Половое созревание скумбрии Scomber colias (Scombridae) в Центрально-Восточной Атлантике
- Авторы: Никитенко А.И.1, Артеменков Д.В.2, Орлов А.М.3,4,5,6,7, Строганов А.Н.8, Беляев В.А.2
-
Учреждения:
- Всероссийский научно-исследовательский институт рыбного хозяйства и океанографии – ВНИИПРХ
- Всероссийский научно-исследовательский институт рыбного хозяйства и океанографии – ВНИРО
- Институт океанологии РАН – ИО РАН
- Дагестанский государственный университет
- Прикаспийский институт биологических ресурсов Дагестанского федерального исследовательского центра РАН – ПИБР ДФИЦ РАН
- Томский государственный университет – ТГУ
- Институт проблем экологии и эволюции РАН – ИПЭЭ РАН
- Московский государственный университет
- Выпуск: Том 64, № 4 (2024)
- Страницы: 471-479
- Раздел: Статьи
- URL: https://journals.rcsi.science/0042-8752/article/view/271808
- DOI: https://doi.org/10.31857/S0042875224040108
- EDN: https://elibrary.ru/EXMQZE
- ID: 271808
Цитировать
Полный текст
Аннотация
По материалам научного мониторинга запасов пелагических рыб в 2004–2005 и 2014–2017 гг. описаны особенности полового созревания африканской скумбрии Scomber colias в прибрежной акватории Центрально-Восточной Атлантики и проведён анализ эколого-географической изменчивости некоторых биологических характеристик вида. Особенности полового созревания самок и самцов скумбрии описываются логистическим уравнением, полученным в среде программирования R. Длина тела по Смитту, при которой созревают 50% особей в возрасте 1+, составила для самок 18.4, для самцов – 20.0 см; 100% особей созревают в возрасте 3+ при длине самок 32.3, самцов 30.8 см. Высокая доля нерестовых особей скумбрии в Центрально-Восточной Атлантике отмечена с февраля по март и с июня по июль. Скумбрия в прибрежной акватории этого региона схожа по особенностям жизненного цикла с популяциями вод у Канарских о-вов и архипелага Мадейра, но отличается от популяций вод у материковой Португалии, Азорских о-вов, Южной Африки и Бискайского залива более быстрыми половым созреванием и темпами роста.
Ключевые слова
Полный текст
Африканская скумбрия Scomber colias – эпипелагический вид рыб семейства скумбриевых (Scombridae). Распространена в тропических, субтропических и умеренных водах Атлантического океана (преимущественно к северу от экватора), включая Средиземное, Мраморное и Чёрное моря (Collette, Nauen, 1983; Никитенко и др., 2022). В Центрально-Восточной Атлантике (ЦВА) скумбрия обитает в неритической зоне, а также в открытой части океана в районе подводных гор и возвышенностей Азорского и Канаро-Мадейрского архипелагов. Основные скопления отмечаются в районах мысов Бохадор – Кап-Блан, Зелёный, Конакри-Фритаун, Пальмас и Такоради (Доманевский, 1998; Промысловое описание …, 2013; Никитенко и др., 2020; Артеменков и др., 2021).
До недавнего времени полагали, что в Атлантическом океане, Средиземном и Чёрном морях род Scomber представлен японской скумбрией S. japonicus, а не африканской (Habashi, Wojciehowski, 1973; Habashi et al., 1987; Veiga et al., 2010). Однако результаты морфологических и генетических исследований подтверждают существование двух самостоятельных видов: африканской скумбрии в Атлантике и японской – в Индо-Тихоокеанском регионе (Scoles et al., 1998; Infante et al., 2007; Никитенко, Артеменков, 2017; Строганов и др., 2023), что в настоящее время закреплено в общепринятой классификации (Fricke et al., 2023).
Изучению биологических особенностей африканской скумбрии исследователи уделяли большое внимание по причине важного значения вида в мировом рыбном промысле (Алексеева, 1973; Доманевский, 1998; Промысловое описание …, 2013; Артеменков и др., 2021; Беляев и др., 2022; Никитенко и др., 2022). Сведения о половом созревании африканской скумбрии имеются для прибрежных вод материковой Португалии (Martins et al., 1983) и вод у Канарских о-вов (Nespereira, Pajuelo, 1993; Lorenzo, Pajuelo, 1996). Изучение некоторых особенностей биологии вида проведено в Кадисском (Rodriguez-Roda, 1982) и Бискайском (Lucio, 1993) заливах, водах у Греции (Kiparissis et al., 2000), материковой Португалии (Martins, 1996) и Азорского архипелага (Carvalho et al., 2002). В ЦВА исследовали преимущественно возраст и рост африканской скумбрии (Новоженин, Старосельская, 1964; Выскребенцев, 1970). Биологические особенности особей в нерестовый период, соотношение полов, возраст и размер, при которых созревает вид в прибрежной акватории рассматриваемого региона, в современных условиях остаются малоизученными и по сути ограничиваются единственным исследованием в водах у Марокко (Bouzzammit et al., 2022). Однако в этой работе внимание сфокусировано на вопросах гистологии гонад и плодовитости, а район и период исследования ограничены только северной частью Марокко и одним годом.
