Физико-химическая механика поверхностных слоев антифрикционного материала, функционирующего в поверхностно-активной смазочной среде
- Authors: Куксенова Л.И.1,2, Савенко В.И.1
-
Affiliations:
- Институт физической химии и электрохимии им. А.Н. Фрумкина РАН (ИФХЭ)
- Институт машиноведения им. А.А. Благонравова РАН
- Issue: Vol 60, No 2 (2024)
- Pages: 193-208
- Section: НОВЫЕ ВЕЩЕСТВА, МАТЕРИАЛЫ И ПОКРЫТИЯ
- URL: https://journals.rcsi.science/0044-1856/article/view/263482
- DOI: https://doi.org/10.31857/S0044185624020091
- EDN: https://elibrary.ru/NQTRVQ
- ID: 263482
Cite item
Full Text
Abstract
На основе представлений физико-химической механики контактного взаимодействия проведен материаловедческий анализ трибологической эффективности ряда синтетических смазочных композиций, содержащих поверхностно-активную добавку – 12-оксистеарат лития. Испытания пары трения “бронза БрА5 – сталь 45” проводили на машине реверсивного трения скольжения МТ-8 в условиях, соответствующих режимам работы тяжелонагруженных узлов трения. Роль смазочной среды выявляли с использованием критериальных подходов, основанных на экспериментально полученной совокупности макроскопических интегральных критериев (феноменологических показателей трения и износа) и микроскопических (микроструктурных) критериев (физического уширения рентгеновских линий, периода кристаллической решетки, элементного состава поверхностного слоя материала зоны контактной деформации), определенных с применением современных металлофизических методов исследования. Впервые экспериментально доказано, что применение в трибосопряжениях дисперсионно-смазочных сред, содержащих поверхностно-активные вещества, способствует образованию износостойкой структуры в антифрикционном материале алюминиевой бронзы.
Full Text
ВВЕДЕНИЕ
В подвижных тяжелонагруженных трибосопряжениях современных машин и механизмов широко применяются пластичные смазочные материалы, представляющие собой вязкий консистентный продукт, который прочно удерживается на поверхностях трения, обеспечивая устойчивую работу трибопары в режиме граничной смазки. Пластичные смазки – это высококонцентрированные тиксотропные дисперсии структурированных фаз (химических соединений – солей жирных кислот) в масле, в которых загуститель (металлическое мыло) образует структурный каркас, удерживающий в связанном состоянии дисперсионную среду. В этом случае гидродинамический режим работы трибоузла не реализуется, поскольку контактирующие поверхности не разделены сплошным слоем смазочного материала. Тем не менее, непосредственный контакт элементов трибопары, приводящий к износу или повреждаемости сопряжения, минимизируется образовавшимися на поверхностях трения пограничными пленками различного происхождения – продуктами прямого физико-химического взаимодействия компонентов смазки с приконтактными слоями этих элементов [1].
Направление и скорость физико-химических реакций в приконтактной зоне, а также интенсивность поверхностного разрушения трибоматериала зависят от внешних нагрузочно-скоростных параметров процесса, температуры в зоне трения, состава и структуры контактирующих металлических материалов, природы и свойств компонентов смазочной среды. Этот комплекс характеристик трибосопряжения взаимообусловлено влияет на деформационные процессы в зоне контакта, формируя структурное состояние поверхностного слоя трибоматериала, зависящее от физико-химического действия смазки. При этом важной составляющей механизма смазочного действия в условиях граничной интерактивной смазки является эффект модифицирования кристаллической структуры и механических свойств приповерхностных слоев трибоматериала под действием присутствующих в смазке поверхностно-активных веществ (ПАВ), которые в процессе контактной деформации вызывают адсорбционное пластифицирование трибоматериала (эффект Ребиндера – ЭР) [2, 3]. Как известно, ЭР в данном случае проявляется в виде снижения макроскопического предела текучести, в уменьшении коэффициента упрочнения (при активном силовом нагружении образца) или в повышении усталостной прочности трибоматериала при знакопеременных нагрузках.
Вместе с тем следует отметить, что поверхностно-активные компоненты смазки могут оказывать на реологическое поведение конструкционного материала не только пластифицирующее, но и упрочняющее влияние. Выражается это в повышении предела текучести и/или коэффициента упрочнения, в уменьшении скорости ползучести материала под постоянной нагрузкой. На молекулярном уровне упрочняющее действие среды обусловлено уменьшением подвижности приповерхностных дислокаций в результате их адсорбционной блокировки, тормозящего действия оксидных и пассивирующих пленок и электрохимических явлений на поверхности твердых тел, протекающих в таких средах [3].
При эксплуатации реальных металлических трибосопряжений в деформированном приповерхностном слое трибоматериала формируется модифицированное структурно-фазовое состояние, которое в зависимости от природы среды обладает разными структурно-чувствительными характеристиками механических свойств и, соответственно, разными уровнями поверхностного разрушения и износостойкости [4].
Ранее в работах [3, 5, 6] было показано, что изменение механических свойств приповерхностных слоев контактирующих металлов под влиянием смазочной среды связано с характером напряженно-деформированного состояния материала в зоне контактного взаимодействия. Выявлено, что остаточные напряжения, возникающие в поверхностно-пластифицированном слое при трении, носят сжимающий характер, а в поверхностно-упрочненном – растягивающий. При этом на границе между модифицированным слоем и основой материала имеет место резкая смена знака остаточных касательных маконапряжений (первого рода), что приводит к встречному движению дислокаций с однонаправленными векторами Бюргерса в соседних разнозначно напряженных слоях материала, их последующему торможению на межслойной границе и формированию на этой границе малоугловой дислокационной сетки. Процесс концентрации дислокаций на межслойной границе сопровождается очисткой от них приграничных областей металла. Расчеты показывают, что размер таких областей по порядку величины совпадает с толщиной поверхностно-модифицированного слоя, достигающей нескольких микрон для типичных схем напряженно-деформированного состояния материала [7].
В дополнение к адаптационным изменениям дислокационной структуры поверхностной деформированной зоны в ее микрообъеме возникают диффузионные потоки вакансий, примесных и легирующих элементов, приводящие к релаксации возникшие в результате трибодеформации остаточные напряжения. Имеет место “восходящая” диффузия, в результате которой в сжатых областях поверхностного слоя понижается концентрация элементов, размеры атомов которых превышают таковые для основного металла, а в растянутых областях – наоборот, концентрация этих элементов увеличивается [7–9]. Таким образом в процессе работы трибопары в активной смазочной среде может происходить расслоение поверхностно-модифицированного слоя трибоматериала, неизбежно влияющее на его эксплуатационные характеристики.
Иными словами, при работе трибосопряжения в поверхностно-пластифицирующей среде в антифрикционном материале за счет процессов снижения плотности дислокаций и восходящей диффузии в его приграничной области создаются условия для реализации правила положительного градиента механических свойств – необходимого условия устойчивого функционирования режима “безызносного” трения, высоких антифрикционных свойств триборары и низкого уровня поверхностного разрушения ее элементов [10]. Таким образом, модифицирование приповерхностных микрообъемов трибоматериала при его работе в активных средах является значимым механо-физико-химическим фактором процесса граничного трения. Поверхностные модифицированные микрообъемы трибоматериала формируются в результате его взаимодействия со смазочной средой, и именно они являются поставщиком продуктов износа. Поэтому оценка влияния поверхностно-активных компонентов смазки на уровень износа металлических трибосопряжений должна также включать анализ структурных характеристик состояния материала зоны деформации и сопоставление их со значениями структурных критериев режима “безызносного” трения.
