The Role of Primary Acts of Ion Reduction and Oxygen Effects Using Various Methods of Gold Nanoparticle Formation, Including Self-Assembly
- Authors: Chernyshova K.F.1, Revina A.A.1
-
Affiliations:
- Frumkin Institute of Physical Chemistry and Electrochemistry, Russian Academy of Sciences
- Issue: Vol 59, No 5 (2023)
- Pages: 539-545
- Section: НАНОРАЗМЕРНЫЕ И НАНОСТРУКТУРИРОВАННЫЕ МАТЕРИАЛЫ И ПОКРЫТИЯ
- URL: https://journals.rcsi.science/0044-1856/article/view/139769
- DOI: https://doi.org/10.31857/S0044185623700675
- EDN: https://elibrary.ru/PPWZQP
- ID: 139769
Cite item
Full Text
Abstract
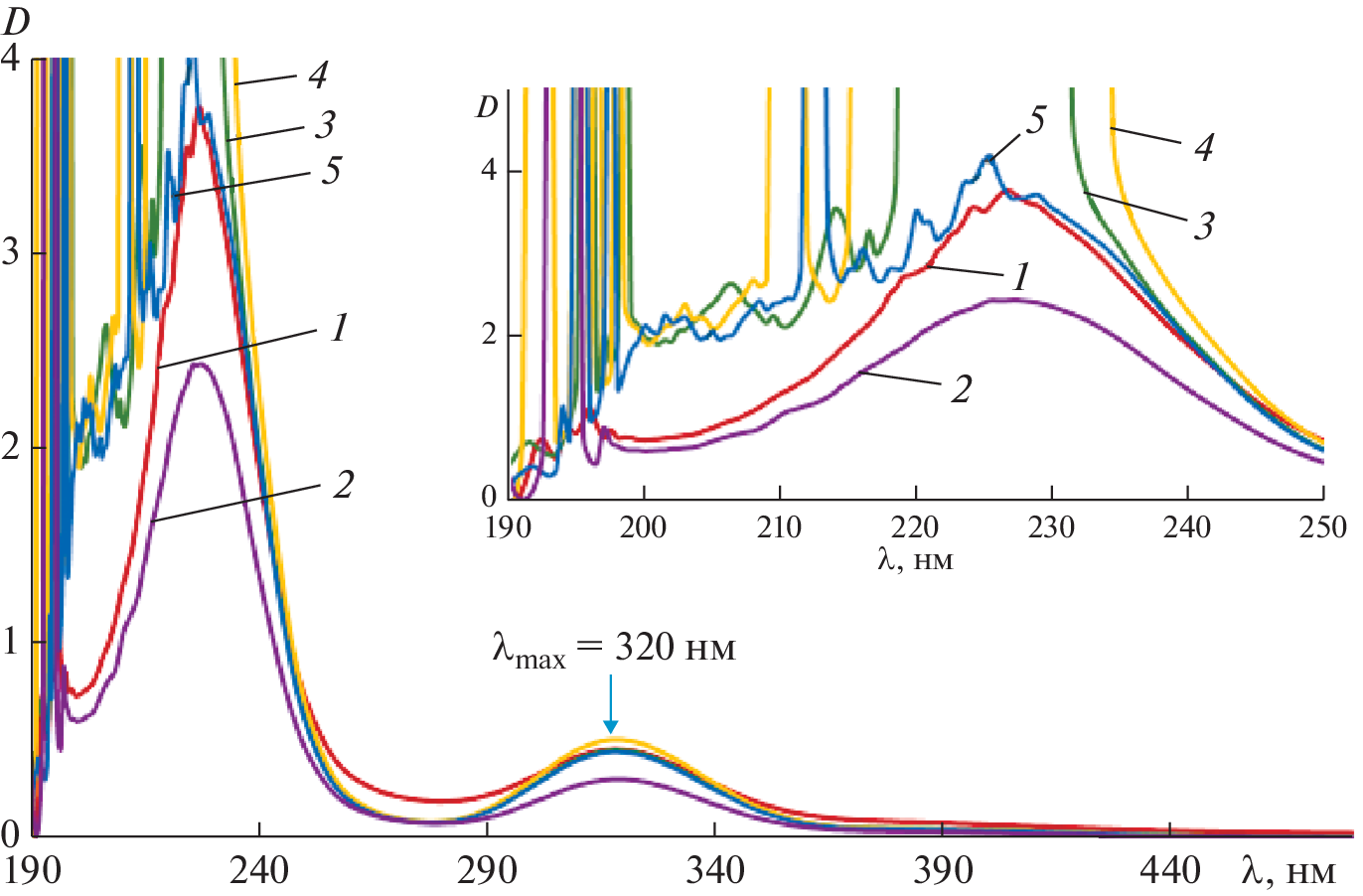
This work presents the results of a study of the physical-chemical properties of gold nanoparticles (NP) prepared in reverse micellar solutions (RMS) using various ion reduction methods, including self-assembly (SA). The spectra of the electron plasmon resonance of the Au NP in the visible region (λmax ~ 530 nm) and in the UV region of the spectrum (λmax ~ 200–220 nm) were recorded by UV–Vis spectrophotometry. In the present work, the kinetics of the primary stages of the formation of Au NPs in RMS using various synthesis methods, including SA, has been studied. Based on the results we obtained, an explanation has been provided for the effect of oxygen (aerobic conditions) on the primary stages of the formation of Au NPs using chemical (Chem) synthesis in the presence of the flavonoid quercetin, and radiation-chemical (RadChem) one based on interaction with intermediate particles of water radiolysis. The formation of Au NPs with optical absorption bands in the UV region and the visible region of the spectrum has been corroborated by the results of electron microscopy.
