Adsorption of Highly Soluble Organic Compounds on Diatomite
- Authors: Ubaskina Y.A.1, Alyokhina M.B.2
-
Affiliations:
- Institute of Chemical Reagents and Highly Pure Chemical Substances of National Research Centre “Kurchatov Institute”, 107076, Moscow, Russia
- Mendeleev Russian University of Chemical Technology, 125047, Moscow, Russia
- Issue: Vol 59, No 2 (2023)
- Pages: 122-127
- Section: ФИЗИКО-ХИМИЧЕСКИЕ ПРОЦЕССЫ НА МЕЖФАЗНЫХ ГРАНИЦАХ
- URL: https://journals.rcsi.science/0044-1856/article/view/134337
- DOI: https://doi.org/10.31857/S0044185623700134
- EDN: https://elibrary.ru/SYGYCE
- ID: 134337
Cite item
Full Text
Abstract
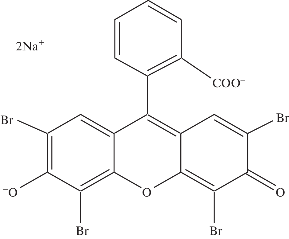
The adsorption-structural characteristics of diatomite and the surface charge density of diatomite were studied in the solution pH range of 1–14. It was found that the sign of the diatomite surface charge changes from positive (in the pH range of 1–5.5) to negative (in the pH range of 5.5–14) at pHPZC 5.5. The adsorption of an anionic organic compound, eosin H, which is readily soluble in water, on diatomite has been studied. It was found that, with an increase in the pH of the solution and with a decrease in the surface charge density of diatomite, the adsorption of eosin H on diatomite decreases. A probable mechanism for the adsorption of anionic organic compounds on diatomite is proposed.
About the authors
Yu. A. Ubaskina
Institute of Chemical Reagents and Highly Pure Chemical Substances of National Research Centre “Kurchatov Institute”, 107076, Moscow, Russia
Email: baseou@yandex.ru
Россия, 107076, Москва, Богородский Вал, 3
M. B. Alyokhina
Mendeleev Russian University of Chemical Technology, 125047, Moscow, Russia
Author for correspondence.
Email: mbalekhina@yandex.ru
Россия, 125047, Москва, Миусская пл., 9
References
- Кремнистые породы СССР / Отв. ред. Дистанов У.Г. Казань: Татарское кн. изд-во, 1976. 412 с.
- Шустина В.П. // Нефтяное хозяйство. 1937. № 1. С. 67–69.
- Грязев И.Н., Карякин В.Я. // Труды Саратовского автомобильно-дорожного института. 1957. № 15. С. 18–25.
- Ткаченко Т.В. О возможности применения природных сорбентов Дальнего Востока в масложировой промышленности. В сб. Природные сорбенты: [Материалы Сессии] / АН СССР. Науч. совет по синтезу, изучению и применению адсорбентов; [Отв. ред. проф. д-р хим. наук Быков В.Т.]. М.: Наука, 1967. С. 196–202.
- Дистанов У.Г. Сырьевая база кремнистых пород СССР и их использование в народном хозяйстве / Под редакцией Петрова В.П. М.: Недра, 1976. 104 с.
- Романова О.А., Бузаева М.В., Климов Е.С. // Успехи современного естествознания. 2009. №. 3. С. 52–52.
- Патент Молдовы № 3973. Datsko T., Zelentsov V., Dvornıkova E. Process for obtaining a sorbent on base of diatomite for purification from fluorine ions. Заявка: MD 20080000282, заявл. 24.11.2008. Опубл. 30.11.2009. 5 с.
- Дацко Т.Я., Зеленцов В.И., Дворникова Е.Е. // Электронная обработка материалов. 2011. Т. 47. № 6. С. 59–68.
- Стрыженок А.А. Совершенствование технологии адсорбционной рафинации растительных масел. Дис. … канд. техн. наук. Краснодар: КубГТУ, 2015. 144 с.
- Пономарев В.В. Технология адсорбентов для очистки растительных масел на основе диатомита и бентонита Ростовской области. Дис. … канд. техн. наук. Новочеркасск: ЮРГТУ (НПИ), 2010. 146 с.
- Baláž P., Gemeriova E. // Chemical Papers. 1980. V. 34. № 4. P. 473–479.
- Alyosef H.A., Ibrahim S., Welscher J. et al. // International J. Mineral Processing. 2014. V. 132. P. 17–25.
- Максатова А.М., Везенцев А.И., Михайлюкова М.О. и др. // Вестник современных исследований. 2017. № 7(1). С. 162–169.
- Бельчинская Л.И., Ходосова Н.А., Стрельникова О.Ю. и др. // Физикохимия поверхности и защита материалов. 2015. Т. 51. № 5. С. 487–487.