Цель нашей работы – представить новую детальную информацию по биологическим особенностям африканской скумбрии прибрежных вод ЦВА: периоде нереста, соотношении полов, возрасте и размере, при которых созревает вид; а также выполнить анализ эколого-географической изменчивости некоторых биологических характеристик вида. Новые знания улучшают понимание экологических закономерностей и адаптации вида к условиям прибрежной акватории ЦВА, а также позволяют рациональней вести промысловую эксплуатацию запасов гидробионтов, в том числе и африканской скумбрии. Это даст возможность не подорвать высокую численность и биомассу рыб в акватории ЦВА, которая является высокопродуктивным океаническим районом ввиду сложной динамической системы (Доманевский, 1998).
МАТЕРИАЛ И МЕТОДИКА
Материал собран во время научного мониторинга запасов пелагических рыб на промысловых судах в акватории исключительных экономических зон Марокко и Мавритании. Отлов проводили разноглубинным тралом на глубине от 10 до 1000 м. На каждом промысловом судне находился международный наблюдатель, который фиксировал места тралений и соблюдение Правил рыболовства 1.
Для биологического анализа ежедневно из улова отбирали случайную пробу, в которой определяли и измеряли: длину рыб по Смитту (FL), массу тела, пол, стадию зрелости гонад (Изучение экосистем …, 2004). За весь период исследований изучено 7115 экз. африканской скумбрии, в том числе 3085 самцов, 3693 самок и 337 ювенильных особей (табл. 1).
Таблица 1. Сведения об изученных особях африканской скумбрии Scomber colias прибрежной акватории Центрально-Восточной Атлантики
Месяцы, год вылова | Координаты | Глубины поимок, м | Число особей, экз. | Длина по Смитту, см | Масса, г | |
с.ш. | з.д. | |||||
Январь–февраль, 2004 | 20°54′–26°03′ | 14°55′–17°38′ | 45–50 | 1488 | 15.0–42.0 | 29–978 |
Май–июнь, 2005 | 17°10′–20°52′ | 16°28′–17°52′ | 75–80 | 983 | 14.0–52.0 | 20–2050 |
Июль–сентябрь, 2014 | 21°11′–23°36′ | 16°01′–17°25′ | 42–68 | 609 | 17.3–50.0 | 50–1780 |
Июнь–сентябрь, 2015 | 20°56′–23°19′ | 16°42′–17°45′ | 45–1000 | 1979 | 18.2–46.2 | 60–1314 |
Февраль–апрель, 2016 | 16°06′–20°37′ | 16°23′–18°38′ | 10–410 | 703 | 11.6–45.7 | 12–1440 |
Сентябрь–ноябрь, 2017 | 20°57′–23°41′ | 16°31′–17°33′ | 35–270 | 1353 | 14.4–43.4 | 24–1144 |
Возраст скумбрии определяли по отолитам. После очистки, промывания и просушки их просматривали в падающем свете при увеличении 2 × 8 под стереоскопическим бинокуляром Olympus SZX2-ZB12 (Япония). Годовым кольцом считали границу между двумя смежными зонами: опаковой (зимней) и гиалиновой (летней). При подсчёте годовых колец учитывали только наиболее чёткие, протяжённость которых можно было определить на большей части структуры (Мельников и др., 2016).
Определение периодов нереста скумбрии осуществляли путём анализа ежемесячных распределений частот встречаемости особей (в %) по стадиям зрелости гонад. Выявленные в 2004–2005 и 2014–2017 гг. биологические показатели объединены и построены огивы созревания по размеру и возрасту для самцов и самок. Долю половозрелых особей рассчитывали с использованием шкалы зрелости (Алексеев, Алексеева, 1996), которая не противоречит применяемой иностранными исследователями (Manual of fisheries …, 1974). При этом особей считали половозрелыми, если их гонады были III стадии зрелости и выше.
При анализе длины, при которой наступает половая зрелость скумбрии, использовали логистическую модель: YFL = 100/(1 + exp–a(FL – b)), где YFL – доля половозрелых особей, a – угловой коэффициент, b – точка перегиба, соответствующая длине, при которой созревают 50% особей (FL50) в принятой модели (Shiraishi et al., 2010). Использовали аналогичную модель для анализа возраста скумбрии, при котором созревает половина особей (TM50), но для неё произвели вычисления доли половозрелых особей путём деления числа половозрелых особей на общее число выловленных рыб каждого возрастного класса (доля половозрелых особей по возрастным классам, в процентах).
Различия между полами по длине, массе и возрасту оценивали методом сравнения независимых выборок, применяя t-критерий Стьюдента. Статистический анализ проводили в программных пакетах Microsoft Excel v. 14 и Statistica v. 12, а также с использованием статистического языка R (R Core Team, 2023) в составе программных пакетов FSA (Ogle, 2011).