В работе [10] приведены и проанализированны с позиций физико-химической механики результаты экспериментального исследования трибологической эффективности некоторых компонентов дисперсионных систем, применяемых при изготовлении пластичных смазочных материалов для тяжелонагруженных узлов трения. Показано, что применение в таких узлах смазочных материалов, содержащих поверхностно-пластифицирующие дисперсные фазовые добавки, способствует образованию износостойкой структуры в антифрикционном материале и приводит к установлению устойчивого режима “избирательного переноса” в трибосистемах.
В данной работе излагаются результаты экспериментальных исследований влияния смеси дисперсионной (базовой) среды и загустителя (дисперсной фазы), входящих в состав пластичного смазочного материала, на реализацию структурно-фазовых превращений в поверхностно-модифицированных слоях антифрикционного медного сплава и интенсивность его изнашивания в условиях контактной трибодеформации с целью выявления роли загустителя в этих процессах.
МАТЕРИАЛЫ И МЕТОДЫ ИССЛЕДОВАНИЯ
Триботехнические испытания пары реверсивного трения скольжения “медный сплав – сталь” (алюминиевая бронза БрА5 – Ст45) проводили на машине трения МТ-8 (стандарты ASTM D3702-94, ASTM G99-05) при номинальном контактном давлении 20 МПа и средней скорости относительного скольжения V = 0.1 м/с; схема трения – “плоскость – плоскость”. Реверсивное трение, относящееся к тяжелым условиям испытаний с точки зрения деформации поверхностных слоев, позволяет более ярко выявлять роль смазочного материала. Интенсивность изнашивания трибообразцов Ih оценивали как среднее значение в результате испытаний 3–5 трибопар по потере массы образца на фиксированном пути трения L = 0.36 – 36 км.
Выбор бронзы состава Cu + 5%Al (БрА5) был определен требованиями к структуре и элементному составу трибоматериала, достаточными для оптимального проявления и устойчивого функционирования в нем процесса избирательного переноса [11]. Известно, что для его реализации при трении в широком диапазоне давлений, температур и концентраций легирующего элемента сплав должен представлять собой гомогенный α-твердый раствор металлической добавки в металлической основе. Бронза БрА5 удовлетворяет этим условиям [11, 12].
Смазочным материалом служили базовые дисперсионные синтетические среды и загуститель к ним, используемые для работы в промышленных трибосопряжениях в широком диапазоне температур и давлений. В качестве базовых сред испытывались синтетическое масло М9С, пентаэритритовый эфир ПЭТ С5–С9, сложный эфир бензилянтарной кислоты и широкой фракции спиртов С7–С12 ДЭБЯК, смесь дисперсионных сред М9С + ДЭБЯК (1 : 1). В качестве загустителя дисперсионных сред использовали 12-оксистеарат лития – литиевое мыло 12-оксистеариновой кислоты (LiC18H35O3 = 12-LioSt), которое вводилось в дисперсионную среду в количестве 12 масс. %.
Роль среды выявляли с использованием критериальных подходов [7], основанных на экспериментально полученной совокупности макроскопических интегральных критериев (феноменологических показателей потерь на трение и износ) и микроскопических (микроструктурных) критериев (физического уширения рентгеновских линий материала зоны контактной деформации, периода кристаллической решетки, элементного состава поверхностного слоя), определенных с применением методов электронной-микроскопии, рентгеноструктурного анализа и оже-спектроскопии.
Для выявления роли дисперсной фазы (загустителя) были использованы установленные авторами ранее закономерности влияния дисперсионной (базовой) среды на формирование структуры и свойств модифицированного слоя (см. [5, 6, 10]).
РЕЗУЛЬТАТЫ И ИХ ОБСУЖДЕНИЕ
На основе принятой совокупности макроскопических и микроскопических критериев качества работы узлов трения рассмотрим экспериментальные результаты трибоиспытаний образцов БрА5 в указанных выше смазочных материалах в сочетании со структурными исследованиями зоны деформации трибоматериала. Порядок описания результатов определен возрастанием степени активности дисперсионных сред по отношению к бронзе БрА5: масло М9С, эфиры ПЭТ С5–С9, ДЭБЯК, смесь М9С + ДЭБЯК, ранее установленной в работе [10].
- Смазки на основе масла М9С. На рис. 1 в качестве типичного примера показаны объемно-временные изменения основных микро- и макроскопических характеристик поверхностного слоя бронзы БрА5 в среде масла М9С и в его смеси с загустителем 12-LioSt. Графики, приведенные на рис. 1а, отражают распределение значений физического уширения рентгеновских линий по глубине слоя деформации бронзы. Поскольку ρ ~ β2(311) [12], они позволяют качественно определить изменение плотности дислокаций ρ в соответствующем подслое глубиной h. Анализ зависимостей ρ = f(h) указывают на три основных процесса, одновременно происходящих при деформации трибоматериала в исследуемых смазочных средах. Во-первых, плотность дислокаций в слоях, прилегающих к свободной поверхности образцов, возрастает примерно в 1.6 раза при трении в масле М9С (кривая 1) по сравнению с исходным состоянием (до трения, шлифованная поверхность, кривая 3), т.е. при трибодеформации образцов в инактивной смазочной среде наблюдается упрочняющий эффект. Во-вторых, присутствие дисперсной фазы 12-LioSt в смазочной системе обеспечивает систематическое понижение плотности деформационных приповерхностных дислокаций (примерно в 1.7 раза по сравнению с чистой дисперсионной средой и в 1.1 раза по сравнению с исходным состоянием). Таким образом, в результате воздействия загустителя смягчаются энергосиловые граничные условия в трибоконтакте, и в приповерхностном слое трибоматериала реализуется пластифицирующий эффект. В-третьих, систематическое снижение величин Δβ(311)(h) = и полученных путем сопоставления значений β(311)(h) при h = idem для испытаний, выполненных при различных граничных условиях в контакте, указывает на локализацию эффекта влияния среды в слоях трибоматериала достаточно малой толщины, не превышающих 10–15 мкм.
Рис. 1б иллюстрирует распределения значений периода кристаллической решетки α-твердого раствора а по глубине h приповерхностного слоя тех же трибообразцов. Напомним, что для твердых растворов замещения выполняется закон Вегарда: аАВ = САаА + (1 – СА)аВ, где аАВ, аА и аВ – параметры решеток раствора, растворителя и растворенного элемента соответственно; СА, ат% – атомная концентрация растворителя в сплаве [13]. Поэтому изменение величины аАВ позволяет анализировать диффузионное перераспределение легирующих элементов в зоне механического или любого другого воздействия на сплав.
