Morphological variability of far eastern redfins of the genus pseudaspius (leuciscidae)
- Authors: Romanov N.S.1
-
Affiliations:
- Zhirmunsky National Scientific Center of Marine Biology, Far Eastern Branch, Russian Academy of Sciences
- Issue: Vol 64, No 6 (2024)
- Pages: 662-673
- Section: Articles
- URL: https://journals.rcsi.science/0042-8752/article/view/283455
- DOI: https://doi.org/10.31857/S0042875224060026
- EDN: https://elibrary.ru/QSLMJI
- ID: 283455
Cite item
Full Text
Abstract
The interspecific variability of the fluctuating asymmetry, mean values, and coefficients of variation of seven characters in Far Eastern redfins (Pacific redfin Pseudaspius brandtii (Dybowski, 1872), Sakhalin redfin P. sachalinensis (Nikolskii, 1889), big-scaled redfin P. hakonensis (Gunther, 1877), and its southern form) have been studied for the first time. The number of differences between them can significantly vary in different indicators. The lowest number of differences in all indicators is observed between big-scaled redfin and its southern form, significantly more differences are recorded between Pacific and Sakhalin redfins, and the largest number of differences between the latter and big-scaled redfin and its southern form. The southern form of big-scaled redfin differs from the Pacific redfin in smaller cases than big-scaled redfin, which may be determined by its origin through the hybridization of big-scaled redfin with Pacific redfin. The lowest sum of variances of fluctuating asymmetry and coefficients of variation is characteristic of Pacific redfin, which is obviously associated with more stable conditions of embryonic and early post-embryonic development in the former case and may indicate its relative morphological stability in the area in the latter case.
Full Text
Род Tribolodon, дальневосточные краснопёрки-угаи, Соваж описал в 1883 г. (Sauvage, 1883). По результатам генетических исследований последних лет дальневосточные краснопёрки включены в род Pseudaspius Dybowski, 1869 – амурские плоскоголовые жерехи (Dyldin et al., 2020; Sakai et al., 2020; Dyldin, Orlov, 2021; Fricke et al., 2024). Эти рыбы, эндемики Дальнего Востока, привлекают внимание исследователей в первую очередь тем, что являются единственной группой среди карпообразных рыб (Cypriniformes), способной длительное время обитать в воде с океанической солёностью. Дальневосточные краснопёрки заходят в реки на нерест весной и в начале лета, после этого скатываются в море, где далёких миграций не совершают. Осенью, в октябре–ноябре, краснопёрки перемещаются на зимовку в низовья крупных рек или в солоноватоводные озёра. Весной производители скатываются на короткое время в море, таким образом нерестовый ход наблюдается не с мест зимовки, а из моря. В изолированных озёрах могут образовывать жилые формы. Личинки краснопёрок после выхода из грунта скатываются из рек. Часть из них во время ската задерживается непродолжительное время на прогреваемых мелководьях у кос, где активно питается. До наступления половой зрелости краснопёрки в летние месяцы нагуливаются в прибрежных участках моря (Берг, 1949; Гриценко, 1982, 2002; Атлас …, 2003). В отличие от мелкочешуйной P. brandtii (Dybowski, 1872) и сахалинской P. sachalinensis (Nikolskii, 1889) крупночешуйная краснопёрка P. hakonensis (Günther, 1877) неоднородна как вид и состоит из двух форм – северной и южной. Эти формы были выделены на основе генетических данных (Семина и др., 2006; Семина, 2008; Брыков и др., 2011; Рязанова, Полякова, 2012) и подтверждены результатами морфологического анализа (Гудков и др., 2010). Актуальность исследования морфологической изменчивости не вызывает сомнений и представляет значительный интерес, так как позволяет оценить норму реакции того или иного вида, его адаптивные возможности. Масштабные исследования морфологической изменчивости реально демонстрируют диапазоны варьирования значений тех или иных признаков, а значит, позволяют внести изменения или дополнения в диагностические таблицы и таксономические описания видов.
Ранее были проведены исследования как межвидовой изменчивости сигов – Coregonus, Coregonidae (Канеп, 1976), гольцов – Salvelinus, Salmonidae (Романов и др., 2011; Павлов и др., 2013), дафний – Cladocera, Daphniidae (Зуйкова, Бочкарев, 2016), малоротых корюшек – Hypomesus, Osmeridae (Ву, Картавцев, 2017; Романов, 2023), так и межродовой Sebastes, Sebastolobus (Scorpaenidae), Hypomesus, Osmerus (Osmeridae) (Романов, 1999, 2023), Huso, Acipenser (Acipenseridae) (Крылова, Соколов, 1981; Романов, Скирин, 2011). В этих исследованиях чаще всего использовали средние значения признаков, реже коэффициент вариации. Последний служит надёжным показателем изменчивости (Яблоков, 1966, 1968; Яблоков, Этин, 1968; Тимофеев-Ресовский и др., 1973). Кроме этого используют флуктуирующую асимметрию, которая нашла применение как в популяционных, так и мониторинговых исследованиях (Суле, 1984; Захаров, 1987; Parsons, 1992; Биотест…, 1993; Romanov, 1995; Романов, 2001; Zakharov et al., 2020; Graham, 2021). Применение совокупности трёх этих показателей особенно важно при использовании небольшого числа признаков (Романов, 2013, 2017, 2022, 2023). Цель данной работы – проанализировать межвидовую изменчивость средних значений, показателей флуктуирующей асимметрии и коэффициентов вариации использованных признаков, выявить сходства и различия между видами и формами дальневосточных краснопёрок.
Материал и методика
Материалом послужили многолетние сборы краснопёрок из водоёмов Дальнего Востока (Романов, Ковалев, 2005; Романов, 2019, 2024). Объём материала представлен в табл. 1, места его сбора – на рис. 1. Исходя из молекулярно-генетических данных, которые указывают на существование генетической изоляции между формами крупночешуйной краснопёрки на протяжении многих поколений (Семина и др., 2006; Семина, 2008; Брыков и др., 2011; Рязанова, Полякова, 2012), северная и южная формы P. hakonensis рассмотрены отдельно. Северная форма согласно первоописанию обозначена как P. hakonensis, южная – как P. aff. hakonensis.
Рис. 1. Карта-схема района исследований и места сбора проб дальневосточных краснопёрок: 1 – Pseudaspius brandtii, 2 – P. hakonensis, 3 – P. aff. hakonensis, 4 – P. sachalinensis.