РЕЗУЛЬТАТЫ
Половая и размерно-возрастная структура. В период исследований, если рассматривать соотношение полов в целом, независимо от длины, возраста и половой зрелости, было близко к 1 : 1 (t = 1.53, p ≤ 0.160). Доля ювенильных особей FL 11.6–32.0 см в возрасте от 1+ до 3+ лет составила 4.7% общего числа рыб. Среди половозрелых особей в возрасте от 1+ до 10+ лет ~47.4% были самцами FL 16.0–50.0 см, ~52.6% – самками FL 15.0–52.0 см.
В 2004–2005 гг. в уловах преобладали самки (57 против 43% самцов). В 2014–2017 гг. выявлено поочередное преобладание полов: самцов в чётные годы, самок – в нечётные. В возрасте от 1+ до 2+ соотношение полов было близко к 1 : 1 – 50.2 самок и 49.8% самцов (t = 0.75, p ≤ 0.588). С наступлением половой зрелости всех особей в возрасте от 3+ до 7+ в уловах статистически значимо преобладали самки – 57.3 против 42.7% самцов (t = 7.72, p ≤ 0.0001). Вероятно, по причине сильного промыслового пресса до возраста 8+ … 10+ доживают единичные особи скумбрии, что не позволило описать соотношение полов в этих возрастных классах. Размерные характеристики скумбрии подтверждают выявленное соотношение полов: среди особей FL > 45 см в уловах преобладали самки. Далее, по мере увеличения линейных размеров рыб в уловах встречались лишь единичные крупные экземпляры скумбрии.
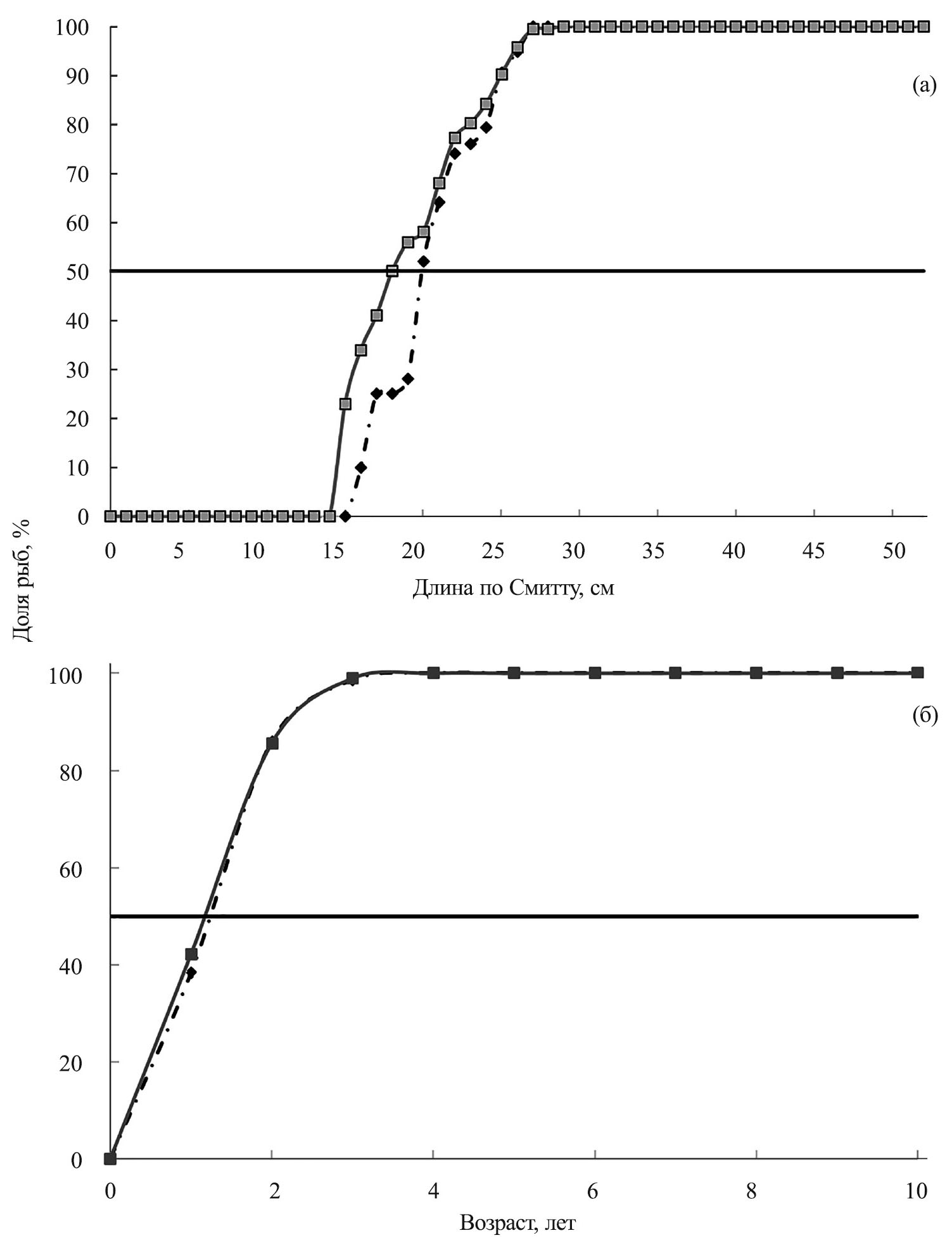
Половое созревание. Начало полового созревания у самок и самцов отмечено в возрасте 1+ при FL соответственно 15.0 и 16.0 см. В этом же возрасте происходило созревание половины рыб, которое характеризуется логистическим функциями для самок: YFL = 100/(1 + exp–0.33(FL – 6.09)), для самцов: YFL = 100/(1 + exp–0.43(FL – 8.58)). FL50 в полученой модели составила для самок 18.4 см, для самцов – 20.0 см (рис. 1), FL100 в возрасте 3+ соответственно 32.3 и 30.8 см.