Рис. 1. Характеристики пары трения бронза БрА5–сталь45: 1 – трение в среде М9С; 2 – трение в среде М9С + 12-LioSt; 3 – до трения. (а) – изменение физического уширения рентгеновских линий β(311) по глубине зоны контактной деформации h в установившемся режиме (τ = 30 час); (б) – изменение периода а кристаллической решетки α-твердого раствора Cu–Al (бронза БрА5) по глубине зоны контактной деформации h после трения в установившемся режиме; (в) – зависимость интенсивности изнашивания Ih бронзы от времени испытаний τ. (Среднеквадратичные ошибки измерений не превышают размеры точек на графиках.).
В процессе временнóй трибодеформации антифрикционного материала в масле М9С величина периода решетки сравнительно слабо осциллирует по всей глубине поверхностного деформированного слоя (см. рис. 1б, кривая 1) и, в среднем, составляет <аα> = 0.3632 нм, что достаточно близко к исходному стандартному значению периода решетки бронзы БрА5 аα = 0.3628(1) нм [14]. Введение в смазочную систему дисперсной фазы (загустителя 12-LioSt) приводит к тому, что в процессе фрикционного воздействия в зоне деформации формируется нормальный к рабочей поверхности образца достаточно интенсивный макроскопический диффузионный поток атомов алюминия, направленный с одной стороны к выходу из образца, а с другой – в его внутриобъемную зону. При этом в слоях глубиной h ≤ 4 мкм происходит заметное уменьшение периода а вплоть до значений аα = 0.3620(2) нм (рис. 1б, кривая 2). Таким образом, в приповерхностном слое трибообразца вблизи межфазной границы “металл/смазка” создается положительный концентрационный градиент алюминия и, соответственно, положительный градиент механических свойств материала в целом, являющиеся предпосылками для формирования режима повышенной износостойкости такого материала. Полученная в работе [3] оценка происходящих под влиянием адсорбции ПАВ изменений предела текучести приповерхностного слоя, а также вариаций знака и величины остаточных напряжений, возникающих на разных глубинах этого слоя, дает основания полагать, что в данном случае именно процессы диффузии атомов алюминия одновременно как в смазку, так и в глубину трибоматериала обеспечивают снижение уровня упрочняющего эффекта в приповерхностном слое бронзовых образцов при их трибоиспытаниях в смазке, содержащей загуститель. Однако наблюдающееся при этом увеличение концентрации атомов алюминия в относительно более глубоко залегающих подповерхностных слоях трибоматериала (наличие максимума концентрации алюминия на глубине h ≈ 5 мкм – см. рис. 1б, кривая 2) приводит к появлению в зоне деформации сплава горизонтально-протяженных пластинчатых концентрационных неоднородностей. В соответствии с лепестковой моделью механизма износа [15] это может являться причиной снижения износостойкости бронзового антифрикционного материала в целом.
Таким образом, в зоне деформации бронзового образца при его трении в смазочной среде, содержащей загуститель, реализуются три ведущих структурно-динамических процесса: повышение плотности неподвижных дислокаций за счет влияния дисперсионной среды – масла М9С (упрочняющий эффект), понижение плотности скользящих дислокаций под влиянием дисперсной фазы – литиевого мыла 12-LioSt (пластифицирующий эффект) и реализация макроскопического диффузионного потока атомов алюминия одновременно как в смазку, так и во внутриобъемную зону образца. В результате такой макродиффузии в поверхностном слое трибоматериала на глубинах h ≤ 0.8 мкм постепенно образуется положительный градиент его механических характеристик по глубине этого слоя. Последнее обстоятельство указывает на тенденцию формирования в материале признаков износостойкого структурного состояния. При этом уровень и временнáя локализация актов поверхностного разрушения трибоматериала определяются результатом взаимной конкуренции процессов пластифицирования и упрочнения в зоне трибоконтактной деформации образца (см. рис. 1в).
Временные зависимости износа бронзовых образцов Ih = f(τ) выявляют важную особенность процесса изнашивания, интенсивность которого также зависит от вида смазочной среды. Как известно, характерным показателем установившегося режима трения является реализация кинетических циклов – периодически чередующихся этапов накопления повреждений в зоне локализации деформации металла и моментов ее разрушения, сопровождающихся динамическим равновесием между разрушением поверхностных структур и их восстановлением. Период этих циклов и их амплитуда являются кинетическими характеристиками процессов накопления повреждений и разрушения тонкого поверхностного слоя трибоматериала [16]. В макроскопическом масштабе они определяют среднее значение интенсивности изнашивания материалов трибосопряжения на фиксированном отрезке пути трения. Приведенные на рис. 1в графики свидетельствуют о влиянии состава смазочной среды на периоды и амплитуды кинетических циклов. Так, при трении образцов в масле период накопления повреждений и амплитуда изменения износа достаточно велики; при трении в смеси масла с загустителем эти характеристики оказываются существенно меньше. Фиксированные во времени значения интенсивности изнашивания бронзы Ih в двух средах на различных временных интервалах могут значительно отличаться, в особенности при малых и больших временах работы трибосопряжения (рис. 1в). Тем не менее, в среднем они близки между собой, хотя на всем временном интервале испытаний наблюдается тенденция более высокого износа образцов при их трибоиспытаниях в смазке с загустителем. В последнем случае наблюдается устойчивое снижение интенсивности износа с увеличением длительности трибоиспытаний (приработка узла трения). Интенсивности изнашивания составляют Ih ≈ 4.5 × 10–8 для смазки М9С + 12-LioSt в режиме, близком к установившемуся (при τ = 70 час), и Ih ≈ 3.5 × 10–8 для М9С в режиме, все еще далеком от стационарного при том же времени испытаний.
Анализ совокупности экспериментальных зависимостей β(311) = f(h), а = f(h), Ih = f(τ) дает основание полагать, что кроме усталостного процесса в поверхностных слоях трибоматериала реализуется дополнительный механизм разрушения, связанный именно с влиянием литиевого мыла. Проведенные рентгеносъемки тончайших поверхностных слоев латуни (h ≈ 0.1–0.2 мкм) выявили присутствие на поверхности трения множества островковых пленок оксидов типа Cu2O и небольшого количества оксидов нестехиометрического состава. При трении в базовом масле без загустителя количество оксидов предельно мало. Кроме того, было обнаружено, что поверхностная концентрация новообразований оксидной природы осциллирует в зависимости от времени испытаний (т.е. от длины пути трения), а их общая масса и величина износа Ih на фиксированном временном отрезке Δτ находятся в противофазе: в момент времени, соответствующий повышенному износу образца, оксиды отделяются от поверхности трения, и на обнажившейся ее поверхности они еще отсутствуют. Следовательно, процесс окисления поверхности вносит значимый вклад в поверхностное разрушение трибоматериала. Поэтому для сохранения и усиления антиизносного эффекта, возникающего при добавлении в инактивную смазку ПАВ – литиевого мыла, необходимо дополнительное введение в состав такой дисперсионно-смазочной среды специфических антиоксидантов – веществ, ингибирующих процессы окисления медного сплава.
- Смазки на основе эфира ПЭТ С5–С9. Теперь рассмотрим совокупность тех же макро- и микроскопических характеристик поверхности трения алюминиевой бронзы, зафиксированных при трении трибопары в дисперсионной среде эфира ПЭТ С5–С9 с тем же загустителем 12-LioSt.