About the authors
K. F. Chernyshova
Frumkin Institute of Physical Chemistry and Electrochemistry, Russian Academy of Sciences
Email: karish@list.ru
119991, Moscow, Russia
A. A. Revina
Frumkin Institute of Physical Chemistry and Electrochemistry, Russian Academy of Sciences
Author for correspondence.
Email: Alex_revina@mail.ru
119991, Moscow, Russia
References
- Комаров П.В., Жеренкова Л.В., Халатур П.Г., Хохлов А.Р. // Российские нанотехнологии 2007. Т. 2. № 7–8. С. 92–98.
- Одинцов А.А., Сергеев М.О., Ревина А.А., Боева О.А. Адсорбционные свойства и каталитическая активность наночастиц золота, полученных в обратных мицеллах // Успехи в химии и химической технологии: Изд-во (М.) 2013. Т. 27. № 6. С. 75–79.
- Антонов А.Ю., Боева О.А., Ревина А.А., Нуртдинолва К.Ф. и др. // Перспективные материалы. Специальный выпуск. 2011. № 10. С. 268.
- Чернышова К.Ф., Ревина А.А. Селективность, динамика адсорбции наночастиц золота и серебра // Всероссийский симпозиум с международным участием “Актуальные физико-химические проблемы адсорбции и синтеза нанопористых материалов”, Сборник трудов. 2022. С. 102–104.
- Патрушева Т.Н., Шелованова Г.Н., Снежко Н.Ю., Полюшкевич А.В., Холькин А.И. // Альтернативная энергетика и экология. 2011. № 3. С. 35–40.
- Ревина А.А., Патент РФ № 2322327. Препарат наноструктурных частиц металлов и способ его получения. Бюл. № 11. 20.04.2008. (RadChem). Приоритет 19.01.2006 г.
- Ревина А.А., Патент РФ № 2312741. Препарат наноразмерных частиц металлов и способ его получения. (Chem). Приоритет 07.04.2006 г. Бюл. № 35. 20.12.2007.
- Revina A.A. // Physics of Wave Phenomena. 2020. T. 28. № 2. C. 176–181.
- Pileni M. // J. Phys. Chem. 1993. V. 97. P. 6961.
- Ranabhat K., Chernyshova K.F., Revina A.A., Lapshinsky V., Patrikeev L.N. // Nanomaterials. 2020. T. 10. C. 1–8.
- Алехова Т.А., Новожилова Т.Ю., Загустина Н.А., Ревина А.А., Бусев С.А. Разработка средств купирования микробиологического поражения конструкционных материалов в космических аппаратах в рамках космического эксперимента “Биополимер”. Тезисы, Пущино, 2018.
- Никоненко Б.В., Майоров К.Б., Ревина А.А., Захаров А.В., Эргешов А.Э. // Вестник ЦНИИТ. 2019. № 4. С. 46–80.
- Танасюк Д.А., Ревина А.А., Ермаков В.И. Влияние гамма-облучения и присутствия кислорода воздуха на состояние пула обратной мицеллы // Успехи в химии и хим. технологии: Сб. науч. тр. РХТУ им. Д.И. Менделеева. 2014. Т. XXVIII. Вып. 6. С. 107–110.
- Чернышова К.Ф., Ревина А.А. // Химическая физика. 2019. Т. 38. № 5. С. 1–6.
- Revina A.A., Chernyshova K.F., Tabachkova N.Yu, Parkhomenko Yu.N. // Russian Chemical Bulletin. 2019. T. 68. № 6. C. 1164–1170. https://doi.org/10.1007/s11172-019-2534-z
- Чернышова К.Ф., Ревина А.А. // Наукоемкие технологии. 2017. Т. 18. № 1. С. 45–50.
- Fu-Ken Liu, Yu-Cheng Chang, Fu-Hsiang Ko, Tieh-Chi Chu, Bau-Tong Dai // Microelectronic Engineering. 2003. V. 67–68. P. 702–709.
- Kimling J., Maier M., Okenve B., Kotaidis V., Ballot H., Plech A. // J. Phys. Chem. B. 2006. V. 110. P. 15700–15707.
- Jun Liu, Changhao Liang, Shuyuan Zhang and Guosheng Shao // Scientific Reports. 2013. V. 3. P. 1741. https://doi.org/10.1038/srep01741
- Ермаков В.И., Ревина А.А. Обратномицеллярные системы: Электромагнитные свойства и структура / Монография, Нижний Новгород: НИУ РАН ХиГС. 2017. С. 200 ISBN 978-5-00036-165-8
- Ревина А.А., Суворова О.В., Павлов Ю.С., Тытик Д.Л. // Физикохимия поверхности и защита материалов. 2019. Т. 55. № 4. С. 1–7.
- Ревина А.А., Суворова О.В., Смирнов Ю.В., Павлов Ю.С. // Физикохимия поверхности и защита материалов. 2022. Т. 58. № 3. С. 306–322.
Supplementary files