Рис. 1. Огивы созревания африканской скумбрии Scomber colias различных длины (а) и возраста (б) в ЦентральноВосточной Атлантике с февраля по ноябрь 2004–2017 гг.: (−·♦−·) – самцы, (−■−) – самки, (—) – 50%-ная доля половозрелых особей.
Период нереста. Анализ частоты встречаемости преднерестовых особей скумбрии с гонадами III стадии зрелости показал их высокую долю в начале нереста с февраля по март (55.9 ± 4.1%) и пониженную – с апреля по ноябрь (18.2 ± 2.2%) (t = 8.10, p ≤ 0.001) (рис. 2). Повышенная доля преднерестовой скумбрии с февраля по март свидетельствовала о происходящих нерестовых процессах. В свою очередь, наблюдалось увеличение частоты встречаемости нерестовых особей с гонадами V стадии зрелости с февраля по март (24.1 ± 2.3%) и с июня по июль (21.8 ± 2.5%), а послерестовых особей с гонадами VI стадии зрелости – с апреля по июнь (34.5 ± 9.7%) и с августа по сентябрь (37.8 ± 8.0%).
Рис. 2. Сезонное изменение соотношения в Центрально-Восточной Атлантике самцов (■) и самок (■) африканской скумбрии Scomber colias с гонадами разных стадий зрелости в 2004–2017 гг.: а – февраль, б – март, в – апрель, г – май, д – июнь, е – июль, ж – август, з – сентябрь, и – октябрь, к – ноябрь.
Если рассматривать только нерестовых особей скумбрии, отчётливо видны значимые отличия (p ≤ 0.001) их возросшей доли с февраля по март и с июня по июль относительно пониженной доли с апреля по май (9.4 ± 2.4%) и с августа по ноябрь (7.7 ± 0.9%). Аналогичная ситуация отмечена для посленерестовой скумбрии, у которой частота встречаемости особей (p ≤ 0.001) с февраля по март (10.0 ± 3.2%) была статистически значимо ниже, чем в июле–октябре (20.7 ± 1.4%). В ноябре посленерестовые особи скумбрии в уловах не встречены.
ОБСУЖДЕНИЕ
Половая и размерно-возрастная структура популяции, рост и созревание относятся к ключевым параметрам, которые характеризуют жизненный цикл рыб. Отмеченные показатели пластичны в зависимости от экологичеких условий обитания (Никольский, 1974). Поэтому понимание эколого-географической изменчивости биологических характеристик представляет интерес для выявления адаптационных способностей и закономерностей эволюционного процесса вида.
Согласно многочисленным данным (Nespereira, 1992; Nespereira, Pajuelo, 1993; Silva, 1993; Lorenzo, Pajuelo, 1996; Martins, 1996; Lucio, 1997; Carvalho et al., 2002; Vasconcelos et al., 2012; настоящее исследование), половой диморфизм у африканской скумбрии в размерно-возрастной структуре на всём протяжении видового ареала не выражен. Значимых отличий в соотношении полов от 1 : 1 в 2004–2005 и 2014–2017 гг. не наблюдали. В некоторые годы отмечено преобладание самок или самцов, вероятно, ввиду селективности орудий лова по отношению к определенному полу (Касаткина и др., 2018; Кухоренко, 2020), например, в связи с этологическими различиями или дифференциальной смертностью молоди (Čikeš Keč, Zorica, 2013).