В табл. 1 приведены значения физического уширения рентгеновских линий β(311) по глубине h зоны контактной деформации α-твердого раствора Cu–Al, анализируя которые можно, как и ранее, качественно оценить изменение плотности дислокаций при воздействии данной смазочной среды.
Таблица 1. Физическое уширение рентгеновских линий β(311) на рентгенограммах приконтактного слоя α-фазы бронзы БрА5, находящегося в различных структурно-механических состояниях
глубина слоя h, мкмк | 1 | 5 | 10 |
Значение β(311), 10–3, рад. | |||
До трения | 30.0 | 17.5 | 13.0 |
После трения в среде ПЭТ С5–С9 | 36.5 | 18.0 | 13.5 |
После трение в среде (ПЭТ С5–С9 + 12-LiоSt) | 29.5 | 14.0 | 12.7 |
Поскольку по-прежнему плотность дислокаций ρ ~ β2(hkl), из данных таблицы следует, что трибоконтактная деформация бронзы в смазочной композиции ПЭТ С5–С9 + 12-LiоSt сопровождается понижением плотности дислокаций в модифицированном слое бронзы по сравнению с таковой, зафиксированной при испытаниях того же трибоматериала в базовой среде ПЭТ С5–С9. Это свидетельствует о снижении связанного с трибодеформацией упрочняющего воздействия данной смазочной композиции на приповерхностный слой трибоматериала за счет интенсивного проявления эффекта пластифицирования его приповерхностного слоя. Снижение численного значения β(311) по глубине модифицированного слоя h указывает на тенденцию локализации эффекта влияния загустителя в слое толщиной до ~10 мкм.
На рис. 2 показано изменение периода кристаллической решетки бронзы по глубине зоны деформации (модифицированного слоя) в вышеупомянутых смазочных средах.
Рис. 2. Изменение периода кристаллической решетки а поверхностного слоя бронзы БрА5 по глубине модифицированной зоны h: 1 – после трения в чистом эфире ПЭТ С5–С9; 2 – после трения в композиционной среде ПЭТ С5–С9 + 12-LioSt.
При трении в чистой дсперсионной среде (в эфире ПЭТ С5–С9) в поверхностном слое глубиной h ≤ 3 мкм, первоначально характеризующемся высокими сжимающими остаточными напряжениями (подробнее см. работы [3, 5]), имеет место заметное уменьшение периода а до значений аα = 0.3625(1) нм, (рис. 2, кривая 1). (Напомним, что параметр решетки равновесного α-твердого раствора БрА5 аα = 0.3628(1) нм [14]). Это свидетельствует о появлении в этом слое достаточно интенсивного макроскопического диффузионного потока алюминия, направленного как к поверхности образца (и далее в смазку), так и во внутриобъемную приконтактную зону, первоначально характеризующуюся растягивающими остаточными напряжениями [3]. В результате прохождения этих потоков внутренние остаточные напряжения в поверхностных слоях трибоматериала релаксируют, и металлическая система приходит в равновесное состояние.
В смеси с загустителем этот эффект усиливается: период решетки уменьшается до значения аα = 0.3620 нм. При трении трибообразцов в смазочной смеси ПЭТ С5–С9 + 12-LioSt, так же, как и при их испытаниях в чистой дисперсионной среде ПЭТ С5–С9, в приконтактной зоне на глубине h ≈ 3 мкм формируется качественно аналогичная концентрационная неоднородность. Отметим еще одну особенность приведенных выше экспериментов. Триботехнические испытания на изнашивание образцов в смазочной среде эфира с литиевым загустителем показали, что интенсивность изнашивания в этом случае весьма нестабильна во времени (см. рис. 3, кривая 2), резко отличаясь по характеру от режима износа, устанавливающегося при трении в среде чистого эфира и характеризующегося традиционным типом кривой изнашивания антифрикционного сплава (рис. 3, кривая 1).
Рис. 3. Зависимость интенсивности изнашивания Ih бронзы БрА5 от длительности испытаний τ при трении: 1 – в чистом эфире ПЭТ С5–С9; 2 – в смеси ПЭТ С5–С9 + 12-LioSt.
Рентгенограммы, по которым были определены значения периода кристаллической решетки, представленные на рис. 2, кривая 2, были получены на образцах после 35 часов испытаний, когда их износ достаточно мал (Ih ≈ 3.5 × 10−9) и имеет тенденцию к дальнейшему снижению. Однако при дальнейшем увеличении длительности испытаний (при τ > 40 час) износ трибообразцов резко возрастает, амплитуда колебательного режима его временного изменения существенно увеличивается, а на поверхностях трения появляются задиры и следы “микросхватывания” контактирующих материалов. При длительности трибоиспытаний τ ≥ 90 часов соответствующие пары трения оказываются полностью неработоспособнымии из-за резкого перехода в состояние взаимной “макросварки”. Режим трения при испытаниях длительностью τ = 40 – 80 часов характеризуется появлением на рабочей поверхности трибоматериала большого количества оксидных фаз, таких как оксиды стехиометрического – Cu2O, CuAl2O4 и переменного – CuxOy состава.
Таким образом, при трении пары бронза БрА5 – сталь 45 в композиционной смазочной среде ПЭТ С5–С9 + 12-LiоSt в приповерхностном слое медного сплава фиксируются следующие отличия (по сравнению с трением в чистом эфире): снижение упрочняющего влияния среды, усиление макроскопического диффузионного потока атомов алюминия к поверхности и интенсификация процесса окисления материала в зоне контактного взаимодействия. Первые два эффекта способствуют достижению парой трения режима кратковременной повышенной антифрикционности, при длительных трибоиспытаниях окислительные процессы нарушают этот режим.
- Смазки на основе сложных эфиров бензилянтарной кислоты и широкой фракции спиртов С7 –С12 (ДЭБЯК).
При трибоиспытаниях образцов в смазочной смеси 12-LioSt с дисперсионной средой С7–С12 (ДЭБЯК) также обнаруживается заметное влияние литиевого мыла на структурно-фазовые превращения, происходящие в приповерхностном слое трибоматериала и, соответственно, на уровень его разрушения при трении (см. рис. 4).
Рис. 4. Зависимость интенсивности изнашивания Ih бронзы БрА5 от длительности испытаний τ при трении в смазочных средах: 1 – ДЭБЯК и 2 – ДЭБЯК + 12-LioSt.
Временнáя зависимость интенсивности изнашивания Ih в композиционной смазочной среде ДЭБЯК + 12-LioSt имеет классический характер и состоит из двух характерных участков – приработки и установившегося режима изнашивания (рис. 4, кривая 2). Износостойкость бронзы в этом случае повышается примерно в 2.5 раза (ср. с рис. 4, кривая 1), несмотря на то, что на ее поверхности как в первом, так и во втором случаях образуется плотная и твердая пленка оксидов типа алюмината меди (CuAl2O4), имеющих кристаллическую структуру шпинели. Эти факты свидетельствуют о более сложных физико-химических и микроструктурных процессах, происходящих в этом случае в зоне трибоконтактной деформации бронзы, которые определяют ее антифрикционные свойства.