Таблица 1. Объём изученного материала, доля асимметричных и асимметричных по числу признаков особей, число морф и доля редких морф дальневосточных краснопёрок рода Pseudaspius
Параметр | Вид, форма | |||
P. brandtii | P. hakonensis | P. aff. hakonensis | P. sachalinensis | |
Число: | ||||
выборок | 7 | 6 | 5 | 5 |
рыб, экз. | 614 | 320 | 359 | 261 |
Асимметричные особи, % | 87.9 ± 1.3 | 93.0 ± 1.4 | 88.0 ± 1.9 | 95.4 ± 1.3 |
Асимметричные по числу признаков, %: | ||||
1 | 33.8 ± 1.9 | 34.2 ± 2.7 | 36.5 ± 2.8 | 25.3 ± 2.7 |
2 | 33.0 ± 1.9 | 36.5 ± 2.7 | 33.2 ± 2.7 | 28.5 ± 2.8 |
3 | 20.2 ± 1.7 | 23.2 ± 2.4 | 19.7 ± 2.3 | 28.9 ± 2.8 |
4 | 10.4 ± 1.3 | 4.4 ± 1.1 | 8.1 ± 1.6 | 14.9 ± 2.2 |
5 | 1.7 ± 0.5 | 1.7 ± 0.7 | 2.5 ± 0.9 | 2.0 ± 0.9 |
6 | 0.7 ± 0.3 | 0 | 0 | 0.4 ± 0.4 |
7 | 0.2 ± 0.02 | 0 | 0 | 0 |
Число морф | 4.422 ± 0.14 | 4.276 ± 0.10 | 4.279 ± 0.10 | 4.688 ± 0.15 |
Доля редких морф | 0.368 ± 0.02 | 0.145 ± 0.02 | 0.144 ± 0.02 | 0.219 ± 0.03 |
Для анализа использовали следующие билатеральные признаки: число ветвистых лучей в грудных (P) и брюшных (V) плавниках, число заглазничных (porb) и подглазничных (iorb) костей, число каналов (сейсмосенсорной системы) второго порядка на первой заглазничной (porb-1), слёзной (lacr) и предкрышечной (pop) костях. Эти признаки выбраны не случайно, так как они хорошо просчитываются и вероятность ошибки при этом очень мала в отличии, например, от такого признака, как число чешуй в боковой линии. Кроме того, и парные плавники, и сейсмосенсорная система закладываются и формируются довольно рано, в течение жизни число лучей в плавниках и число каналов и пор сейсмосенсорной системы не изменяются (Дислер, 1960; Неелов, 1979; Гриценко, 2002). Возможности применения сейсмосенсорной системы в систематике рыб показаны Нееловым (1979).
Выборки сравнивали по средним значениям признаков и коэффициенту вариации, который рассчитывали по формуле: СV = 100σ/M, где σ – среднее квадратическое отклонение, M – среднее арифметическое значение признака. Ошибку коэффициента вариации вычисляли по формуле:
Размах изменчивости того или иного показателя рассчитывали как разницу между минимумом и максимумом. Под размерностью того или иного признака понимали величину оценки признака, в данном случае это среднее арифметическое значение для всех использованных особей.
Флуктуирующую асимметрию оценивали по следующим показателям: 1) доля асимметричных рыб в выборке; 2) доля асимметричных особей по разному числу признаков от числа асимметричных рыб в выборке (число рыб асимметричных по одному признаку делится на число асимметричных рыб; число асимметричных по двум признакам рыб делится на число асимметричных рыб и так далее); 3) доля асимметричных особей по каждому из признаков от числа случаев асимметрии в выборке (число случаев асимметрии в выборке представляет собой сумму случаев асимметрии по всем признакам); 4) дисперсия флуктуирующей асимметрии, которую рассчитывали по формуле, предложенной Палмером и Штробеком (Palmer, Strobeck, 1986):
где Аi = (Ri − Li), Аi – асимметрия i-той особи, Ri – значение признака справа, Li – значение признака слева. В связи с ненормальным распределением значений признаков применён метод Шеффе–Бокса с нормализующим преобразованием Бокса–Кокса (Sokal, Rohlf, 1981; Palmer, Strobeck, 1986; Graham et al., 1993). Для данного преобразования использовали формулу: d′ = (│d│+ 0.00005)0.33, где d = Ri − Li. Таким образом, в основной формуле для расчисления дисперсии флуктуирующей асимметрии Ai заменяли на d′.
Данная формула дисперсии флуктуирующей асимметрии учитывает мерность признаков, что позволяет сравнивать уровень флуктуирующей асимметрии между признаками внутри выборки. Просуммировав дисперсии по всем признакам внутри каждой выборки, получаем интегральную оценку флуктуирующей асимметрии, по которой можно сравнить разные выборки между собой. При оценке доли асимметричных особей по разному числу признаков от числа асимметричных рыб в выборке использовали показатели популяционной изменчивости по полиморфным признакам (Животовский, 1982). Среднее число морф в популяции вычисляли по формуле: , где , p1, p2 … p – выборочные значения частот, m – число морф в популяции. Долю редких морф вычисляли по формуле: h = 1 − μ/m. Показатель сходства (r), который является мерой попарного сходства и может быть интерпретирован как частота общих морф в сравниваемых популяциях, вычисляли по формуле: где p1, p2 … pm – выборочные значения частот в первой, q1, q2 ... qm – во второй популяциях. Критерий идентичности популяций I, основанный на r, вычисляли по формуле:
где N1 и N2 – численность 1-й и 2-й выборок, p0 – сумма частот морф 1-й выборки, не представленных во 2-й выборке; аналогично q0 – сумма частот тех морф, которые отсутствуют в 1-й. Величина I распределена как χ2 c m − 1 степенями свободы при нулевой гипотезе о том, что обе выборки принадлежат одной генеральной совокупности. Достоверность различий средних значений и коэффициентов вариации признаков, различий по μ и h оценивали по величине t-критерия Стьюдента (Плохинский, 1970).
При сравнении долей их ошибки вычисляли по формуле:
где p – ошибка доли; Р – доля, %; n – число особей. Была применена статистическая программа Systat 5.0 (Wilkinson et al., 1992a, 1992b).