Показатели длины (FL50) и возраста (TM50), при которых происходит созревание половины самок и самцов, полученные в нашем исследовании, оказались ниже, чем у особей из вод материковой Португалии (Martins et al., 1983), Азорских о-вов (Carvalho et al., 2002), Южной Африки (Crawford, 1981) и Бискайского залива (Lucio, 1993), но оказались близки к таковым из вод у Канарских о-вов (Nespereira, 1992; Nespereira, Pajuelo, 1993; Lorenzo, Pajuelo, 1996), северной части Марокко (Bouzzammit et al., 2022) и архипелага Мадейра (Vasconcelos et al., 2012) (табл. 2, 3). Более раннее созревание скумбрии в ЦВА, вероятно, связано с оптимальными экологическими условиями в уникальной экосистеме Канарского течения, которое является одним из четырёх главных высокопродуктивных апвеллинговых экосистем Мирового океана (Ould-Dedah et al., 1999; Shepherd, 1999). Высокая продуктивность вод ЦВА характеризуется повышенной относительной численностью и биомассой гидробионтов в сравнении с другими океаническими районами подобного типа (Ryther, 1969; Чернышков и др., 2005).
Таблица 2. Длина тела по Смитту, при которой созревают 50% особей (FL50) африканской скумбрии Scomber colias в разных частях видового ареала
Район | FL50, см | Источник информации | |
Самки | Самцы | ||
Центрально-Восточная Атлантика (Марокко и Мавритания) | 18.40 | 20.00 | Наши данные |
О. Мадейра | 21.55 | 22.12 | Vasconcelos et al., 2012 |
Азорский архипелаг | 27.78 | Carvalho et al., 2002 | |
Канарские о-ва | 19.90 | 19.80 | Lorenzo, Pajuelo, 1996 |
Бискайский залив | 29.00 | 30.80 | Lucio, 1997 |
Португалия | 27.00 | Martins, 1996 | |
Канарские о-ва | 19.90 | 19.85 | Nespereira, Pajuelo, 1993 |
Канарские о-ва | 19.90 | 19.85 | Nespereira, 1992 |
Канарские о-ва | 23.00 | 22.00 | Silva, 1993 |
Марокко | 21.10 | 20.80 | Bouzzammit et al., 2022 |
Таблица 3. Возраст, в котором созревают 50% особей (TM50) африканской скумбрии Scomber colias в разных частях видового ареала
Район | TM50, лет | Источник информации | |
Самки | Самцы | ||
Центрально-Восточная Атлантика (Марокко и Мавритания) | 1.18 | 1.24 | Наши данные |
Южная Африка | 3.00 | Crawford, 1981 | |
Азорский архипелаг | 2.23 | Carvalho et al., 2002 | |
Бискайский залив | 4.00 | Lucio, 1997 | |
Португалия | 3.00 | Martins, 1996 | |
О. Мадейра | 0.82 | 1.05 | Vasconcelos et al., 2012 |
По результатам наших исследований, нерестовый период скумбрии в ЦВА отмечен с февраля по март и с июня по июль. Это частично согласуется с данными Данилевского и Ревина (1962), которые у северозападного побережья Африки наблюдали нерест скумбрии два раза в год: с января по февраль и с июня по июль. Отмеченные частичные различия, вероятнее всего, связаны с особенностями гидрологической ситуации в условиях глобальных климатических изменений и могут быть обусловлены различиями в продолжительности и пике нереста скумбрии в разных географических районах. Нерест вида у Канарских о-вов проходит зимой с максимальной активностью в декабре и январе (Nespereira, 1992; Nespereira, Pajuelo, 1993; Lorenzo, Pajuelo, 1996), тогда как у берегов Португалии он наблюдается с февраля по март и с мая по июнь (Martins et al., 1983; Martins, 1996). В водах у Азорских о-вов скумбрия нерестится с марта по август (Westhaus-Ekau, Ekau, 1982; Carvalho et al., 2002), а у аргентинского побережья в районе Мар-дель-Плата (Forciniti, Perrota, 1988) и в Бискайском заливе (Lucio, 1993, 1997) – в весенний и летний сезоны аналогично популяции, обитающей в водах у материковой Португалии.
ЗАКЛЮЧЕНИЕ
Результаты нашего исследования свидетельствуют, что африканская скумбрия в прибрежных водах ЦВА по особенностям жизненного цикла схожа со скоплениями вида в водах у Канарских о-вов и архипелага Мадейра, но отличается более быстрыми половым созреванием и темпом роста от скоплений в водах у материковой Португалии, Азорских о-вов, Южной Африки и Бискайского залива. Длина тела по Смитту, при которой созревают 50% особей в возрасте 1+, составила для самок 18.4 см, для самцов – 20.0 см. 100% рыб созревают в возрасте 3+ при длине самок и самцов 32.3 и 30.8 см соответственно. По всей видимости, это связано с гидрологическими условиями и продуктивностью исследуемого района. Сведения о возрасте, в котором происходит половое созревание особей скумбрии, и периоде их нереста (с февраля по март и с июня по июль), представленные в нашей работе, существенно дополняют имеющиеся данные о закономерностях адаптации рассматриваемого вида к условиям обитания в ЦВА, что особенно актуально в свете происходящих глобальных климатических изменений.