Экспериментальные данные, приведенные на рис. 5 и в табл. 2, раскрывают существо этих процессов. Здесь необходимо пояснить, что α1 – α4 – это новые фазы, сформировавшиеся в процессе трения в приповерхностном слое материала в результате распада первичного α-твердого раствора Cu–Al под влиянием возникающих в нем значительных остаточных упругих напряжений σα [3]. Эти напряжения увеличивают свободную энергию Гиббса G(р,Т,σα) сплава и приводят его в неравновесное состояние. В результате включается механизм быстрого спинодального (флуктуационного) распада сплава, завершающийся более медленным диффузионным бифазным распадом (см. рис. 5) в соответствии с диаграммой состояний Cu–Al [17]. При этом все вышеуказанные фазы являются кристаллографически изоструктурными материнскому твердому раствору БрА5, т.е. сохраняют одинаковые с ним типы решеток Браве, но имеют отличные от него параметры решетки аi. Так, фазы α1 и α3 являются фазами с бóльшим по сравнению с α-фазой БрА5 периодом решетки а и, следовательно, обогащены алюминием, фазы α2 и α4 имеют заметно меньшие, чем фаза α, периоды а и обогащены медью.
Рис. 5. Изменения периодов аαi кристаллической решетки фаз α1, α2, α3 и α4, а также концентраций атомов Al (СAlαi), остаточных внутренних напряжений σαi, относительных масс Mα2/Mα1 (последние определены по правилу рычага) и Mα3/Mα4 (определены по рентгеновским данным) структурных составляющих модифицированной зоны по ее толщине h при испытаниях в смазочной среде чистого ДЭБЯК – (а); при испытаниях в композиционной среде ДЭБЯК + 12-LioSt – (б).
Таблица 2. Физическое уширение рентгеновских линий β(311) на рентгенограммах приконтактного слоя бронзы БрА5
глубина слоя h, мкмк | 1 | 5 | 10 |
Значение β(311), 10−3 рад. | |||
До трения | 30.0 | 17.5 | 13.0 |
Трение в среде ДЭБЯК, α1-фаза | 25.5 | 17.0 | 12.0 |
Трение в среде ДЭБЯК, α2-фаза | 27.0 | – | – |
Трение в среде (ДЭБЯК + 12-LioSt), α3-фаза | 24.0 | 14.3 | 12.0 |
Трение в среде (ДЭБЯК + 12-LioSt), α4-фаза | 36.0 | 28.0 | 13.0 |
Из анализа данных, представленных на рис. 5, следует, что при трении бронзы в обеих смазочных средах имеют место развитые макроскопические диффузионные потоки атомов алюминия, направления которых определяются знаком и величиной остаточных напряжений, локализованных в различных фазах поверхностного слоя трибоматериала. При этом знак и величина этих напряжений существенно зависят от вида среды, в которой происходит работа трибопары, и поэтому они могут радикально различаться. Так, при трении бронзы в среде чистого эфира образующаяся на поверхности трибообразца пленка алюмината меди экранирует поверхностный слой бронзы от контакта со смазочной средой и одновременно упрочняет материал этого слоя, повышая его предел текучести. В результате в этом слое создаются остаточные напряжения растяжения 1 рода [3], которые приводят к распаду исходного сплава БрА5 (CAl = 5 ат. %) на фазы α1 (CAl = 6 – 12 ат. %) и α2 (CАl ≈ 0.007 ат. %). Под влиянием сохраняющихся в материале этих фаз остаточных напряжений противоположного знака эти фазы эволюционируют по-разному. Обогащенная и количественно более массивная алюминием фаза α1, в которой сохраняются остаточные напряжения растяжения, в результате восходящей диффузии алюминия из глубже залегающих слоев материала еще больше обогащается этим компонентом, выделяя из себя возрастающее по мере приближения к поверхности массовое количество механически сжатой (σα2 = −0.264 МПа) фазы α2, состоящей из практически чистой меди, и создавая в материале отрицательный концентрационный градиент периода собственной решетки (рис. 5а, кривая α1). При этом первоначально присутствовавшие в материале фаз α1 и α2 остаточные напряжения (см. рис. 5а, кривая α1) релаксируют. Этот процесс особенно быстро происходит вблизи поверхности образца, в подповерхностном слое толщиной, не превышающей h ≤ 3 мкм. Такая релаксация позволяет медной фазе α2 стабилизировать свое состояние в этом слое бронзы (см. рис. 5а, линия α2).
Очевидно, что указанные структурно-геометрические особенности поверхностного слоя бронзы, фрикционно деформированной в смазке ДЭБЯК, способствуют как процессу повышенного окисления медной фазы α2 и ее периодическому отслаиванию от поверхности образца, так и ускоренной трибодеструкции фазы α1, характеризующейся отрицательным концентрационным градиентом. Оба этих процесса вызывают повышенный и переменный во времени (колебательный) характер износа бронзы при трении в смазочной среде чистого ДЭБЯК (см. рис. 4, кривая 1).
Иная структурная картина возникает в приповерхностном слое бронзы при ее трении в композиционной смазочной среде ДЭБЯК + + 12-LioSt. В этом случае присутствие в смазке загустителя (более активного ПАВ, чем ДЭБЯК) вызывает немедленное адсорбционное понижение прочности образующейся поверхностной оксидной пленки (1-ая форма ЭР) и ее хрупкое растрескивание. При этом активная смазка проникает к поверхности бронзы и пластифицирует ее приповерхностный слой. В результате трибовоздействия в нем возникают остаточные напряжения сжатия [3]. Под их влиянием так же, как и в предыдущем случае, происходит спинодальный распад этого раствора на две новые более устойчивые фазы α3 и α4 с различными концентрациями входящих в раствор компонентов Cu и Al, которые распределяются в поверхностном слое трибоматериала в обратном по отношению к рассмотренному ранее случаю порядке. Теперь первоначально относительно более массивная, но содержащая остаточные напряжения сжатия σα4 < 0 и обогащенная медью вторичная фаза α4 активно формируется по всей модифицированной зоне глубиной не менее 6 мкм (см. рис. 5б, кривая α4). Кроме того, в этой фазе реализуется положительный градиент концентрации алюминия по глубине поверхностного модифицированного слоя. Присутствие вторичной фазы α3 в поверхностном слое материала оказывается заметным лишь на достаточной его глубине, при h ≥ 2 мкм. В этом интервале глубин h остаточные напряжения относительно мало изменяются, и фаза α3 сохраняет постоянное значение периода а = 0.3640 нм, которое заметно превышает исходное равновесное значение периода решетки бронзы БрА5 а = 0.3628(1) [14]. Концентрация Al в этой фазе (СAlα3 = 5.9 ат. %) близка к ее предельному значению СAlα3 ≈ 6 ат. % в равновесном α твердом растворе Cu–Al при комнатной температуре [17]. Стабильность фазы α3 в поверхностном слое образца при h ≥ 2 мкм объясняется первоначальным присутствием в этой фазе постоянных и довольно значительных остаточных напряжений растяжения (σα3 = 0.397 МПа > 0). Вместе с тем, относительное количество (масса) этой фазы по мере приближения точки наблюдения к поверхности падает и на глубинах h < 2.2 мкм она рентгеновски не детектируется, по-видимому постепенно растворяясь в фазе α4.