РЕЗУЛЬТАТЫ
Флуктуирующая асимметрия
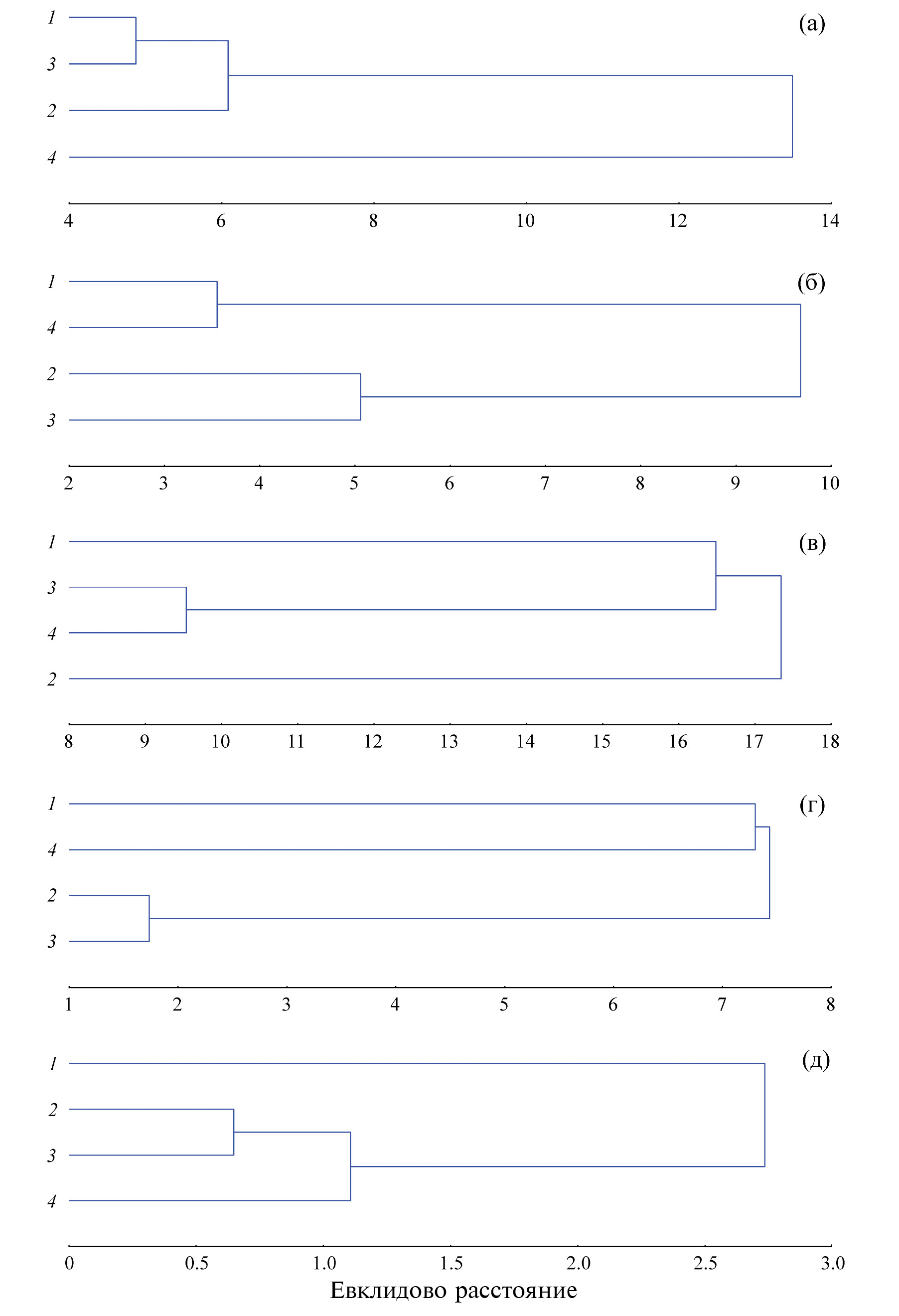
Наибольшая доля асимметричных особей отмечается у сахалинской краснопёрки, которая по этому показателю отличается от мелкочешуйной, крупночешуйной и P. aff. hakonensis. Наименьшая доля характерна для мелкочешуйной, которая отличается от крупночешуйной и которая в свою очередь отличается от P. aff. hakonensis. Минимальная доля особей, асимметричных по одному признаку, свойственна сахалинской краснопёрке, которая отличается от всех других. Кроме того, для сахалинской краснопёрки характерны минимальная доля рыб, асимметричных по двум, и максимальная – по трём и четырём признакам. В первом случае она отличается от крупночешуйной, во втором – от мелкочешуйной и P. aff. hakonensis, в третьем – от всех, а мелкочешуйная – от крупночешуйной. По доле особей, асимметричных по пяти признакам, различия недостоверны. Рыбы, асимметричные по шести признакам, выявлены только у сахалинской и мелкочешуйной краснопёрок, по семи – только у последней (табл. 1). Кластеризация краснопёрок по доле асимметричных по числу признаков показывает разбиение на два кластера. Один образуют крупночешуйная краснопёрка, P. aff. hakonensis и мелкочешуйная, второй – сахалинская (рис. 2а).
Рис. 2. Дендрограмма сходства дальневосточных краснопёрок рода Pseudaspius по: а, б – доле особей, асимметричных по: а – числу признаков, б – каждому отдельному признаку; в–д – соответственно дисперсии флуктуирующей асимметрии, коэффициентам вариации и средним значениям использованных признаков. Обозначения см. на рис. 1.
При рассмотрении доли рыб, асимметричных по числу признаков, отмечается наибольшее среднее число морф у сахалинской краснопёрки, этим она достоверно отличается от крупночешуйной и P. aff. hakonensis. Максимальная доля редких морф характерна для мелкочешуйной краснопёрки, минимальная – для крупночешуйной и P. aff. hakonensis. Мелкочешуйная и сахалинская краснопёрки достоверно различаются между собой и отличаются от крупночешуйной и P. aff. hakonensis, впрочем, как и по показателю сходства и критерию идентичности (табл. 1–3). Из 28 достоверных различий по доле асимметричных особей и асимметричных по числу признаков одно обнаруживается при сравнении крупночешуйной краснопёрки и P. aff. hakonensis, пять и два – соответственно при сравнении последних с мелкочешуйной, шесть – при её сравнении с сахалинской, которая в восьми и шести случаях отличается соответственно от крупночешуйной и P. aff. hakonensis.