БЛАГОДАРНОСТИ
Авторы выражают искреннюю признательность всем сотрудникам ВНИРО, которые принимали участие в сборе первичного материала на промысловых судах в ЦВА в 2004–2005 и 2014–2017 гг.
1 Российско-марокканское сотрудничество в области морского рыболовства выполняется в рамках двухстороннего Соглашения от 28.12.1995 г. (https://docs.cntd.ru/document/) 902092421. Version 05/2023); Российско-мавританское сотрудничество в области морского рыболовства и рыбного хозяйства осуществляется в рамках двухстороннего Соглашения от 12.05.2003 г. (https://docs.cntd.ru/document/901866502.Version 05/2023).
Об авторах
А. И. Никитенко
Всероссийский научно-исследовательский институт рыбного хозяйства и океанографии – ВНИИПРХ
Автор, ответственный за переписку.
Email: alexey_nikitenko90@mail.ru
Филиал по пресноводному рыбному хозяйству
Россия, пос. Рыбное, Московская обл.Д. В. Артеменков
Всероссийский научно-исследовательский институт рыбного хозяйства и океанографии – ВНИРО
Email: alexey_nikitenko90@mail.ru
Россия, Москва
А. М. Орлов
Институт океанологии РАН – ИО РАН; Дагестанский государственный университет; Прикаспийский институт биологических ресурсов Дагестанского федерального исследовательского центра РАН – ПИБР ДФИЦ РАН; Томский государственный университет – ТГУ; Институт проблем экологии и эволюции РАН – ИПЭЭ РАН
Email: alexey_nikitenko90@mail.ru
Россия, Москва; Махачкала; Махачкала; Томск; Москва
А. Н. Строганов
Московский государственный университет
Email: alexey_nikitenko90@mail.ru
Россия, Москва
В. А. Беляев
Всероссийский научно-исследовательский институт рыбного хозяйства и океанографии – ВНИРО
Email: alexey_nikitenko90@mail.ru
Россия, Москва
Список литературы
- Алексеев Ф.Е., Алексеева Е.И. 1996. Определение стадий зрелости гонад и изучение половых циклов, плодовитости, продукции икры и темпа полового созревания у морских промысловых рыб. Калининград: Изд-во АтлантНИРО, 72 с.
- Алексеева Е.И. 1973. Оогенез скумбрии Scomber colias Gmelin северо-западного побережья Африки // Сб. науч. тр. АтлантНИРО. Вып. 53. С. 86–88.
- Артеменков Д.В., Михайлов А.И., Никитенко А.И. и др. 2021. Динамика популяции скумбрии Scomber colias в условиях многовидового промысла // Вопр. ихтиологии. Т. 61. № 6. С. 657–668. https://doi.org/10.31857/S0042875221060011
- Беляев В.А., Никитенко А.И., Артеменков Д.В. и др. 2022. Промысел скумбрии Scomber colias в районе побережья Западной Африки // Рыб. хоз-во. № 5. С. 21–27. https://doi.org/10.37663/0131–6184–2022–5–21–27
- Выскребенцев Б.В. 1970. Данные по биологии скумбрии (Scomber japonicus colias Gmelin, 1789) западного побережья Африки // Тр. АзЧерНИРО. Вып. 29. С. 144–168.
- Данилевский Н.Н., Ревин А.С. 1962. Распределение скумбрии у западного побережья Африки // Там же. Вып. 20. С. 48–56.
- Доманевский Л.H. 1998. Рыбы и рыболовство в неритической зоне Центрально-Восточной Атлантики. Калининград: Изд-во АтлантНИРО, 196 с.
- Изучение экосистем рыбохозяйственных водоемов, сбор и обработка данных о водных биологических ресурсах, техника и технология их добычи и переработки. 2004. М: Изд-во ВНИРО, 299 c.
- Касаткина С.М., Тимошенко Н.М., Малышко А.П. 2018. Анализ влияния пространственно-временной изменчивости распределения пелагических рыб на результаты акустических съемок в атлантической рыболовной зоне Марокко // Тр. АтлантНИРО. Т. 2. № 1 (5). С. 89–96.
- Кухоренко К.Г. 2020. Научно-поисковые исследования и перспективы развития отечественного океанического рыболовства в Атлантике и юго-восточной части Тихого океана // Рыб. хоз-во. № 6. С. 30–33. https://doi.org/10.37663/0131–6184–2020–6–30–33
- Мельников С.П., Артеменков Д.В., Никитенко А.И., Сухарев Д.С. 2016. Изучение популяционной структуры восточной скумбрии в центрально–восточной Атлантике на основе анализа формы ее отолитов // Тр. IV Междунар. балт. мор. форума “Водные биоресурсы, аквакультура и экология водоемов”. Калининград: Изд-во КГТУ. С. 40–43.
- Никитенко А.И., Артеменков Д.В. 2017. К возможности использования метода отолитометрии в изучении популяционной организации восточной скумбрии Scomber japonicus в Западно-Африканских водах // Матер. II Всерос. науч. конф. молодых ученых “Комплексные исследования Мирового океана”. М.: Изд-во ИО РАН. С. 390–392.