Анализ совокупности вышеперечисленных свойств фаз α3 и α4 (см. рис. 5б) дает основания полагать, что формирование при трении бронзы в композиционной среде ДЭБЯК + 12-LioSt обогащенной медью и более значительной по объему, нежели фаза α3, фазы α4, обладающей положительным градиентом микроструктурных характеристик по толщине модифицированной зоны (период решетки а4, концентрация алюминия СAl(α4) и массовый коэффициент Мα3 /Мα4 в поверхностном слое), способствует повышению износостойкости трибоматериала, поскольку при этом создаются предпосылки реализации структурного состояния, характерного для явления избирательного переноса [11]. Однако в последнем случае величина интенсивности изнашивания Ih является хотя и допустимой, но не в полной мере соответствующей режиму трения в условиях повышенной износостойкости (см. рис. 4).
Рассмотрим теперь характеристики дислокационной структуры ρ материала в зоне контактной трибодеформации, которые качественно можно оценить по значениям физического уширению β(311) ~ ρ0.5 интерференционных линий, полученных при рентгеновском облучении материала этой зоны. Соответствующие данные приведены в табл. 2.
Как отмечалось выше, зона контактной деформации трибоматериала в каждом из рассмотренных в этом разделе случаев состоит из двух вторичных металлических фаз с различными микроструктурными характеристиками. Поэтому естественным является разный уровень сопротивления пластической деформации в этих фазах и различная плотность закрепленных и подвижных дислокаций в них. Это различие наблюдается в обеих фазах, трибодеформированных в смазочно-дисперсионной среде (ДЭБЯК), и усиливается при трении трибоматериала в ее смеси с загустителем LioSt (см. табл. 2).
Анализ представленных в табл. 2 данных показывает, что эфир ДЭБЯК снижает плотность дислокаций в обеих вторичных фазах по сравнению с таковой в исходном (до трения) однофазном состоянии материала. При этом уровень снижения плотности дислокаций в обогащенных медью фазах α2 и α4 ниже, чем в фазах α1 и α3, обогащенных алюминием. Композиционная смазочная среда ДЭБЯК + 12-LioSt усиливает эффект снижения плотности дислокаций в α3-фазе, однако в фазе α4 на глубинах h ≤ 5 мкм общая плотность дислокаций существенно увеличивается до значения, которое превышает значение этой характеристики не только при трении в чистом эфире, но и в исходном (до трения) состоянии. Таким образом, прямое физико-химическое влияние активной смазочной среды на структуру и свойства трибоматериала приводит к неоднозначным результатам: обогащенные медью фазы α1 и α3 относительно пластифицируются, а фазы α2 и α4 – дополнительно упрочняются. Наличие переупрочненных фаз в приповерхностном слое трибоматериала является основной причиной, тормозящей процесс формирования структуры, обеспечивающей высокую износостойкость, характерную для явления избирательного переноса [10–12] (см. рис. 4, кривая 2).
- Смазочная смесь М9С + ДЭБЯК + 12-LioSt. При производстве промышленных пластичных смазочных материалов часто применяется смесь дисперсионных сред М9С и ДЭБЯК в сочетании с дисперсной фазой 12-LioSt. Основываясь на экспериментальных данных, свидетельствующих о влиянии смеси дисперсионных сред на процесс структурно-фазовых превращений в поверхностном слое медного сплава Cu–Al при трибодеформации [10], рассмотрим изменения характеристик модифицированного слоя, связанных с ролью загустителя.
В табл. 3 и на рис. 6 представлена совокупность микро- и макроскопических характеристик антифрикционного материала (бронзы БрА5), определенных по результатам испытаний в смеси М9С + ДЭБЯК в соотношении (1 : 1) и смеси М9С + ДЭБЯК (1 : 1) + 12 масс. % 12-LioSt.
Таблица 3. Физическое уширение рентгеновских линий β(311) на рентгенограммах приконтактного слоя бронзы БрА5
глубина слоя h, мкмк | 1 | 5 | 10 |
Значение β(311), 10−3 рад. | |||
До трения | 30.0 | 17.5 | 13.0 |
Трение в среде (М9С + ДЭБЯК), фаза α1 | 22.5 | 15.0 | 14.0 |
Трение в среде (М9С + ДЭБЯК), фаза α2 | 40.0 | 35.0 | 17.5 |
Трение в среде (М9С +ДЭБЯК + 12-LioSt), фаза α3 | 22.0 | 16.0 | 14.0 |
Трение в среде (М9С +ДЭБЯК + 12-LioSt), фаза α4 | 38.5 | 35.5 | 17.0 |
Рис. 6. Изменение периода кристаллической решетки а фаз α1–α4 в поверхностном слое по его толщине h: α1, α2 – испытания в среде М9С + ДЭБЯК; α3, α4 – в среде М9С + ДЭБЯК + 12-LioSt.
При трении в смазочной смеси М9С + ДЭБЯК структурные составляющие α1 и α2 поверхностного деформированного слоя, образующиеся в результате концентрационного расслоения бронзы при трибодеформации в активной среде, имеют различные значения структурного параметра β(311) ~ ρ0.5. Так, для обогащенной алюминием α1-фазы величина β(311) и, следовательно, общая плотность дислокаций ρ оказываются меньше, чем их значения для исходного сплава. Для α2 -фазы, обогащенной медью, значения β(311) и ρ существенно выше по сравнению с их значениями не только в исходном состоянии трибоматериала, но и при сопоставлении с этими характеристиками для фазы α1, содержащей более высокую концентрацию алюминия. Присутствие в смазке загустителя 12-LioSt незначительно снижает величины β(311) и ρ в гомологически соответствующих им фазах α3 и α4. Таким образом, можно полагать, что сочетание эфира ДЭБЯК с синтетическим маслом М9С и загустителем по существу не изменяет характер физико-химического влияния среды на процессы трибодеформации, происходящие в приповерхностном слое материала. В упомянутых структурных составляющих наблюдается как пластифицирующий эффект, так и упрочняющий с превалирующим действием последнего, при этом глубина поверхностно-модифицированного слоя превышает 10 мкм.
При испытаниях трибоматериала в данных смазочных композициях, как и при его испытаниях в содержащих ПАВ рассмотренных выше дисперсионно-смазочных средах, в поверхностном слое образцов также возникает макроскопический диффузионный поток атомов алюминия, приводящий к концентрационному расслоению исходного сплава (рис. 6). Периоды кристаллической решетки относительно обогащенных алюминием вторичных фаз α1 и α3 в обеих смазочных средах достаточно близки, т.е. добавка загустителя в смазку практически не влияет на состав и уровень остаточных напряжений в этих фазах.
Вместе с тем, при трибоиспытаниях трибоматериала в смазке, содержащей загуститель, это расслоение гораздо более неоднородно по глубине h поверхностного слоя. Последнее обстоятельство связано с заметной вариабельностью остаточных напряжений сжатия, присутствующих в фазе α4. Следует также отметить, что загуститель ограничивает относительную интенсивность пространственного расслоения исходного твердого раствора по глубине h: обогащенная медью фаза α4 рентгеновски визуализируется лишь в поверхностном слое материала толщиной h ≤ 3.5 мкм (см. рис. 6, кривая α4).