Таблица 2. Попарное сравнение выборок дальневосточных краснопёрок рода Pseudaspius по среднему числу морф (над диагональю) и доле редких морф (под диагональю)
Вид, форма | 1 | 2 | 3 | 4 |
1 | 0.8 | 0.8 | 1.3 | |
2 | 7.9*** | 0.1 | 2.3* | |
3 | 7.9*** | 0 | 2.3* | |
4 | 4.1*** | 11.5*** | 18.1*** |
Примечание. Здесь и в табл. 3, 6, 9, 10: 1 – P. brandtii, 2 – P. hakonensis, 3 – P. aff. hakonensis, 4 – P. sachalinensis. Здесь и в табл. 3, 6, 9: различия достоверны при p: * <0.05, ** <0.01, *** <0.001.
Таблица 3. Попарное сравнение выборок дальневосточных краснопёрок рода Pseudaspius по показателю сходства (над диагональю) и критерию идентичности (под диагональю)
Вид, форма | 1 | 2 | 3 | 4 |
1 | 0.977 ± 0.007 | 0.972 ± 0.008 | 0.964 ± 0.009 | |
2 | 36.2*** | 1.000 | 0.989 ± 0.006 | |
3 | 43.4*** | 0 | 0.983 ± 0.007 | |
4 | 52.4*** | 11.5* | 18.1** |
По доле асимметричных особей по числу заглазничных и подглазничных костей от числа асимметричных случаев мелкочешуйная и сахалинская краснопёрка схожи и отличаются от крупночешуйной и P. aff. hakonensis по числу заглазничных костей. По числу подглазничных костей сахалинская отличается от крупночешуйной и P. aff. hakonensis. По этому показателю достоверных различий между краснопёрками намного меньше – шесть: крупночешуйная, как и P. aff. hakonensis, в одном случае отличается от мелкочешуйной краснопёрки и в двух от сахалинской. По остальным признакам краснопёрки по этому показателю не различаются, а кластеризация показывает разбиение на два кластера: один объединяет мелкочешуйную и сахалинскую краснопёрок, а второй – крупночешуйную и P. aff. hakonensis (табл. 4, рис. 2б).
Таблица 4. Флуктуирующая асимметрия у особей дальневосточных краснопёрок рода Pseudaspius
Вид, форма | Доля асимметричных рыб, % числа случаев асимметрии | ||||||
P | V | porb | iorb | porb-1 | lacr | pop | |
P. brandtii | 18.6 ± 1.6 | 7.0 ± 1.3 | 14.0 ± 1.4 | 1.4 ± 0.2 | 18.5 ± 1.6 | 18.5 ± 1.6 | 22.0 ± 1.7 |
P. hakonensis | 21.9 ± 2.3 | 8.3 ± 1.5 | 4.1 ± 1.1 | 3.2 ± 1.0 | 15.5 ± 2.0 | 22.3 ± 2.3 | 24.7 ± 2.4 |
P. aff. hakonensis | 21.7 ± 2.4 | 8.1 ± 1.6 | 6.1 ± 1.4 | 3.4 ± 1.0 | 17.9 ± 2.2 | 22.1 ± 2.4 | 20.7 ± 2.3 |
P. sachalinensis | 18.8 ± 2.4 | 7.2 ± 1.6 | 15.5 ± 2.2 | 1.0 ± 0.4 | 20.3 ± 2.5 | 16.0 ± 2.3 | 21.2 ± 2.5 |
Примечание. Здесь и в табл. 5–9: P и V – число ветвистых лучей в грудных и брюшных плавниках; porb, iorb – число заглазничных и подглазничных костей; porb-1, lacr, pop – число каналов (сейсмосенсорной системы) второго порядка соответственно на первой заглазничной, слёзной и предкрышечной костях.
По дисперсии флуктуирующей асимметрии по числу ветвистых лучей в грудных плавниках достоверные различия между видами и формами краснопёрок отсутствуют, а по числу лучей в брюшных плавниках для мелкочешуйной характерно наименьшее значение, что отличает её от крупночешуйной и сахалинской. По числу заглазничных костей крупночешуйная и P. aff. akonensis характеризуются наименьшей, а по числу подглазничных – наибольшей дисперсией, по которым они достоверно отличаются от мелкочешуйной и сахалинской краснопёрок. По числу каналов на первой заглазничной кости мелкочешуйная отличается от всех наименьшим значением, крупночешуйная отличается от P. aff. hakonensis, а сахалинская краснопёрка – от крупночешуйной. По числу каналов на слёзной кости минимальное значение дисперсии характерно для мелкочешуйной краснопёрки, которым она отличается от крупночешуйной и P. aff. hakonensis, а сахалинская отличается от крупночешуйной. По числу каналов на предкрышечной кости мелкочешуйная имеет минимальное значение дисперсии и этим отличается от всех остальных. Минимальная сумма дисперсий по всем признакам характерна для мелкочешуйной краснопёрки, что отличает её от всех, а крупночешуйная краснопёрка отличается от P. aff. hakonensis и сахалинской (табл. 5, 6). По данному показателю между видами и формами отмечается 27 различий – крупночешуйная и P. aff. hakonensis различаются в двух случаях: от мелкочешуйной они отличаются соответственно в семи и шести, а от сахалинской – в пяти и двух случаях. Между мелкочешуйной и сахалинской отмечается пять различий. Кластеризация по дисперсии флуктуирующей асимметрии всех признаков показывает разбиение на три кластера: один образуют P. aff. hakonensis и сахалинская краснопёрка, другой – мелкочешуйная. Обособленно располагается кластер крупночешуйной краснопёрки (рис. 2в).
