе Теории объемного заполнения микропор для указанной системы, в первом приближении, можно определить точки смены знака деформации для всего температурного интервала. Результаты расчетов представлены на рис. 7. Здесь же приведено уравнение, по которому для исследуемой системы можно определить точки смены знака деформации АР-В при адсорбции метана для исследуемого диапазона температур.
Рис. 7. Температурная зависимость заполнения микропор адсорбента АР-В при величине относительной деформации равной нулю, или смене знака деформации. Символы – параметры, определенные по экспериментальным данным; Закрашенные символы – параметры определенные линейной аппроксимацией; Сплошная линия – линейная интерполяция; Пунктирная линия – линейная экстраполяция.
Как следует из рис. 7, в широком интервале изменения параметров адсорбционного равновесия температурная зависимость aη=0 = f (T) может быть описана линейной зависимостью (3).
θη=0 = –5,69·10–3·T + 1,92
Решение линейного уравнения, позволяет определить температуру, при которой деформация сжатия вырождается и адсорбент расширяется во всем исследованном интервале давлений. В рассматриваемом случае расчетная температура составляет 338 K, что соответствует эксперименту с учетом погрешностей определения.
ВЫВОДЫ
Исследованы закономерности адсорбции метана и адсорбционной деформации микропористого углеродного адсорбента АР-В в области сверхкритических температур. Показано, что регенерированный микропористый углеродный адсорбент в вакууме, находится в преднапряженном состоянии. Адсорбция первых молекул адсорбата играет значимую роль в общем балансе сил и приводит к начальным деформационным стресс-эффектам, связанным с особенностями перехода от однофазной термодинамической системы: адсорбент, к двухфазной системе: “адсорбент – адсорбат”. Деформационные стресс-эффекты зависят от температуры, и соотношения сил определяющих состояние твердого тела и сил адсорбционного взаимодействия адсорбированных молекул с противоположными стенками микропор. Адсорбция второй и последующих молекул приводит к плавному развитию деформационных эффектов и при высоких заполнениях микропор к расширению адсорбента обусловленному нарастанием сил отталкивания между адсорбированными молекулами.
ФИНАНСИРОВАНИЕ
Работа выполнена при поддержке Министерства науки и высшего образования Российской Федерации 122011300053–8 “Поверхностные явления в коллоидно-дисперсных системах, физико-химическая механика, адсорбционные и хроматографические процессы”.
About the authors
А. В. Школин
ФГБУН Институт физической химии и электрохимии им. А. Н. Фрумкина РАН
Author for correspondence.
Email: shkolin@phyche.ac.ru
Russian Federation, Москва, 119071, Ленинский проспект, 31, к.4
А. А. Фомкин
ФГБУН Институт физической химии и электрохимии им. А. Н. Фрумкина РАН
Email: shkolin@phyche.ac.ru
Russian Federation, Москва, 119071, Ленинский проспект, 31, к.4
И. Е. Меньщиков
ФГБУН Институт физической химии и электрохимии им. А. Н. Фрумкина РАН
Email: shkolin@phyche.ac.ru
Russian Federation, Москва, 119071, Ленинский проспект, 31, к.4
References
- Meehan F.T. The expansion of charcoal on sorption of carbon dioxide //Proceedings of the Royal Society of London. Series A, Containing Papers of a Mathematical and Physical Character. 1927. Т. 115. № 770. С. 199–207.
- Bangham D.H., Fakhoury N. The expansion of charcoal accompanying sorption of gases and vapours //Nature. 1928. Т. 122. № 3079. С. 681–682.
- Gor G.Y., Huber P., Bernstein N. Adsorption-induced deformation of nanoporous materials A review // Applied Physics Reviews. 2017. Vol. 4(1). 011303/24.
- Gor G.Yu., Neimark A.V. Adsorption-Induced Deformation of Mesoporous Solids // Langmuir.2010. V. 26. № 16. P. 13021–13027.
- Coudert F.-X., Boutin A., Fuchs A.H., Neimark A.V. Adsorption Deformation and Structural Transitions in Metal-Organic Frameworks: From the Unit Cell to the Crystal // J. Phys. Chem. Lett. 2013. V. 4. P. 3198–3205.