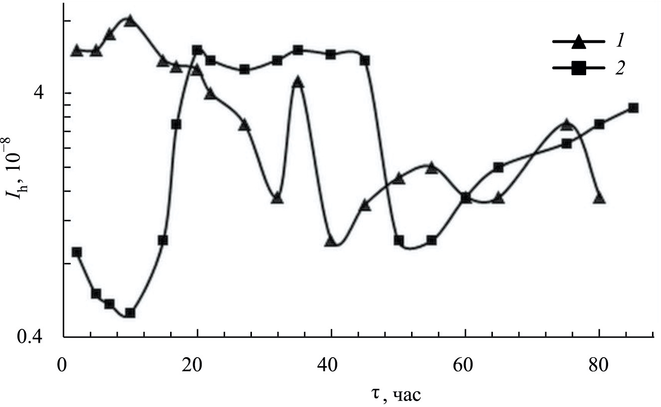
Экспериментально обнаружено, что на поверхности трения в среде М9С + ДЭБЯК + 12-LioSt происходит периодическое появление и исчезновение (разрушение) оксидов со структурой шпинели – алюминатов меди CuAl2O4. При трении в смазочной среде с загустителем интенсивность линий, соответствующих этому оксиду на рентгенограммах, значительно выше, чем при трибоиспытаниях без загустителя. Это указывает на их относительно бóльшее массовое (объемное) содержание во втором случае, что может являться причиной более высокого уровня разрушения поверхности при работе трибоузла в такой трехкомпонентной смазке. Этот вывод подтверждается результатами временных зависимостей интенсивности изнашивания Ih (см. рис. 7), которые иллюстрируют колебательный характер процесса изнашивания в обоих средах, с характерными максимумами и минимумами величины Ih. При этом амплитуда и период колебаний величины Ih при испытаниях в смазке с загустителем оказываются существенно большими.
Рис. 7. Зависимость интенсивности изнашивания Ih бронзы БрА5 от времени испытания τ при трении в смеси М9С + ДЭБЯК – 1; в смеси М9С + ДЭБЯК + 12-LioSt – 2.
Таким образом, использование критериальных подходов, отражающих разные масштабно-иерархические уровни работы трибосистемы: макроскопический интегральный критерий – интенсивность изнашивания, в сочетании с микроскопическими структурными критериями – физическим уширением рентгеновских линий (определяющим размеры микроблоков и уровень микронапряжений в деформированном металле), а также периодом кристаллической решетки (определяющим уровень макронапряжений в металлическом материале и его элементный состав) позволяет дать достаточно полную информативную оценку антифрикционной эффективности испытываемых смазочных сред, таких как М9С + 12-LioSt, ПЭТ С5–С9 + 12-LioSt, ДЭБЯК + 12-LioSt, М9С + ДЕБЯК + 12-LioSt. Основные характеристики испытанных в указанных смазочных средах пары трения бронза БрА5 – сталь 45 приведены в табл. 4 в сравнении с чистой смазочно-дисперсионной средой.
Проведенные исследования показали, что особенности влияния загустителя 12-LioSt, входящего в состав с дисперсионными средами М9С, ПЭТ С5–С9, ДЭБЯК и смесь М9С + ДЭБЯК, на процессы контактного взаимодействия металлических пар трения и их работоспособность в условиях реверсивного трения скольжения взаимосвязаны с физическими и химическими свойствами базовых сред. Литиевое мыло 12-оксистеариновой кислоты не только формирует структурный каркас пластичного смазочного материала, но и активно влияет на физико-химические процессы в зоне деформации трибометалла, изменяя структуру и свойства его поверхностного слоя и тем самым сопротивление изнашиванию трибопары в целом.
В настоящее время литиевое мыло 12-оксистеариновой кислоты считается одним из простейших и популярных загустителей. Оно придает пластичному смазочному материалу не только вязкость и термостойкость, но и изменяет температурные характеристики процесса трения. Эффективность смазочных материалов разного состава в практике триботехнических испытаний принято традиционно определять следующими макроскопическими трибологическими критериями: коэффициентом трения в условиях граничного и полужидкостного трения; износом сопряженных деталей; критической температурой разрушения смазочного слоя; нагрузкой, при которой на поверхностях трения появляются “задиры”; нагрузкой “сваривания”; отношением предельного значения контактного давления к диаметру пятна износа и др. Однако эти критерии лишь скрыто отражают влияние многих факторов процесса трения в суммарном виде и не позволяют дифференцированно оценивать степень влияния отдельных составляющих смазочной композиции на процесс трибодеформации и разрушения поверхностного слоя антифрикционного материала. Представленные в табл. 4 данные показывают, что перечисленные выше общепринятые критерии оценки эффективности смазочных сред не раскрывают природу и механизмы физико-химического действия поверхностно- активных составляющих среды на формирование свойств поверхностного слоя, формирующего продукты износа. Поэтому их использование не позволяет анализировать, формулировать и корректно выбирать направления совершенствования состава смазочного материала, а также обосновывать выбор конкретной смазочной системы для применяемых на практике пар трения.
Таблица 4. Особенности влияния загустителя 12-LioSt на характеристики трения пары бронза БрА5 – сталь 45 в различных дисперсионных средах
Состав смазочной среды | Структура и фазовый состав поверхностного слоя бронзы после трения | Эффекты физико-химического влияния среды | Вид и интенсивность изнашивания бронзы, Ih |
М9С + 12-LioSt | α-тв. раствор Cu–Al; положительный градиент периода решетки; понижение плотности дислокаций; концентрационные неоднородности по глубине модифицированного слоя; оксиды Cu2O | Упрочняющий эффект за счет влияния дисперсионной среды М9С и пластифицирующий эффект под влиянием дисперсной фазы 12-LioSt, окисление поверхности | Установившийся износ, Ih ≈ 4.5 × 10–8 |
ДЭБЯК + 12-LioSt | Два вторичных α-тв. раствора Cu–Al, один из которых (фаза α4) обогащен медью и имеет положительный градиент механических свойств; фаза α4 выделяется в подслое h ≤ 10 мкм; фаза α3 визуализируется лишь в слое глубиной h ≥ 2 мкм; оксиды CuAl2O4 | Расслоение исходного α-тв. раствора Cu-Al; в обогащенной медью фазе α4 реализуется упрочняющий эффект, в фазе α3 пластифицирующий эффект; повышение износостойкости бронзы; окисление поверхности | Установившийся износ, Ih ≈ 3.0 × 10–8 |
М9С + ДЭБЯК + + 12-LioSt | Два вторичных α-тв. раствора Cu–Al, один из которых (α4) обогащен медью; снижение массовой доли-фазы α4 по глубине слоя; оксиды CuAl2O4 | Расслоение исходного α-тв. раствора Cu–Al; в обогащенной медью фазе (α4) реализуется упрочняющий эффект, в фазе α3 – пластифицирующий эффект; загуститель снижает уровень упрочняющего эффекта; окисление поверхности | Осциллирующий процесс изнашивания во времени, Ih min = 2.5 × 10–9, Ih max = 3.0 × 10–8 |
ПЭТ С5–С9 + 12-LioSt | α-тв. раствор Cu–Al; положительный градиент периода решетки; концентрационные неоднородности по глубине модифицированного слоя; снижение плотности дислокаций; пленки Cu2O, CuAl2O4 и оксидов CuxAlyO4 нестехиометрического состава | Снижение упрочняющего влияния среды, усиление макроскопического диффузионного потока атомов алюминия к поверхности контакта, интенсификация окисления поверхности трения | Уменьшение интенсивности износа до Ih min ≈ 2.1 × 10–10 и резкое ее возрастание при увеличении пути трения L > 15 км с образованием очагов схватывания |
ВЫВОДЫ
- Совокупность экспериментальных данных по интенсивности изнашивания в сопоставлении с характеристиками структурного состояния зоны деформации бронзы БрА5 в нагруженном скользящем сопряжении в паре со сталью 45 показала, что наиболее полную оценку антифрикционной эффективности испытываемых композиционных смазочных сред, таких как М9С + + 12-LioSt, ПЭТ С5–С9 + 12-LioSt, ДЭБЯК + + 12-LioSt, М9С + ДЕБЯК + 12-LioSt, можно получить, используя критериальные подходы, отражающие разные масштабно-иерархические уровни работы трибосистемы. Это макроскопический интегральный критерий – интенсивность изнашивания, и микроскопические структурные критерии – физическое уширение рентгеновских линий, которое определяет плотность дислокаций и уровень микронапряжений в деформированном металле, и период кристаллической решетки, определяющий уровень макронапряжений в металлическом материале и его элементный состав.