Таблица 5. Дисперсия флуктуирующей асимметрии (×10−3) некоторых признаков у дальневосточных краснопёрок рода Pseudaspius
Вид, форма | P | V | porb | iorb | porb-1 | lacr | pop | Сумма |
P. brandtii | 0.744 | 1.526 | 14.285 | 4.612 | 11.175 | 9.579 | 2.463 | 44.38 |
P. hakonensis | 0.881 | 1.909 | 9.273 | 8.093 | 48.053 | 14.898 | 5.258 | 88.37 |
P. aff. hakonensis | 0.833 | 1.748 | 10.482 | 8.544 | 30.906 | 12.852 | 4.307 | 69.67 |
P. sachalinensis | 0.891 | 2.090 | 17.241 | 3.272 | 27.117 | 11.123 | 4.547 | 66.28 |
Таблица 6. Значимые различия между видами и формами дальневосточных краснопёрок рода Pseudaspius по дисперсии флуктуирующей асимметрии (над диагональю) и коэффициентам вариации признаков (под диагональю)
Вид, форма | 1 | 2 | 3 | 4 |
1 | V*, porb**, iorb***, porb-1***, lacr**, pop***, Σ*** | porb*, iorb***, porb-1***, lacr*, pop***, Σ** | V*, iorb**, porb-1***, pop***, Σ** | |
2 | P*, V***, porb***, iorb***, porb-1***, lacr*, pop***, Σ*** | porb-1**, Σ* | porb***, iorb ***, porb-1***, lacr*, Σ* | |
3 | V***, porb***, iorb ***, porb-1***, lacr*, pop***, Σ*** | P**, porb***, Σ* | porb**, iorb *** | |
4 | P*, V**, iorb***, porb-1***, pop*, Σ*** | V***, porb***, iorb***, pop***, Σ*** | P**, V***, porb***, iorb***, porb-1*, pop**, Σ*** |
Изменчивость признаков
По коэффициентам вариации по числу лучей в грудных плавниках мелкочешуйная краснопёрка достоверно отличается от крупночешуйной и сахалинской, а P. aff. hakonensis – от последней и крупночешуйной краснопёрки. По числу лучей в брюшных плавниках мелкочешуйная и сахалинская краснопёрки схожи, но отличаются как от крупночешуйной, так и от P. aff. hakonensis. По числу заглазничных костей мелкочешуйная и сахалинская краснопёрки отличаются от крупночешуйной и P. aff. hakonensis, которая отличается от крупночешуйной краснопёрки. По числу подглазничных костей, каналов на слёзной и предкрышечных костях мелкочешуйная и сахалинская краснопёрки отличаются от крупночешуйной и P. aff. hakonensis. По числу каналов на первой заглазничной кости мелкочешуйная отличается от всех, а сахалинская – от P. aff. hakonensis. По сумме коэффициентов вариации всех признаков можно отметить наименьшее значение этого показателя у мелкочешуйной краснопёрки, наибольшее – у P. aff. hakonensis, а сахалинская и крупночешуйная занимают промежуточное положение (табл. 6, 7). При сравнении по коэффициенту вариации между краснопёрками отмечается 36 различий: в наибольшей степени крупночешуйная и P. aff. hakonensis отличаются от мелкочешуйной – соответственно восемь и семь случаев – и от сахалинской – пять и семь случаев. Сахалинская в шести случаях отличается от мелкочешуйной. Крупночешуйная и P. aff. hakonensis различаются между собой в трёх случаях. Кластеризация по коэффициентам вариации всех признаков демонстрирует разделение на три кластера: один объединяет крупночешуйную краснопёрку и P. aff. hakonensis, а два других образуют мелкочешуйная и сахалинская (рис. 2г).
Таблица 7. Коэффициент вариации значений признаков у дальневосточных краснопёрок рода Pseudaspius
Вид, форма | P | V | porb | iorb | porb-1 | lacr | pop | Сумма |
P. brandtii | 4.61 ± 0.13 | 4.04 ± 0.12 | 14.78 ± 0.44 | 6.31 ± 0.18 | 15.60 ± 0.46 | 13.48 ± 0.40 | 10.00 ± 0.29 | 68.82 ± 0.29 |
P. hakonensis | 4.98 ± 0.14 | 5.40 ± 0.15 | 7.60 ± 0.21 | 8.30 ± 0.23 | 24.24 ± 0.72 | 14.95 ± 0.43 | 13.22 ± 0.38 | 78.69 ± 0.32 |
P. aff. hakonensis | 4.47 ± 0.13 | 5.79 ± 0.17 | 8.86 ± 0.26 | 8.49 ± 0.24 | 24.91 ± 0.75 | 14.67 ± 0.42 | 12.55 ± 0.36 | 79.74 ± 0.33 |
P. sachalinensis | 5.08 ± 0.16 | 4.61 ± 0.14 | 14.87 ± 0.47 | 5.30 ± 0.16 | 22.65 ± 0.74 | 14.36 ± 0.45 | 11.13 ± 0.35 | 78.00 ± 0.35 |
Средние значения признаков
Сравнение по средним значениям признаков показывает, что все виды краснопёрок и P. aff. hakonensis достоверно различаются по числу лучей в брюшных плавниках и за одним исключением по числу лучей в грудных – крупночешуйная не отличается от сахалинской. По числу заглазничных костей мелкочешуйная и сахалинская отличаются от крупночешуйной и P. aff. hakonensis, а по числу подглазничных костей сахалинская и мелкочешуйная отличаются от крупночешуйной. По числу каналов на первой заглазничной, слёзной и предкрышечной костях все виды и P. aff. hakonensis различаются между собой с высоким уровнем значимости. По средним значениям признаков можно отметить 36 различий между краснопёрками: крупночешуйная и P. aff. hakonensis отличаются от мелкочешуйной – соответственно семь и шесть отличий – и от сахалинской – по шесть отличий, которая в шести случаях отличается от мелкочешуйной. Крупночешуйная и P. aff. hakonensis различаются между собой в пяти случаях (табл. 8, 9). Кластеризация по средним значениям признаков показывает разбиение на два кластера: в один входят крупночешуйная, P. aff. hakonensis и сахалинская краснопёрки, обособленно располагается кластер мелкочешуйной краснопёрки (рис. 2д).
