Adsorption of Methane Vapors on a Micro-Mesoporous Carbon Adsorbent During Long-Term Storage of Liquefied Natural Gas
- Authors: Grinchenko A.E.1, Men’shchikov I.E.1, Shkolin A.V.1, Fomkin A.A.1
-
Affiliations:
- Frumkin Institute of Physical Chemistry and Electrochemistry, Russian Academy of Sciences
- Issue: Vol 59, No 5 (2023)
- Pages: 463-471
- Section: ФИЗИКО-ХИМИЧЕСКИЕ ПРОЦЕССЫ НА МЕЖФАЗНЫХ ГРАНИЦАХ
- URL: https://journals.rcsi.science/0044-1856/article/view/139760
- DOI: https://doi.org/10.31857/S0044185623700560
- EDN: https://elibrary.ru/PSSPUH
- ID: 139760
Cite item
Full Text
Abstract
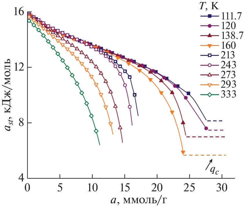
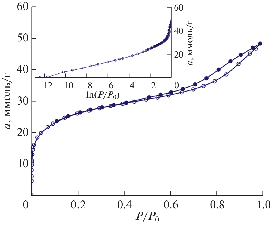
The study investigated the physicochemical and adsorption characteristics of a micro-mesoporous carbon adsorbent obtained from wood waste by a thermochemical method with respect to the processes of the accumulation of liquefied natural gas vapors in long-term storage systems. X-ray diffraction analysis of the adsorbent showed that, as a result of synthesis of the adsorbent, its structure was an amorphous carbon phase, without signs of graphite-like phases characteristic of coal obtained from other types of raw materials. In turn, the developed porous structure of the adsorbent is represented by both micro- and mesopores, with a wide size distribution: the total pore volume was about 1.7 cm3/g. The sorption characteristics of the adsorbent at temperatures of 111.7–160 K and pressures up to 0.6 MPa were calculated based on the linearity of experimental isotherms at T from 303 to 333 K and the contribution from adsorption on the surface of mesopores in the monolayer and the capillary condensation effect (CCE). Based on sorption data, it is shown that the presence of mesopores has a predominant effect on the adsorption accumulation efficiency due to the contribution of CCE, providing an active capacity of cryogenic sorption accumulators at a level of 450 m3(NTP)/m3.
About the authors
A. E. Grinchenko
Frumkin Institute of Physical Chemistry and Electrochemistry, Russian Academy of Sciences
Email: i.menshchikov@phyche.ac.ru
119071, Moscow, Russia
I. E. Men’shchikov
Frumkin Institute of Physical Chemistry and Electrochemistry, Russian Academy of Sciences
Email: i.menshchikov@phyche.ac.ru
119071, Moscow, Russia
A. V. Shkolin
Frumkin Institute of Physical Chemistry and Electrochemistry, Russian Academy of Sciences
Email: i.menshchikov@phyche.ac.ru
119071, Moscow, Russia
A. A. Fomkin
Frumkin Institute of Physical Chemistry and Electrochemistry, Russian Academy of Sciences
Author for correspondence.
Email: i.menshchikov@phyche.ac.ru
119071, Moscow, Russia
References
- Майорец М., Симонов К. Сжиженный газ – будущее мировой энергетики / М.: Альпина Паблишер, 2013 С. 360.
- Лавренченко Г.К. // Технические газы. 2006. № 5. С. 2.
- СП 240.1311500.2015. Хранилища сжиженного природного газа. Требования пожарной безопасности. М.: МЧС России. 2015. С. 29.
- Федорова Е.Б. Современное состояние и развитие мировой индустрии сжиженного природного газа: технологии и оборудование. М.: РГУ Нефти и газа имени И.М. Губкина, 2011. С. 159.
- Roszak E.A., Chorowski M. // Advances In Cryogenic Engineering. 2014. P. 1379–1386.
- Меньщиков И.Е., Фомкин А.А., Школин А.В., Стриженов Е.М., Зайцев Д.С., Твардовский А.В. // Физикохимия поверхности и защита материалов. 2017. Т. 53. № 5. С. 459–464.
- Фомкин А.А., Прибылов А.А., Меньщиков И.Е., Школин А.В. // Физикохимия поверхности и защита материалов. 2022. Т. 58. № 3. С. 239–246.
