Sorption Properties of Freshly Precipitated Iron(III) Hydroxide toward Nickel Ions. Part 2. Structure and Composition of Iron(III) Hydroxide Precipitates
- Authors: Linnikov O.D.1, Tyutyunnik A.P.1, Goloborodskii B.Y.2, Germov A.Y.2, Kuznetsova Y.V.1, Baklanova I.V.1, Mikhalev K.N.2, Zakharova G.S.1, Rodina I.V.1, Fattakhova Z.A.1
-
Affiliations:
- Institute of Solid State Chemistry, Ural Branch, Russian Academy of Sciences, 620990, Yekaterinburg, Russia
- Mikheev Institute of Metal Physics, Ural Branch, Russian Academy of Sciences, 620108, Yekaterinburg, Russia
- Issue: Vol 59, No 1 (2023)
- Pages: 28-35
- Section: ФИЗИКО-ХИМИЧЕСКИЕ ПРОЦЕССЫ НА МЕЖФАЗНЫХ ГРАНИЦАХ
- URL: https://journals.rcsi.science/0044-1856/article/view/139700
- DOI: https://doi.org/10.31857/S0044185622060110
- EDN: https://elibrary.ru/BVRRSP
- ID: 139700
Cite item
Full Text
Abstract
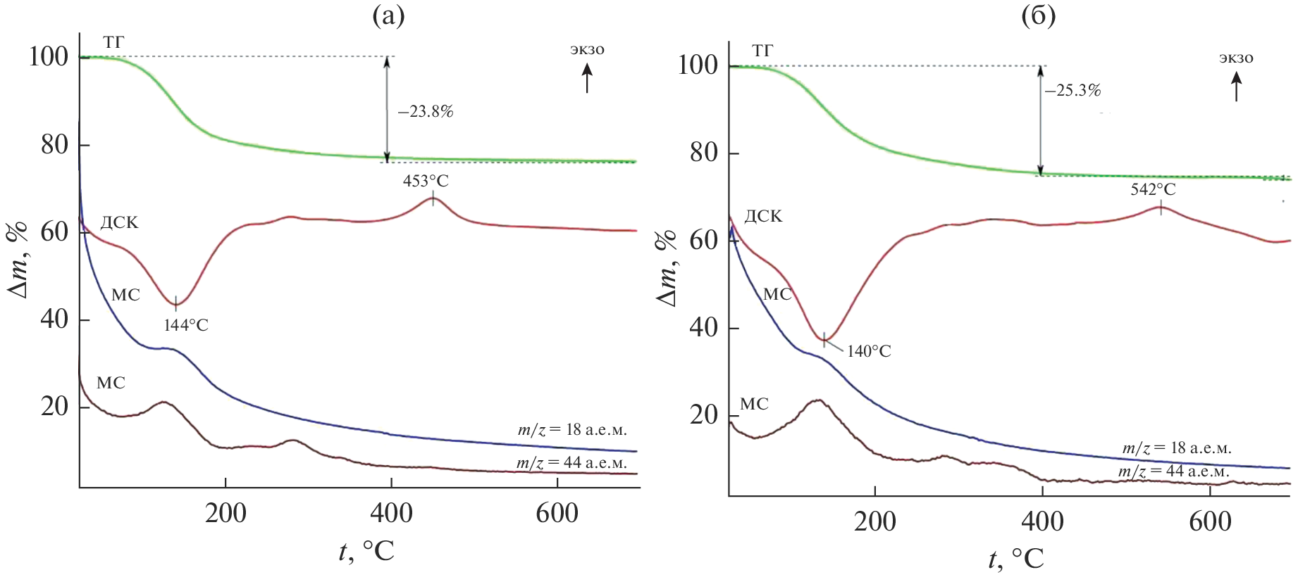
A comparative analysis of the composition and structure of freshly precipitated iron(III) hydroxide precipitates obtained from a sodium sulfate solution (400 mg/L) at pH 7 and 8 before and after the sorption of nickel ions on them was carried out. IR, Raman, and Mössbauer spectroscopy, as well as X-ray diffraction and thermal analyses, have shown that precipitates synthesized from a solution of iron(III) chloride are a two-line ferrihydrite with the gross formula Fe2O3⋅3H2O. It has been established that the sorption of nickel ions on these precipitates is not accompanied with chemisorption, i.e., the formation of mixed compounds between iron and nickel. Their doping with nickel ions also was not observed. It has been found that the ζ potential of ferrihydrite particles at pH < 5.4 has a positive value, whereas it becomes negative at pH > 5.4. The zero-charge point of the precipitate particles corresponds to pH 5.4.