Таблица 8. Значения признаков у дальневосточных краснопёрок рода Pseudaspius
Вид, форма | P | V | porb | iorb | porb-1 | lacr | pop |
P. brandtii | 16.56 ± 0.02 14–19 | 8.89 ± 0.01 7–11 | 3.41 ± 0.02 2–4 | 2.01 ± 0.01 1–3 | 4.40 ± 0.02 2–7 | 4.78 ± 0.02 3–7 | 9.68 ± 0.03 7–13 |
P. hakonensis | 16.08 ± 0.04 13–19 | 8.06 ± 0.02 6–10 | 3.00 ± 0.01 2–4 | 2.03 ± 0.01 2–3 | 2.26 ± 0.02 1–6 | 4.14 ± 0.03 2–6 | 6.70 ± 0.04 5–11 |
P. aff. hakonensis | 16.45 ± 0.03 15–18 | 8.22 ± 0.02 6–9 | 3.02 ± 0.01 2–4 | 2.02 ± 0.01 1–3 | 2.54 ± 0.03 1–6 | 4.39 ± 0.02 2–6 | 7.04 ± 0.04 7–11 |
P. sachalinensis | 16.14 ± 0.04 14–18 | 7.96 ± 0.02 7–9 | 3.58 ± 0.02 2–5 | 2.01 ± 0.01 2–3 | 3.29 ± 0.03 1–6 | 4.61 ± 0.03 3–7 | 7.41 ± 0.04 5–10 |
Примечание. Под чертой – пределы варьирования значений признака.
Таблица. 9. Значимые различия между видами и формами дальневосточных краснопёрок рода Pseudaspius по средним значениям признаков
Вид, форма | 2 | 3 | 4 |
1 | P***, V***, porb***, iorb*, porb-1***, lacr***, pop*** | P***, V***, porb***, porb-1***, lacr***, pop*** | P***, V***, porb***, porb-1***, lacr***, pop*** |
2 | P***, V***, porb-1***, lacr***, pop*** | V***, porb***, iorb*, porb-1**, lacr**, pop*** | |
3 | P***, V***, porb***, porb-1***, lacr***, pop*** |
Суммирование выше указанных чисел различий по всем показателям даёт следующие результаты: максимальное число различий отмечается при сравнении крупночешуйной краснопёрки с мелкочешуйной и сахалинской – соответственно 28 и 26. Значительно меньше – 22 и 23 – при сравнении P. aff. hakonensis соответственно с мелкочешуйной и сахалинской краснопёрками, которые различаются между собой в 23 случаях. Меньше всего различий (11) отмечается между крупночешуйной краснопёркой и P. aff. hakonensis (табл. 10). Факторный анализ методом главных компонент показал похожую картину (рис. 3).
Рис. 3. Распределение видов дальневосточных краснопёрок в пространстве первых двух главных компонент (ГК) по семи использованным признакам: (∆) – Pseudaspius brandtii, (■) – P. hakonensis, (•) – P. aff. hakonensis, (◊) – P. sachalinensis.
Таблица 10. Число различий между видами и формами дальневосточных краснопёрок рода Pseudaspius
Вид, форма | 2 | 3 | 4 | Число отличий от других видов и форм |
1 | 28 | 22 | 23 | 73 |
2 | 11 | 26 | 65 | |
3 | 23 | 56 | ||
4 | 72 | |||
Суммарное число различий | 133 | |||
Обсуждение
При анализе различий между краснопёрками обращает на себя внимание тот факт, что их число по разным показателям значительно различается. Наименьшее число различий отмечается по доле асимметричных особей по признакам от числа случаев асимметрии, при этом крупночешуйная краснопёрка и P. aff. hakonensis, а также мелкочешуйная и сахалинская между собой не различаются. Почти в три раза больше различий по доле асимметричных и асимметричных по числу признаков особей, а также по дисперсии флуктуирующей асимметрии. Наибольшее число различий между краснопёрками отмечается по коэффициентам вариации и средним значениям признаков. Применение этих показателей при исследовании как внутри-, так и межвидовой изменчивости показало хороший результат и может считаться перспективным в дальнейших исследованиях. По четырём показателям из пяти крупночешуйная и P. aff. hakonensis входят в один кластер, а по дисперсии флуктуирующей асимметрии P. aff. hakonensis объединяется с сахалинской, что можно объяснить небольшим числом различий между ними по этому показателю.
Наименьшее число различий по всем показателям характерно при сравнении крупночешуйной краснопёрки и P. aff. hakonensis, заметно больше – между мелкочешуйной и сахалинской, а наибольшее – при сравнении последних с крупночешуйной краснопёркой и P. aff. hakonensis. Такая картина совпадает с данными по митохондриальной ДНК: различия между крупночешуйной краснопёркой и двумя другими видами – мелкочешуйной и сахалинской – составляют 10.9%, а между мелкочешуйной и сахалинской – 8.5% (Брыков и др., 2013). P. aff. hakonensis отличается от мелкочешуйной в меньшем числе случаев, чем крупночешуйная, что может быть результатом её происхождения путём гибридизации крупночешуйной краснопёрки с мелкочешуйной (Семина и др., 2006; Семина, 2008). Картины взаимоотношений дальневосточных краснопёрок, полученные в настоящем исследовании методами одномерной статистики и методом главных компонент, довольно схожи. Похожая схема была получена при сравнении дальневосточных краснопёрок с использованием пластических признаков с применением канонического дискриминантного анализа (Золотова, Картавцев, 2022). Отличия заключаются в следующем: крупночешуйная краснопёрка (общая выборка северной и южной форм) оказалась ближе к мелкочешуйной, а не к сахалинской, как в настоящем исследовании. Значительный интерес в исследовании указанных авторов представляет также сравнение пяти выборок крупночешуйной краснопёрки, в результате которого они разделились на три группы: одна – из двух рек северо-востока Сахалина, другая – из двух рек Южного Сахалина и третья, далеко отстоящая от первых двух, из Приморья (P. aff. hakonensis по классификации, использованной в настоящем исследовании).
Наименьшая сумма дисперсий флуктуирующей асимметрии по всем признакам характерна для мелкочешуйной краснопёрки, очевидно, это связано с более высоким уровнем стабильности развития, обусловленным лучшей адаптированностью к местам размножения. Это может проявляться даже при сравнении нерестящихся в одной реке видов. Так, сумма дисперсий по всем признакам у сахалинской и крупночешуйной краснопёрок из р. Тумнин заметно больше, чем у мелкочешуйной из этой же реки (Романов, 2024). Наименьшая сумма коэффициентов вариации всех признаков может говорить об относительной морфологической стабильности мелкочешуйной краснопёрки в ареале, что может быть связано с наличием у неё единственной экологической формы – амфидромной. Остальные виды краснопёрок имеют по две экологических формы – амфидромную и жилую (Гриценко, 2002; Долганов, 2021).
Наибольший вклад в различия между дальневосточными краснопёрками внесли признаки сейсмосенсорной системы, это указывает на перспективность их использования в дальнейших исследованиях и на представителях других родов.