- Цивадзе А.Ю. и др. Адсорбционные системы аккумулирования метана на основе углеродных пористых структур //Успехи химии. 2018. Т. 87. № 10. С. 950–983.
- Bangham D.H. The Gibbs adsorption equation and adsorption on solid // Trans. Faraday Soc. 1937. V. 33. P. 805–809.
- Беринг В.П., Красильникова О.К., Серпинский В.П. Термодинамическая теория изменения размеров микропористых адсорбентов при адсорбции // Докл. АН СССР. 1976. Т. 231. № 2. С. 373–376.
- Lakhanpal M.L., Flood E.A. Stresses and strains in adsorbateadsorbent systems: IV. Contractions of activated carbon on adsorption of gases and vapors at low initial pressures // Canadian journal of chemistry. 1957. V. 35. № 8. P. 887–899.
- Lane J.E., Spurling T.H. Monte Carlo Simulation of the Effects of Adsorption on Interparticle Forces // Aust. J. Chem. 1980. V. 33. № 2 P. 231−239. [Snook, I. K.; Vanmegen, W. Solvation Forces in Simple Dense Fluids // J. Chem. Phys. 1980. V. 72 (5). P. 2907−2913].
- Balbuena P.B., Berry D., Gubbins K.E. Solvation Pressures for Simple Fluids in Micropores // J. Phys. Chem. 1993. Vol. 97(4). P. 937−943
- Ravikovitch P.I., Neimark A.V., Density functional theory model of adsorption deformation // Langmuir. 2006. V. 22. P. 10864−10868.
- Русанов А.И. Сорбострикция и эффект Ребиндера //Коллоидный журнал. 2007. Т. 69. № 6. С. 861–862.
- Русанов А.И. Хемомеханические эффекты в нанопористых телах //Доклады Академии наук. Федеральное государственное бюджетное учреждение "Российская академия наук". 2006. Т. 406. № 6. С. 776–779.
- Пулин А.Л., Фомкин А.А. Термодинамика адсорбции диоксида углерода на цеолите NaX в широких интервалах давлений и температур // Изв. АН. Сер.хим. 2004. № 8. C. 1570–1573.
- Shkolin A.V., Men'shchikov I.E., Khozina E.V., Yakovlev V.Yu., Simonov V.N., Fomkin A.A. // Deformation of microporous carbon adsorbent Sorbonorit-4 during methane adsorption // Journal of Chemical & Engineering Data. 2022. V. 67. P. 1699–1714.
- Школин А.В., Фомкин А.А. Деформация микропористого углеродного адсорбента АУК, стимулированная адсорбцией метана // Коллоидный журнал. 2009. Т. 71. № 1. С. 116–121.
- Потапов С.В., Школин А.В., Фомкин А.А. Деформация микропористого углеродного адсорбента АУК при адсорбции криптона // Коллоидный журнал. 2014. Т. 76. № 3. С. 382–382.
- Мухин В.М., Тарасов А.В., Клушин В.Н. Активные угли России. М.: Металлургия, 2000. 352 с.
- Набиулин В.В., Фомкин А.А., Школин А.В., Твардовский А.В. Волновая сорбострикция рекуперационного углеродного адсорбента АР-В при адсорбции паров органических веществ // Физикохимия поверхности и защита материалов. 2015. Т. 51. № 1. С. 16–23.
- Школин А.В. , Фомкин, А.А., Меньщиков И.Е., Пулин А.Л., Яковлев В.Ю. Адсорбционная и термическая деформация микропористого углеродного адсорбента при адсорбции н-октана // Коллоидный журнал. 2019. Т. 81. № 6. С. 795–802.
- Набиулин В.В., Фомкин А.А., Твардовский А.В. Деформация углеродного адсорбента АР-В при адсорбции бензола // Физикохимия поверхности и защита материалов. 2012. Т. 48. № 4. С. 333.