- Ходосова Н.А., Стрельникова О.Ю., Бельчинская Л.И. и др. // Научный вестник Воронежского государственного архитектурно-строительного университета. Серия: Физико-химические проблемы и высокие технологии строительного материаловедения. 2016. № 1. С. 34–41.
- Бельчинская Л.И., Бондаренко А.В., Козлов К.А. // Экология и промышленность России. 2007. № 03. С. 10–11.
- Пугачева С.В. Адсорбенты на основе диатомита и бентонита Ростовской области для регенерации нефтяных масел. Автореф. дис. … канд. техн. наук. Новочеркасск: ЮРГТУ (НПИ), 2002. 15 с.
- Природные сорбенты СССР / Под ред. Дистанова У.Г. М.: Недра, 1990. 208 с.
- Мдивнишвили О.М. Кристаллохимические основы регулирования свойств природных сорбентов. Тбилиси: Кавказский институт минерального сырья им. А.А. Твалчрелидзе, 1983. 268 с.
- Al-Ghouti M.A., Khraisheh M.A.M., Allen S.J. et al. // J. Environmental Management. 2003. V. 69. № 3. P. 229–238.
- Khraisheh M.A.M., Al-Ghouti M.A., Allen S.J. et al. // Water environment research. 2004. V. 76. № 7. P. 2655–2663.
- Erdem E., Çölgeçen G., Donat R. // J. Colloid and Interface Science. 2005. V. 282. № 2. P. 314–319.
- Al-Ghouti M., Khraisheh M.A.M., Ahmad M.N.M. et al. // J. Colloid and Interface Science. 2005. V. 287. № 1. P. 6–13.
- Shawabkeh R.A., Tutunji M.F. // Applied Clay Science. 2003. V. 24. № 1–2. P. 111–120.
- Al-Qodah Z., Lafi W.K., Al-Anber Z. et al. // Desalination. 2007. V. 217. №. 1–3. P. 212–224.
- Al-Ghouti M.A., Khraisheh M.A., Ahmad M.N. et al. // J. hazardous materials. 2009. V. 165. № 1–3. P. 589–598.
- Zhang J., Ping Q., Niu M. et al. // Applied Clay Science. 2013. V. 83. P. 12–16.
- Юрмазова Т.А., Шахова Н.Б., Хоанг Ч.Т. и др. // Известия Томского политехнического университета. Инжиниринг георесурсов. 2018. Т. 329. № 5. С. 125–134.
- Yu H., Fugetsu B.A. // J. Hazardous Materials. 2010. V. 177. № 1–3. P. 138–145.
- Меркушина К.В., Родионов А.И., Каменчук И.Н. и др. // Успехи в химии и химической технологии. 2008. Т. 22. № 13(93). С. 60–63.
- Balaska A., Meradi H., Hamouda A. et al. Study of the modification of the diatomite surface by chemical activation for a practical application // Conférence Internationale sur le Soudage, le CND et l’Industrie des Métaux, IC-WNDT-MI’10-Oran. 2010. P. 1–11.
- ГОСТ 30036.2-93. Каолин обогащенный. Метод определения показателя адсорбции. М.: Издательство стандартов, 1994. 7 с.
- Когановский А.М., Клименко Н.А., Левченко Т.М. и др. Адсорбция органических веществ из воды. Л.: Химия, 1990. 256 с.
- Убаськина Ю.А., Арсентьев И.В., Фетюхина Е.Г. Исследование минералогического состава диатомита для его безопасной добычи и применения в промышленности // Вестник Белгородского государственного технологического университета им. В.Г. Шухова. 2016. № 1. С. 128–132.
- Duc M., Gaboriaud F., Thomas F. Sensitivity of the acid–base properties of clays to the methods of preparation and Measurement: 1. Literature review // J. Colloid and interface science. 2005. V. 289. № 1. P. 139–147.
- Júnior J.A.A., Baldo J.B. // New J. Glass and Ceramics. 2014. V. 4. № 02. P. 29–37.
- Мчедлов-Петросян Н.О. // Вісник Харківського національного університету. 2004. № 626. Хімія. Вип. 11 (34). С. 221–312.
- Chatterjee S., Chatterjee S., Chatterjee B.P. et al. // J. colloid and interface science. 2005. V. 288. № 1. P. 30–35.
- Ugbe F.A., Ikudayisi V.A. // Waste Manag. 2017. V. 2. P. 5–11.
- Zhaolun W., Yuxiang Y., Xuping Q. et al. // Environmental Chemistry Letters. 2005. V. 3. № 1. P. 33–37.
- Badii K., Ardejani F.D., Saberi M.A. et al. Adsorption of Acid blue 25 dye on diatomite in aqueous solutions // Indian J.Chemical Technology. 2010. V. 17. P. 7–16.
Supplementary files