Благодарности
Приношу благодарность А.А. Баланову, М.Ю. Ковалеву, А.Д. Кухлевскому, И.Н. Моревой (ННЦМБ), В.А. Шевлякову (ТИНРО) и С.Н. Сафронову (СахГУ) за содействие в сборе материала.
About the authors
N. S. Romanov
Zhirmunsky National Scientific Center of Marine Biology, Far Eastern Branch, Russian Academy of Sciences
Author for correspondence.
Email: n_romanov@inbox.ru
Russian Federation, Vladivostok
References
- Атлас пресноводных рыб России. 2003. Т. 1. М.: Наука., 379 с.
- Берг Л.С. 1949. Рыбы пресных вод СССР и сопредельных стран. Ч. 2. М.; Л.: Изд-во АН СССР. С. 469–925.
- Биотест: интегральная оценка здоровья экосистем и отдельных видов. 1993. М.: Мос. отд. междунар. фонда “Биотест”, 68 с.
- Брыков Вл.А., Полякова Н.Е., Семина А.В. 2011. Филогеографический анализ выявляет два периода дивергенции у крупночешуйной красноперки Tribolodon hakonensis (Pisces, Cyprinidae) // Генетика. Т. 47. № 11. С. 1491–1500.
- Брыков Вл.А., Полякова Н.Е., Семина А.В. 2013. Сравнительный анализ изменчивости митохондриальной ДНК у четырех видов дальневосточных красноперок рода Tribolodon (Pisces, Cyprinidae) // Там же. Т. 49. № 3. С. 355–365.
- https://doi.org/10.7868/S0016675813030041
- Ву К.Т., Картавцев Ю.Ф. 2017. Морфометрические различия малоротых корюшек Hypomesus japonicus (Brevoort, 1856) и H. nipponensis (McAllister, 1963) (Pisces: Osmeridae) из северо-западной части Японского моря // Биология моря. Т. 43. № 6. С. 403–412.
- Гриценко О.Ф. 1982. Экология размножения дальневосточных красноперок рода Tribolodon (Cyprinidae) // Вопр. ихтиологии. Т. 22. № 6. С. 1015–1028.
- Гриценко О.Ф. 2002. Проходные рыбы острова Сахалин (систематика, экология, промысел). М.: Изд-во ВНИРО, 247 с.
- Гудков П.К., Полякова Н.Е., Семина А.В., Назаркин М.В. 2010. Сравнительный морфологический анализ крупночешуйной красноперки Tribolodon hakonensis Günther, 1877 (Cyprinidae, Cypriniformes) Сахалина и южного Приморья // Вопр. ихтиологии. Т. 50. № 6. С. 772–776.
- Дислер Н.Н. 1960. Органы чувств системы боковой линии и их значение в поведении рыб. М.: Изд-во АН СССР, 309 с.
- Долганов В.Н. 2021. Формирование биологического разнообразия дальневосточных красноперок рода Tribolodon (Cyprinidae) // Биология моря. Т. 47. № 6. С. 369–380.
- https://doi.org/10.31857/S013434752106005X
- Животовский Л.А. 1982. Показатели популяционной изменчивости по полиморфным признакам // Фенетика популяций. М.: Наука. С. 38–44.
- Захаров В.М. 1987. Асимметрия животных. M.: Наука, 216 с.
- Золотова А.О., Картавцев Ю.Ф. 2022. Идентификация трех видов дальневосточных красноперок рода Pseudaspius (Osteichthyes: Cyprinidae) на основе многомерного анализа пластических признаков // Биология моря. Т. 48. № 5. С. 315–327.
- https://doi.org/10.31857/S0134347522050114
- Зуйкова Е.И., Бочкарев Н.А. 2016. Популяционная и межвидовая морфологическая изменчивость видов рода Daphnia O.F. Müller 1785 (Cladocera, Daphniidae) // Зоол. журн. Т. 95. № 7. С. 805–814.
- https://doi.org/10.7868/S0044513416050160
- Канеп С.В. 1976. Анализ изменчивости пластических, меристических и интерьерных признаков сиговых рыб (семейство Coregonidae) // Вопр. ихтиологии. Т. 16. № 4. С. 610–623.
- Крылова В.Д., Соколов Л.И. 1981. Морфологические исследования осетровых рыб и их гибридов: методические рекомендации. М.: ВНИРО, 49 с.
- Неелов А.В. 1979. Сейсмосенсорная система и классификация керчаковых рыб (Cottidae: Myoxocephalinae, Artediellinae). Л.: Наука, 208 с.
- Павлов С.Д., Кузищин К.В., Груздева М.А. и др. 2013. Фенетическое разнообразие и пространственная структура гольцов (Salvelinus) озёрно-речной системы Кроноцкая (Восточная Камчатка) // Вопр. ихтиологии. Т. 53. № 6. С. 645–670.
- https://doi.org/10.7868/S004287521306009X
- Плохинский Н.А. 1970. Биометрия. М.: Изд-во МГУ, 367 с.
- Романов Н.С. 1999. Морфологическая изменчивость некоторых скорпеновых рыб родов Sebastes и Sebastolobus (Scorpaenidae) // Вопр. ихтиологии. Т. 39. № 4. С. 569–572.
- Романов Н.С. 2001. Флуктуирующая асимметрия лососей заводского и естественного воспроизводства // Чт. памяти В.Я. Леванидова. Вып. 1. С. 328–335.
- Романов Н.С. 2013. Морфологическая изменчивость зубастой корюшки Osmerus mordax dentex (Osmeridae, Pisces) // Вестн. СВНЦ ДВО РАН. № 2. С. 48–56.
- Романов Н.С. 2017. Морфологическая изменчивость обыкновенной малоротой корюшки Hypomesus olidus (Osmeridae) из некоторых водоёмов Дальнего Востока // Вопр. ихтиологии. Т. 57. № 1. С. 15–23.
- https://doi.org/10.7868/S004287521701012X
- Романов Н.С. 2019. Морфологическая изменчивость крупночешуйной красноперки Tribolodon hakonensis (Cyprinidae) // Там же. Т. 59. № 3. С. 258–267.