- Bell I.H., Wronski J., Quoilin S., Lemort V. // Pure and pseudo-pure fluid thermophysical property evaluation and the open-source thermophysical property library CoolProp // Ind. Eng. Chem. Res. 2014. V. 53. P. 2498–2508.
- Poling B.E., Prausnitz J.M. and O’Connell J.P., The Properties of Gases and Liquids, McGraw-Hill, New York, 5th edn, 2001.
- Дубинин М.М. Адсорбция и пористость. М.: ВАХЗ, 1972. 127 с.
- Brunauer S., Emmett P.H., Teller E. Adsorption of gases in multimolecular layers // J. Am. Chem. Soc. 1938. V. 60. P. 309–319.
- Rouquerol J., Llewellyn P., Rouquerol F. Is the BET equation applicable to microporous adsorbents // Stud. Surf. Sci. Catal. 2007. V. 160. P. 49–56.
- Gregg S.J., Sing K.S.W. Adsorption, Surface Area and Porosity, Academic Press, London, New York, 1982, 303 p.
- Ravikovitch P.I., Neimark A.V. Calculations of Pore Size Distributions in Nanoporous Materials from Adsorption and Desorption Isotherms // Studies in Surf. Sci. & Catal. 2000. V. 129. P. 597–606.
- Патент РФ № 2732199 “Стенд для измерения адсорбции газов и паров гравиметрическим методом и способ его эксплуатации” авторов Школин А.В., Фомкин А.А., Меньщиков И.Е., Харитонов В.М., Пулин А.Л. // 2020. Опубликовано: 14.09.2020 Бюл. № 26.
- Школин А.В., Фомкин А.А. Измерение адсорбции энергетических газов на углеродных нанотрубках для систем альтернативной энергетики // Измерительная техника. 2018. № 4. C. 56–61.
- ГОСТ 34100.3–2017/ISO/IEC Guide 98–3:2008 Неопределенность измерения. Часть 3. Руководство по выражению неопределенности измерения
- Фомкин А.А., Школин А.В., Меньщиков И.Е. и др. Измерение адсорбции метана при высоких давлениях для систем альтернативной энергетики // Измерительная техника. 2015. № 12. С. 5558.
- Школин А.В., Меньщиков И.Е., Фомкин А.А. Метод измерения деформации нанопористых материалов, стимулированной адсорбцией газов и паров // Российские нанотехнологии. 2022. Т. 17. № 6. С. 858–864.
- Shkolin A. V. et al. Isotropic and anisotropic properties of adsorption-induced deformation of porous carbon materials //Adsorption. 2023. С. 1–17. https://doi.org/10.1007/s10450-022-00370-y
- Школин А.В., Фомкин А.А. Описание адсорбционно-стимулированной деформации микропористых адсорбентов на основе обобщенного потенциала межмолекулярного взаимодействия 6-n // Физикохимия поверхности и защита материалов. 2016. Т. 52. № 2. С. 135141.
- ГОСТ Р ИСО 11095–2007 Статистические методы. Линейная калибровка с использованием образцов сравнения (ISO 11095:1996. Statistical methods. Linear calibration using reference materials).
- Thommes M., Kaneko K., Neimark A.V., Olivier J.P., et al. Physisorption of gases, with special reference to the evaluation of surface area and pore size distribution (IUPAC Technical Report) // Pure and applied chemistry. 2015. V. 87. № 9–10. P. 1051–1069.
- Анучин К.М., Фомкин А.А., Коротыч А.П., Толмачев А.М. Адсорбционное концентрирование метана. Зависимость плотности адсорбата от ширины щелевидных микропор активированных углей // Физикохимия поверхности и защита материалов. 2014. Т. 50. № 2. С. 156–160.
- Dubinin M.M., Plavnik G.M. Microporous structures of carbonaceous adsorbents // Carbon. 1968. V. 6. Is. 2. P. 183–192.
- Kowalczyk P. et al. Atomic-scale molecular models of oxidized activated carbon fibre nanoregions: Examining the effects of oxygen functionalities on wet formaldehyde adsorption // Carbon. 2020. V. 165. P. 67–81.