- Никитенко А.И., Артеменков Д.В., Беляев В.А. и др. 2020. Особенности миграций, распределения и промысла скумбрии (Scomber colias) в районе ЦВА // Вопр. рыболовства. Т. 21. № 3. С. 302–312. https://doi.org/10.36038/0234–2774–2020–21–302–312
- Никитенко А.И., Пронина Г.И., Орлов А.М. и др. 2022. О периферической крови у трех видов рыб с разной экологией (Scombridae и Berycidae) // Изв. РАН. Сер. биол. № 6. С. 661–667. https://doi.org/10.31857/S1026347022060117
- Никольский Г.В. 1974. Теория динамики стада рыб. М.: Пищ. пром-сть, 448 с.
- Новоженин Н. П., Старосельская А. Г. 1964. К биологии скумбрии северо-западного побережья Африки // Тр. АтлантНИРО. Вып. 11. С. 65–70.
- Промысловое описание продуктивных районов Атлантического океана (к югу от параллели 50 с. ш.) и юго-восточной части Тихого океана. 2013. Калининград: Капрос, 415 с.
- Строганов А.Н., Никитенко А.И., Ракицкая Т.А., Беляев В.А. 2023. Изучение популяционно-генетической структуры атлантической скумбрии Scomber colias Gmelin, 1789 (Scombridae) в Центрально-Восточной Атлантике // Генетика. Т. 59. № 1. С. 80–88. https://doi.org/10.31857/S0016675823010113
- Чернышков П.П., Сирота А.М., Тимохин Е.Н. 2005. Структура и динамика вод в районах Канарского и Бенгельского апвеллингов и их влияние на популяции пелагических рыб. Калининград: Изд-во АтлантНИРО, 198 с.
- Bouzzammit N., El Habouz H., Ben-Bani A., El Ouizgani H. 2022. Spawning season, size at first maturity, and fecundity in chub mackerel (Scomber colias Gmelin, 1789) from the Atlantic coast of Morocco // Reg. Stud. Mar. Sci. V. 53. Article 102451. https://doi.org/10.1016/j.rsma.2022.102451
- Carvalho N., Perrota R.G., Isidro E.J. 2002. Age, growth and maturity in the chub mackerel (Scomber japonicus Houttuyn, 1782) from the Azores // Arquipélago. Life Mar. Sci. V. 19A. P. 93–99.
- Čikeš Keč V., Zorica B. 2013. Length–weight relationship, age, growth and mortality of Atlantic chub mackerel Scomber colias in the Adriatic Sea // J. Mar. Biol. Assoc. UK. V. 93. № 2. P. 341–349. https://doi.org/10.1017/S0025315412000161
- Collette B.B., Nauen C.E. 1983. Scombrids of the world. An annotated and illustrated catalogue of tunas, mackerels, bonitos and related species known to date // FAO Fish. Synop. V. 2. № 125. 137 p.
- Crawford R.J.M. 1981. Distribution, availability and movements of mackerel Scomber japonicus off South Africa, 1964–1976 // Fish. Bull. S. Afr. V. 15. P. 123–166.
- Forciniti L., Perrota R.G. 1988. Sobre la edad y el crecimiento de la caballa (Scomber japonicus) del area Marplatense // Rev. Invest. Des. Pesq. V. 8. P. 19–32.
- Fricke R., Eschmeyer W.N., van der Laan R. (eds.). 2023. Eschmeyer’s catalog of fishes: genera, species, references (http://researcharchive.calacademy.org/research/ichthyology/catalog/fishcatmain.asp. Version 05/2023).
- Habashi B., Wojciehowski. J. 1973. Observations on the biology of Scomber japonicus off Northwest Africa // ICES CM 1973/J:20. Copenhagen: ICES, 9 p.
- Habashi B.B., Kompowski A., Wojciehowski J. 1987. Food and feeding of chub mackerel, Scomber japonicus Houttuyn, 1782 in the north-west African shelf // Acta Ichthyol. Piscat. V. 17. № 1. P. 77–92. https://doi.org/10.3750/AIP1987.17.1.06
- Manual of fisheries science. Pt. 2. Methods of resource investigation and their application. 1974. FAO Fish. Tech. Pap. № 115 (Rev.1). Rome: FAO, 255 p.
- Infante C., Blanco E., Zuasti E. et al. 2007. Phylogenetic differentiation between Atlantic Scomber colias and Pacific Scomber japonicus based on nuclear DNA sequences // Genetica. V. 130. № 1. P. 1–8. https://doi.org/10.1007/s10709–006–0014–5
- Kiparissis S., Tserpes G., Tsimenidis N. 2000. Aspects on the demography of chub mackerel (Scomber japonicus Houttuyn, 1782) in the Hellenic seas // Belgian J. Zool. V. 130. Suppl. 1. P. 3–7.