- https://doi.org/10.1134/S004287521902022X
- Романов Н.С. 2022. Морфологическая изменчивость японской малоротой корюшки Hypomesus nipponensis MсAllister, 1963 (Osmeriformes, Osmeridae) Дальнего Востока // Биология моря. Т. 48. № 4. C. 273–282. https://doi.org/10.31857/S013434752204009X
- Романов Н.С. 2023. Морфологическая изменчивость корюшек Osmeriformes: Osmeridae) Дальнего Востока России // Там же. Т. 49. № 1. С. 66–72.
- https://doi.org/10.31857/S0134347523010060
- Романов Н.С. 2024. Флуктуирующая асимметрия некоторых признаков у сахалинской красноперки Pseudaspius sachalinensis (Nikolskii, 1889) (Cypriniformes, Leuciscidae) Дальнего Востока России // Там же. Т. 50. № 2. С. 123–134.
- https://doi.org/10.31857/S0134347524020031
- Романов Н.С., Ковалев М.Ю. 2005. Морфологическая изменчивость мелкочешуйной красноперки Tribolodon brandti (Cyprinidae) из некоторых водоемов Дальнего Востока // Чт. памяти В.Я. Леванидова. Вып.3. C. 483–491.
- Романов Н.С., Скирин В.И. 2011. Морфологическая изменчивость некоторых осетровых рыб и их искусственных гибридов // Изв. ТИНРО. Т. 165. С. 283–296.
- Романов Н.С., Фролов С.В., Никаноров А.П., Репин М.Ю. 2011. Некоторые аспекты морфологической изменчивости гольцов (Salvelinus, Salmonidae) Кроноцкого озера (Камчатка) // Чт. памяти В.Я. Леванидова. Вып. 5. С. 458–463.
- Рязанова И.Н., Полякова Н.Е. 2012. Дифференциация крупночешуйной красноперки Tribolodon hakonensis (Pisces: Cyprinidae) на российской части ареала по данным кариологического анализа и ПЦР-ПДРФ-анализа митохондриальной ДНК // Генетика. Т. 48. № 2. С. 225–234.
- Семина А.В. 2008. Молекулярная эволюция и филогенетические отношения в двух группах рыб семейств Mugilidae и Cyprinidae: Автореф. дис. … канд. биол. наук. Владивосток: ТИНРО-центр, 23 с.
- Семина А.В., Полякова Н.Е., Брыков В.А. 2006. Генетический анализ выявляет криптический вид у дальневосточных красноперок рода Tribolodon // Докл. РАН. Т. 407. № 4. С. 571–573.
- Суле М. 1984. Аллометрическая изменчивость: теория и следствие // Журн. общ. биологии. Т. 45. № 1. С. 16–26.
- Тимофеев-Ресовский Н.В., Яблоков А.В., Глотов Н.В. 1973. Очерк учения о популяции. М.: Наука, 278 с.
- Яблоков А.В. 1966. Изменчивость млекопитающих. М.: Наука, 364 с.
- Яблоков А.В. 1968. Популяционная морфология животных // Зоол. журн. Т. 47. № 12. С. 1749–1765.
- Яблоков А.В., Этин В.Я. 1968. Изменчивость меристических признаков нутрии (Myocastor coypus Mol.) Азербайджана и Таджикистана // Там же. Т. 47. № 1. С. 116–121.
- Dyldin Y.V., Orlov A.M. 2021. Annotated list of ichthyofauna of inland and coastal waters of Sakhalin Island. 1. Families Petromyzontidae–Salmonidae // J. Ichthyol. V. 61. № 1. P. 48–79.
- https://doi.org/10.1134/S0032945221010057
- Dyldin Y.V., Hanel L., Fricke R. et al. 2020. Fish diversity in freshwater and brackish water ecosystems of Russia and adjacent waters // Publ. Seto Mar. Biol. Lab. V. 45. P. 47–116.
- https://doi.org/10.5134/251251
- Fricke R., Eschmeyer W.N., van der Laan R. (eds.). 2023. Eschmeyer’s catalog of fishes: genera, species, references (http://researcharchive.calacademy.org/research/ichthyology/catalog/fishcatmain.asp. Version 07/2024).
- Graham J.H. 2021. Fluctuating asymmetry and developmental instability, a guide to best practice // Symmetry. V. 13. № 1. Article 9.
- https://doi.org/10.3390/sym13010009
- Graham J.H., Freeman D.C., Emlen J.M. 1993. Antisymmetry, directional asymmetry, and dynamic morphogenesis // Genetica. V. 89. № 1–3. P. 121–137. https://doi.org/10.1007/BF02424509
- Palmer A.R., Strobeck C. 1986. Fluctuating asymmetry: measurement, analysis, patterns // Ann. Rev. Ecol. Syst. № 17. P. 391–421.
- https://doi.org/10.1146/annurev.es.17.110186.002135
- Parsons P.A. 1992. Fluctuating asymmetry: a biological monitor of environmental and genomic stress // Heredity. V. 68. № 4. P. 361–364.
- https://doi.org/10.1038/hdy.1992.51
- Romanov N.S. 1995. Fluctuating asymmetry in chum salmon, Oncorhynchus keta, from the Maritime Province // J. Ichthyol. V. 35. № 9. P. 171–182.
- Sakai H., Watanabe K., Goto A. 2020. A revised generic taxonomy for Far East Asian minnow Rhynchocypris and dace Pseudaspius // Ichthyol. Res. V. 67. № 2. P. 330–334. https://doi.org/10.1007/s10228-019-00726-5
- Sauvage H.E. 1883. Sur une collection de poissons recuellie dans le lac Biwako (Japon) par M. F. Steenackers // Bull. Soc. Philomath. Paris. Ser. 7. V. 7. P. 144–150.
- Sokal R.R., Rohlf F.J. 1981. Biometry. N.Y.: Freeman and Co., 859 p.
- Wilkinson L., Hill M.-A., Welna J.P., Birkenbeuel G.K. 1992a. SYSTAT for Windows: statistics, version 5. Evanston: Systat Inc., 750 p.
- Wilkinson L., Hill M.-A., Miceli S. et al. 1992b. SYSTAT for Windows: graphics, version 5. Evanston: Systat Inc., 636 p.
- Zakharov V.M., Shadrina E.G., Trofimov I.E. 2020. Fluctuating asymmetry, developmental noise and developmental stability: future prospects for the population developmental biology approach // Symmetry. V. 12. № 8. Article 1376.https://doi.org/10.3390/sym12081376
Supplementary files