- Чугаев С.С., Фомкин А.А., Меньщиков И.Е., Стриженов Е.М., Школин А.В. // Физикохимия поверхности и защита материалов. 2020. № 5. С. 471–478.
- Меньщиков И.Е., Фомкин А.А., Романов Ю.А., Киселев М.Р., Пулин А.Л., Чугаев С.С., Школин А.В. // Физикохимия поверхности и защита материалов. 2020. Т. 56. № 5. С. 579–590.
- Меньщиков И.Е., Фомкин А.А., Школин А.В. // Физикохимия поверхности и защита материалов. 2021. Т. 57. № 5. С. 469–476.
- Соловцова О.В., Пулин А.Л., Меньщиков И.Е., Платонова Н.П., Князева М.К., Чугаев С.С., Школин А.В., Фомкин А.А. // Физикохимия поверхности и защита материалов. 2020. Т. 56. № 6. С. 570–578.
- Mahmoud E., Ali L., Sayah A., Alkhatib S., Abdulsalam H., Juma M., Al- Muhtaseb A. // Crystals. 2019. V. 9. P. 406.
- Соловцова О.В., Маевский А.В., Полонеева Д.Ю., Емелин А.В., Школин А.В., Меньщиков И.Е., Фомкин А.А., Князева М.К., Яковлев В.Ю., Пулин А.Л. // Физикохимия поверхности и защита материалов. 2021. Т. 57. № 4. С. 364–372.
- Князева М.К., Фомкин А.А., Школин А.В., Меньщиков И.Е., Гринченко А.Е., Соловцова О.В., Пулин А.Л. // Физикохимия поверхности и защита материалов. 2022. Т. 58. № 1. С. 8–15.
- Фомичев А.В., Меньщиков И.Е., Стриженов Е.М., Фомкин А.А., Гринченко А.Е., Школин А.В. // Физикохимия поверхности и защита материалов. 2022. Т. 58. № 6. С. 563–573.
- Machnikowski J., Kaczmarska H., Gerus-Piasecka I., Diez M.A., Alvarez R., Garcia R. // Carbon. 2002. V. 40. P. 1937–1947.
- Shkolin A.V., Men’shchikov I.E., Khozina E.V., Yakovlev V.Y., Simonov V.N., Fomkin A.A. // J. Chemical and Engineering Data. 2022. V. 67. № 7. P. 1699–1714.
- Фомкин А.А., Дубовик Б.А., Лимонов Н.В., Прибылов А.А., Пулин А.Л., Меньщиков И.Е., Школин А.В. // Физикохимия поверхности и защита материалов. 2021. Т. 57. № 1. С. 19–24.
- Bell I.H., Wronski J., Quoilin S., Lemor, V. // Ind. Eng. Chem. Res. 2014. V. 53. P. 2498–2508.
- Dubinin M.M. // Progress Surface Membrane Sci. 1975. V. 9. P. 1–70.
- Brunauer S., Emmet P.H., Teller E. // J. Am. Chem. Soc. 1938. Vol. 60. P. 309–319.
- Школин А.В., Фомкин А.А. // Измерительная техника. 2018. № 4. С. 56.
- Dubinin M.M., Plavnik G.M. // Carbon. 1968. V. 6. P. 183.
- Киселев А.В., Древинг В.П. Экспериментальные методы в адсорбции и молекулярной хроматографии / М.: Изд. Московского Университета. 1973. С. 448.
- Hill T.L. // Advances in catalysis and related sbjects. Eds. Frankerburg V. I. et al. New York.-Academic Press. 1952. V. 4. P. 211–258.
- Шеховцова Л.Г., Фомкин А.А. // Изв. АН СССР. Сер. Хим. 1992. № 1. С. 19–23.
- Fomkin A.A. // Adsorption. 2005. V. 11. № 3/4. P. 425–436.
- Thommes M., Kaneko K., Neimark A. V., Oliver J. P., Rodrigues-Reinoso F., Rouquerol J., Sing K. // Pure Appl. Chem. 2015. V. 87. P. 1051.
- Мухин В.М., Тарасов А.В., Клушин В.Н. Активные угли России. М.: Металлургия Москва. 2000. С. 352.
- Roszak E.A., Chorowski M. // Advances in Cryogenic Engineering. 2012. P. 1771–1778.
Supplementary files












