Low-Temperature N2 and He Separation on a HKUST-1 Membrane
- Авторлар: Grenev I.V.1,2, Gavrilov V.Y.2
-
Мекемелер:
- Novosibirsk State University
- Boreskov Institute of Catalysis
- Шығарылым: Том 59, № 5 (2023)
- Беттер: 485-490
- Бөлім: ФИЗИКО-ХИМИЧЕСКИЕ ПРОЦЕССЫ НА МЕЖФАЗНЫХ ГРАНИЦАХ
- URL: https://journals.rcsi.science/0044-1856/article/view/139762
- DOI: https://doi.org/10.31857/S0044185623700584
- EDN: https://elibrary.ru/PRNJJZ
- ID: 139762
Дәйексөз келтіру
Толық мәтін
Аннотация
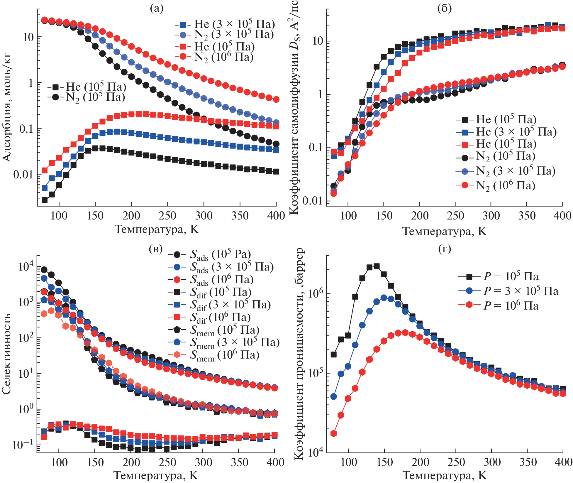
Technologies of membrane-based gas separation can be integrated into existing industrial processes for low-temperature helium recovery from natural gas at the stages of crude helium separation from the N2/He mixture and its purification. The effectiveness of these processes is most affected by the properties of the materials from which the membrane is made. Due to their unique properties, metal-organic framework are promising materials for use in gas separation. In the present work, both the Monte Carlo and equilibrium molecular dynamics methods were employed to examine the temperature dependence of membrane selectivity and nitrogen permeability for separation of an equimolar mixture of N2 and He by a HKUST-1-based membrane at a pressure drop of 0.1, 0.3, and 1 MPa. It was shown that the selection of optimal temperature conditions made it possible to obtain a significant increase in membrane selectivity and permeability for nitrogen compared to corresponding parameters at room temperature.
Авторлар туралы
I. Grenev
Novosibirsk State University; Boreskov Institute of Catalysis
Email: greneviv@catalysis.ru
630090, Novosibirsk, Russia; 630090, Novosibirsk, Russia
V. Gavrilov
Boreskov Institute of Catalysis
Хат алмасуға жауапты Автор.
Email: greneviv@catalysis.ru
630090, Novosibirsk, Russia
Әдебиет тізімі
- Rufford T.E. et al. // Adsorpt. Sci. Technol. 2014. V. 32. № 1. P. 49–72.
- Scholes C.A., Ghosh U. // J. Membr. Sci. 2016. V. 520. P. 221–230.
- Dai Z. et al. // Sep. Purif. Technol. 2021. V. 274. P. 119044.
- Scholes C.A. // Ind. Eng. Chem. Res. 2018. V. 57. № 10. P. 3792–3799.
- Alders M., Winterhalder D., Wessling M. // Sep. Purif. Technol. 2017. V. 189. P. 433–440.
- Moghadam P.Z. et al. // Chem. Mater. 2017. V. 29. № 7. P. 2618–2625.
- Chung Y.G. et al. // J. Chem. Eng. Data. 2019. V. 64. № 12. P. 5985–5998.
- Altintas C. et al. // ACS Appl. Mater. Interfaces. 2018. V. 10. № 20. P. 17257–17268.
- Altintas C. et al. // J. Mater. Chem. A. 2019. V. 7. № 16. P. 9593–9608.
- Solanki V.A., Borah B. // J. Phys. Chem. C. 2020. V. 124. № 8. P. 4582–4594.
- Zarabadi-Poor P., Marek R. // J. Phys. Chem. C. 2019. V. 123. № 6. P. 3469–3475.
- Daglar H., Keskin S. // Adv. Theory Simul. 2019. V. 2. № 11. P. 1900109.
- Budhathoki S. et al. // Energy Environ. Sci. 2019. V. 12. № 4. P. 1255–1264.
- Grenev I.V., Gavrilov V.Yu. // Molecules. 2022. V. 28. № 1. P. 20.
- Ye P. et al. // AIChE J. 2016. V. 62. № 8. P. 2833–2842.
- Yu L. et al. // J. Membr. Sci. 2022. V. 644. P. 120113.
- Chui S.S. // Science. 1999. V. 283. № 5405. P. 1148–1150.
- Cao F. et al. // Ind. Eng. Chem. Res. 2012. V. 51. № 34. P. 11274–11278.
- Lu C. et al. // Materials. 2018. V. 11. № 7. P. 1207.
- Guo Y. et al. // Chemistry Select. 2016. V. 1. № 1. P. 108–113.
- Mayo S.L., Olafson B.D., Goddard W.A. // J. Phys. Chem. 1990. V. 94. № 26. P. 8897–8909.
- Rappe A.K. et al. // J. Am. Chem. Soc. 1992. V. 114. № 25. P. 10024–10035.
- Potoff J.J., Siepmann J.I. // AIChE J. 2001. V. 47. № 7. P. 1676–1682.
- Hirschfelder J.O., Curtiss C.F., Bird R.B. Molecular theory of gases and liquids. New York: Wiley, 1954. 1219 p.
- Nazarian D., Camp J.S., Sholl D.S. // Chem. Mater. 2016. V. 28. № 3. P. 785–793.
- Nazarian D. et al. // Chem. Mater. 2017. V. 29. № 6. P. 2521–2528.
- Dubbeldam D. et al. // Mol. Simul. 2016. V. 42. № 2. P. 81–101.
- Krishna R., van Baten J.M. // J. Membr. Sci. 2010. V. 360. № 1–2. P. 323–333.
- Sava Gallis D.F. et al. // Chem. Mater. 2015. V. 27. № 6. P. 2018–2025.
- Chowdhury P. et al. // Microporous Mesoporous Mater. 2009. V. 117. № 1–2. P. 406–413.
- Span R. et al. // J. Phys. Chem. Ref. Data. 2000. V. 29. № 6. P. 1361–1433.
- Vaezi M.J. et al. // Current Trends and Future Developments on (Bio-) Membranes. Elsevier, 2019. P. 185–203.
- Handbook of Membrane Separations: Chemical, Pharmaceutical, Food, and Biotechnological Applications. 0 ed. / ed. Pabby A.K., Rizvi S.S.H., Requena A.M.S. CRC Press, 2008.
- Zito P.F. et al. // J. Membr. Sci. 2018. V. 564. P. 166–173.