- При трении в смазочной композиции синтетического масла М9С + 12-LioSt структурные превращения характеризуются следующими особенностями: 1 – повышением плотности дислокаций за счет влияния дисперсионной среды, вызывающей при трибодеформации упрочняющий эффект; 2 – понижением плотности дислокаций под влиянием дисперсной фазы, создающей пластифицирующий эффект; 3 – реализацией макроскопического диффузионного потока алюминия к поверхности, который создает положительный градиент механических характеристик по глубине поверхностного слоя h ≤ 5 мкм и выявляет тенденцию к формированию износостойкого структурного состояния; 4 – окислением поверхности трения и образованием оксидов типа Cu2O. Уровень поверхностного разрушения при трении в данной смазочной среде определяется разными вкладами механо-физико-химических процессов, связанных с прямым воздействием активной смазочной среды.
- В условиях контактной деформации в смазочной композиции ПЭТ С5–С9 + 12-LiоSt в отличие от среды без загустителя в модифицированном слое бронзы происходит снижение упрочняющего влияния среды, усиление макроскопического диффузионного потока атомов алюминия к поверхности, интенсификация процесса окисления зоны контактного взаимодействия. Первые два эффекта выводят пару трения в режим повышенной антифрикционности, окислительные процессы нарушают этот режим.
- Смазочная среда ДЭБЯК + 12-LioSt в условиях контактной деформации вызывает концентрационное расслоение α-твердого раствора Cu–Al бронзы БрА5 и формирование в модифицированном слое двух кристаллографически изоструктурных (т.е. с одинаковыми решетками Браве) твердых растворов Cu–Al. При этом α3 – это фаза, сформировавшаяся на основе первичного α-твердого раствора Cu–Al, α4 – фаза, выделившаяся при трении, она имеет меньший период решетки а, и, следовательно, обогащена медью. Прямое физико-химическое воздействие среды на модифицированную приконтактную зону разное: в обогащенной медью фазе α4 реализуется упрочняющий эффект, в основной фазе α3 – пластифицирующий эффект. Превалирующий фактор упрочняющего действия среды является основной причиной, тормозящей процесс формирования структуры, которая бы в полной мере обеспечивала высокую износостойкость трибоматериала. Образование на его поверхности оксидов типа CuAl2O4 усиливает разрушение модифицированного слоя.
- Трибодеформация в смазочной среде М9С + ДЭБЯК + 12-LioSt также вызывает концентрационное расслоение поверхностного слоя бронзы и формирование двух изоструктурных α-твердых растворов разного состава. Однако по сравнению со средой М9С + ДЭБЯК загуститель ограничивает концентрационное расслоение сплава. Обогащенная медью фаза локализуется лишь в слое толщиной ≤3.5 мкм. Значения периода кристаллической решетки α1 и α3 фаз при трении в двух средах близки, т.е. загуститель в сочетании с такими дисперсионными средами не изменяет состав и уровень напряжений в обогащенной алюминием фазе. В основных структурных составляющих наблюдается как пластифицирующий эффект в α1 и α3 фазах, так и упрочняющий в α2 и α4 фазах с превалирующим влиянием последнего. Осциллирующий характер изнашивания бронзы связан с интенсивным процессом формирования и разрушения оксидов на поверхностях трения.
About the authors
Л. И. Куксенова
Институт физической химии и электрохимии им. А.Н. Фрумкина РАН (ИФХЭ); Институт машиноведения им. А.А. Благонравова РАН
Email: visavenko@rambler.ru
Russian Federation, Москва; Москва
В. И. Савенко
Институт физической химии и электрохимии им. А.Н. Фрумкина РАН (ИФХЭ)
Author for correspondence.
Email: visavenko@rambler.ru
Russian Federation, Москва
References
- Трибология. Состояние и перспективы: сборник научных трудов. Т. 2 / Под ред. С.М. Захарова и И.А. Буяновского Уфа: Уфимский государственный авиационный технический университет (УГАТУ), 2019. 504 с.
- Щукин Е.Д., Савенко В.И., Малкин А.И. Лекции по физико-химической механике. М.: NOBEL PRESS, 2015. 679 c.
- Савенко В.И. // Эффект безызносности и триботехнологии. 1994. № 3–4. С. 26–38.
- Поверхностная прочность металлов при трении / Под ред. Б.И. Костецкого. Киев: Техника, 1976. 292 с.
- Куксенова Л.И., Савенко В.И. // Вестник научно-технического развития. 2023. № 170. С. 22.
- Куксенова Л.И., Савенко В.И. // Машиностроение и инженерное образование. 2023. Т. 71. № 1–2. С. 27.
- Савенко В.И., Щукин Е.Д. // Трение и износ. 1987. Т. 8. № 4. С. 581.
- Гегузин Я.Е. // Успехи физических наук. 1986. Т. 149. № 1. С. 149.
- Вольфсон Е.Ф. // Известия высших учебных заведений. Черная металлургия. 2016. Т. 5. № 59. С. 357.
- Kuksenova L.I., Savenko V.I. Russian Journal of Physical Chemistry A. 2024. V. 98, № 7, P. 1411.
- Кужаров А.С., Кужаров А.А. // Вестник Ростовского государственного университета путей сообщения (ВРГУПС). 2011. № 4. С. 43.
- Рыбакова Л.М., Куксенова Л.И. Структура и износостойкость металла. М.: Машиностроение, 1982. 212 с.
- Vegard L. // Zeitschrift für Physik. 1921. V. 5. P. 17.
- Перевалова О.Б., Коновалова Е.В., Конева Н.А. // Известия РАН. Серия физическая. 2019. Т. 83. № 6. С. 764.
- Suh N.P. // Wear. 1973. V. 25.№ 1. P. 111.
- Громаковский Д.Г. // Вестник машиностроения. 2000. № 1. С. 3.
- Диаграммы двойных металлических систем. Справочник / ред. Н.П. Лякишев М.: Машиностроение, 1996–2000.
Supplementary files