- Lorenzo J.M., Pajuelo J.G. 1996. Growth and reproductive biology of chub mackerel Scomber japonicus off the Canary Islands // South Afr. J. Mar. Sci. V. 17. № 1. P. 275–280. https://doi.org/10.2989/025776196784158635
- Lucio P. 1993. Biological notes of Spanish mackerel (Scomber japonicus) in the Bay of Biscay, 1990–1993 // Work. Doc. ICES Mackerel, Horse Mackerel, Sardine and Anchovy Working Group. Copenhagen: ICES, 92 p.
- Lucio P. 1997. Biological aspects of Spanish (chub) mackerel (Scomber japonicus, Houttuyn, 1782) in the Bay of Biscay from the Basque Country Catches // ICES CM 1997/BB:10. Copenhagen: ICES, 31 p.
- Martins M.M. 1996. New biological data on growth and maturity of Spanish mackerel (Scomber japonicus) off the Portuguese coast (ICES Division IX a) // ICES CM 1996/H.23. Copenhagen: ICES, 17 p.
- Martins M.M.B., Jorge I.M., Gordo L.S. 1983. On the maturity, morphological characteristics and growth of Scomber japonicus Houttuyn, 1780 of west continental coast of Portugal // ICES CM 1983/H.39. Copenhagen: ICES, 9 p.
- Nespereira J.M.L. 1992. Crecimiento de la caballa Scomber japonicus (Houttuyn, 1782) en aguas del archipiélago Canario: PhD Thesis. Las Palmas de Gran Canaria: Univ. Las Palmas de Gran Canaria, 199 p.
- Nespereira J.M.L., Pajuelo J.M.G. 1993. Determinación de la talla de primera madurez sexual y período reproductivo de la caballa Scomber japonicus (Houttuyn, 1782) de las islas Canarias // Bol. Inst. Esp. Oceanogr. V. 9. № 1. P. 15–21.
- Ogle D.H. 2011. FSA: fisheries stock analysis. R package v. 0.4.30 (http://www.rforge.net/FSA/. Version 01/2023).
- Ould-Dedah S., Wiseman W.J.Jr., Shaw R.F. 1999. Spatial and temporal trends of sea surface temperature in the northwest African region // Oceanol. Acta. V. 22. № 3. P. 265–279. https://doi.org/10.1016/S0399–1784(99)80051–6
- R Core Team. 2023. R: A language and environment for statistical computing. Vienna: R Foundation for Statistical Computing (http://www.R-project.org/. Version 01/2023).
- Rodriguez-Roda J. 1982. Biologia de la cabala (o estornino), Scomber (Pneumatophorus) japonicas Houttuyn (1782) del golfo de Cádiz // Invest. Pesq. V. 46. № 1. P. 143–159.
- Ryther J.H. 1969. Photosynthesis and fish production in the sea. The production of organic matter and its conversion to higher forms of life vary throughout the World Ocean // Science. V. 166. № 3901. P. 72–76. https://doi.org/10.1126/science.166.3901.72
- Scoles D.R., Collette B.B., Graves J.E. 1998. Global phylogeography of mackerels of the genus Scomber // Fish. Bull. V. 96. № 4. P. 823–842.
- Shepherd J.G. 1999. Extended survivors analysis: an improved method for the analysis of catch-at-age data and abundance indices // ICES J. Mar. Sci. V. 56. № 5. P. 584–591. https://doi.org/10.1006/jmsc.1999.0498
- Shiraishi T., Tanaka H., Ohshimo S. et al. 2010. Age, growth and reproduction of two species of scad, Decapterus macrosoma and D. macarellus in the waters off southern Kyushu // Jpn. Agricult. Res. Quart. V. 44. № 2. P. 197–206. https://doi.org/10.6090/jarq.44.197
- Silva M.N.G. 1993. Aspectos da Biologia da Cavala, Scomber japonicus (Houttuyn, 1782) da Madeira // Relatório de Estágio Profissionalizante da Licenciatura em recursos Faunísticos e Ambiente. Lisboa: Faculdade de Ciências da Universidade de Lisboa, 143 p.
- Vasconcelos J., Afonso-Dias M., Faria G. 2012. Atlantic chub mackerel (Scomber colias) spawning season, size and age at first maturity in Madeira waters // Arquipelago. Life Mar. Sci. V. 29. P. 43–51.
- Veiga P., Ribeiro J., Gonçalves J.M.S., Erzini K. 2010. Quantifying recreational shore angling catch and harvest in southern Portugal (north-east Atlantic Ocean): implications for conservation and integrated fisheries management // J. Fish Biol. V. 76. № 9. P. 2216–2237. https://doi.org/10.1111/j.1095–8649.2010.02665.x
- Westhaus-Ekau P., Ekau P.W. 1982. Preliminary report of the investigations on “cavala” (Scomber japonicus) and “chicharro” (Trachurus picturatus) // Internal Rep. Dept. Oceanogr. Fish. Horta: Univ. Azores, 24 p.
Дополнительные файлы