- Strelko V., Malik D.J., Characterization and metal sorptive properties of oxidized active carbon // J. Colloid Interface Sci. 2002. V. 250. P. 213–220.
- Gomis-Berenguer A., Velasco L.F., Velo-Gala I., Ania C.O., Photochemistry of nanoporous carbons: perspectives in energy conversion and environmental remediation // J. Colloid Interface Sci. 2017. V. 490. P. 879–901.
- Salame II, Bandosz T.J., Surface chemistry of activated carbons: combining the results of temperature-programmed desorption, Boehm, and potentiometric titrations // J. Colloid Interface Sci. 2001. V. 240. P. 252–258.
- Striolo A., Chialvo A.A., Cummings P.T., Gubbins K.E., Water adsorption in carbon-slit nanopores // Langmuir. 2003. V. 19. P. 8583–8591.
- Bulov M., Shen D., Jale S. Measrement of sorption equilibria under isosteric conditions. The principles, advantages and limitations// Applid Sorfesi Scainse. 2002. V. 196. P. 157–172.
- Школин A.В., Фомкин А.А., Яковлев B.Ю. Анализ изостер адсорбции газов и паров на микропористых адсорбентах // Известия Академии наук. Серия химическая. 2007. № 3. С. 380–385.
- Школин А.В., Фомкин, А.А., Цивадзе, А.Л. и др. Экспериментальное исследование и численное моделирование адсорбции метана на микропористом углеродном адсорбенте в докритической и сверхкритической областях температур // Физикохимия поверхности и защита материалов. 2016. Т. 52. № 6. С. 563–571.
- Меньщиков И.Е. и др. Оптимизация структурно-энергетических характеристик адсорбентов для хранения метана //Известия Академии наук. Серия химическая. 2018. № 10. С. 1814–1822.
- Barrer R.M., Papadopoulos R. The sorption of krypton and xenon in zeolites at high pressures and temperatures. I. Chabazite // Proc. R. Soc. London. 1972. A326. P. 315–330.
- Findernegg G.H. Ordered Layers of Aliphatic Alcohols and Carboxylic Acids at the Liquid/Graphite Interface // J. Chem. Soc. Faraday Trans. I. 1973. № 6. P. 1069–1078.
- Ruthven D.M. Sorption of Oxygen, Nitrogen, Carbon monoxide, Methan and Binary Mixtures these Gases in 5A Molecular Sieve // AICHE Journal. 1976. V. 22. No. 4. P. 753–759.
- Myers A.L. Thermodynamics of adsorption phenomena // J. Non-Equilib. Thermodyn. 1986. V. 11. № 1/2. P. 35–49.
- Меньщиков И.Е. и др. Адсорбция метана на микропористых углеродных адсорбентах в области сверхкритических температур // Физикохимия поверхности и защита материалов. 2015. Т. 51. № 4. С. 45–345.
- Толмачев А.М., Кузнецова Т.А., Годовиков И.А. Термодинамика адсорбции на микропористых адсорбентах при температурах выше критических // Физикохимия поверхности и защита материалов. 2011. Т. 47. № 3. С. 227–231.
- Школин А.В., Потапов С.В., Фомкин А.А. Деформация микропористого углеродного адсорбента АУК, стимулированная адсорбцией ксенона // Коллоидный журнал. 2015. Т. 77. № 6. С. 802–806.
- Dubinin M.M., Plavnik G.M. Microporous structures of carbonaceous adsorbents // Carbon. 1968. V. 6. Is. 2. P. 183–192.
- Яковлев В.Ю., Школин А.В., Фомкин А.А. и др. Адсорбция неона в модельных щелевидных углеродных микропористых адсорбентах // Журнал физической химии. 2018. Т. 92. № 3. С. 444–450.
- Folman M., Yates D.J.C. Expansion-contraction effects in rigid adsorbents at low coverages // Transactions of the Faraday Society. 1958. V. 54. P. 429–440
- Пулин А.Л., Фомкин А.А., Синицын В.А. и др. // Изв. АН Сер. хим. 2001. № 1. C. 57.
Supplementary files