About the authors
O. D. Linnikov
Institute of Solid State Chemistry, Ural Branch, Russian Academy of Sciences, 620990, Yekaterinburg, Russia
Email: linnikov@mail.ru
Россия, 620990, Екатеринбург, ул. Первомайская, 91
A. P. Tyutyunnik
Institute of Solid State Chemistry, Ural Branch, Russian Academy of Sciences, 620990, Yekaterinburg, Russia
Email: linnikov@mail.ru
Россия, 620990, Екатеринбург, ул. Первомайская, 91
B. Yu. Goloborodskii
Mikheev Institute of Metal Physics, Ural Branch, Russian Academy of Sciences, 620108, Yekaterinburg, Russia
Email: linnikov@mail.ru
Россия, 620108, Екатеринбург, ул. Софьи Ковалевской, 18
A. Yu. Germov
Mikheev Institute of Metal Physics, Ural Branch, Russian Academy of Sciences, 620108, Yekaterinburg, Russia
Email: linnikov@mail.ru
Россия, 620108, Екатеринбург, ул. Софьи Ковалевской, 18
Yu. V. Kuznetsova
Institute of Solid State Chemistry, Ural Branch, Russian Academy of Sciences, 620990, Yekaterinburg, Russia
Email: linnikov@mail.ru
Россия, 620990, Екатеринбург, ул. Первомайская, 91
I. V. Baklanova
Institute of Solid State Chemistry, Ural Branch, Russian Academy of Sciences, 620990, Yekaterinburg, Russia
Email: linnikov@mail.ru
Россия, 620990, Екатеринбург, ул. Первомайская, 91
K. N. Mikhalev
Mikheev Institute of Metal Physics, Ural Branch, Russian Academy of Sciences, 620108, Yekaterinburg, Russia
Email: linnikov@mail.ru
Россия, 620108, Екатеринбург, ул. Софьи Ковалевской, 18
G. S. Zakharova
Institute of Solid State Chemistry, Ural Branch, Russian Academy of Sciences, 620990, Yekaterinburg, Russia
Email: linnikov@mail.ru
Россия, 620990, Екатеринбург, ул. Первомайская, 91
I. V. Rodina
Institute of Solid State Chemistry, Ural Branch, Russian Academy of Sciences, 620990, Yekaterinburg, Russia
Email: linnikov@mail.ru
Россия, 620990, Екатеринбург, ул. Первомайская, 91
Z. A. Fattakhova
Institute of Solid State Chemistry, Ural Branch, Russian Academy of Sciences, 620990, Yekaterinburg, Russia
Author for correspondence.
Email: linnikov@mail.ru
Россия, 620990, Екатеринбург, ул. Первомайская, 91
References
- Бабенков Е.Д. Очистка воды коагулянтами. М.: Наука, 1977. 356 с.
- Егоров Ю.В. Статистика сорбции микрокомпонентов оксигидратами. М.: Атомиздат. 1975. 200 с.
- Печенюк С.И. // Успехи химии. 1992. Т. 61. В. 4. С. 711–733.
- Yang R., Tao J., Huang Q., Tie B., Lei M., Yang Y., Du H. // J. Soil and Sediments. 2019. V. 19. P. 1319–1327. https://doi.org/10.1007/s11368-018-2140-y
- Liu J., Zhu R., Ma L., Fu H., Lin X., Parker S.C., Molinari M. // Geoderma. 2021. V. 383. P. 114799. https://doi.org/10.1016/j.geoderma.2020.114799
- Мелихов И.В., Комаров В.Ф., Назирмадов Б. // Журн. физической химии. 1986. Т. 60. № 7. С. 1653–1657.
- Чалый В.П. Гидроокиси металлов. Киев: Наукова думка, 1972. 158 с.
- Клещев Д.Г., Шейкман А.И., Плетнев Р.Н. Влияние среды на фазовые и химические превращения в дисперсных системах. Свердловск. УрО АН СССР. 1990. 246 с.
- Jambor J.L., Dutrizac J.E. // Chem. Rev. 1998. V. 98. № 7. P. 2549–2585.
- Печенюк С.И., Рогачев Д.Л., Касиков А.Г., Попова Р.А., Залкинд О.А., Кузьмич Л.Ф. // Журн. неорганической химии. 1985. Т. 30. № 2. С. 311–316.
- Cornell R.M., Giovanoli R., Schneider W. // J. Chem. Technol. Biotechnol. 1989. V. 46. № 2. P. 115–134.
- Чухров Ф.В., Звягин Б.Б., Горшков А.И., Пермилова Л.П., Балашова В.В. // Известия Академии наук СССР. Серия геологическая. 1973. № 4. С. 23–33.
- Masina C.J., Neethling J.H., Oliver E.J., Ferg E., Manzini S., Lodya L., Mohlala P., Ngobeni M.W. // Thermochimica Acta. 2015. V. 599. P. 73–83. https://doi.org/10.1016/j.tca.2014.11.018
- Drits V.A., Sakharov B.A., Salyn A.L., Manceau A. // Clay Miner. 1993. V. 28. P. 185–207.
- Линников О.Д., Родина И.В. // Физикохимия поверхности и защита материалов. 2022. Т.58. N 6. С. 574–582.
- Линников О.Д. // Физикохимия поверхности и защита материалов. 2021. Т. 57. № 2. С. 115–140. https://doi.org/10.31857/S0044185621020078
- Столяр С.В., Ярославцев Р.Н., Исхаков Р.С., Баюков О.А., Балаев Д.А., Дубровский А.А., Красиков А.А., Ладыгина В.П., Воротынов А.М., Волочаев М.Н. // Физика твердого тела. 2017. Т. 59. В. 3. С. 538–545.
- Hanesch M. // Geophysical Journal International. 2009. V. 177. P. 941–948. https://doi.org/10.1111/j.1365-246X.2009.04122.x
- de Faria D.L., Venâncio Silva S., and de Oliveira M.T. // Journal of raman spectroscopy. 1997. V. 28. P. 873–878.
- Villalobos M., Antelo J. // Re. Int. Contam. Ambie. 2011. V. 27. № 2. P. 139–151.
Supplementary files









