Распределение, размерный состав и питание кристаллинового липариса Crystallias matsushimae (Liparidae) в российской зоне Японского моря
- Авторы: Соломатов С.Ф.1, Пущина О.И.2, Асеева Н.Л.2
-
Учреждения:
- Национальный научный центр морской биологии Дальневосточного отделения РАН – ННЦМБ ДВО РАН
- Всероссийский научно-исследовательский институт рыбного хозяйства и океанографии – ТИНРО
- Выпуск: Том 64, № 4 (2024)
- Страницы: 401-411
- Раздел: Статьи
- URL: https://journals.rcsi.science/0042-8752/article/view/271800
- DOI: https://doi.org/10.31857/S0042875224040039
- EDN: https://elibrary.ru/EYFJCE
- ID: 271800
Цитировать
Полный текст
Аннотация
Приведены результаты изучения батиметрического и пространственного распределения кристаллинового липариса Crystallias matsushimae по данным донных траловых съёмок в российских водах Японского моря. Вид не образует плотных скоплений, хотя и не так редок, как считалось ранее: в уловах донного трала на материковом склоне частота его встречаемости составляет около 30%. Основными местами скоплений вида являются западная часть зал. Петра Великого и глубоководный участок Татарского пролива между материком и о-вом Сахалин. Несмотря на относительно широкий диапазон температуры воды и глубин, при которых в уловах встречался кристаллиновый липарис, предпочтительными для него являются довольно узкие термические и батиметрические границы: 0.6–1.5°C и 200–500 м. В рационе питания преобладают мизиды, амфиподы и декаподы.
Ключевые слова
Полный текст
Кристаллиновый липарис Crystallias matsushimae Jordan et Snyder 1902 является обычным представителем семейства липаровых (Liparidae) и единственным представителем рода Crystallias, встречающимся в Японском море. Иногда род Crystallias Jordan et Snyder, 1902 относят к младшему синониму рода Crystallichthys Jordan et Gilbert, 1898 (Chernova et al., 2004), однако, по современным представлениям, он является валидным (Парин и др., 2014; Fricke et al., 2023).
Вид широко распространён в Японском море, вокруг Японского архипелага и Курильских о-вов, в южной части Охотского моря (Сон Ён Хо, 1986; Питрук, 1990; Борец, 1997, 2000; Федоров, Парин, 1998; Федоров, 2000; Новиков и др., 2002; Nakabo, 2002; Kim et al., 2005; Соколовский и др., 2007, 2011). Некоторые авторы указывают поимку вида в южной части Берингова моря, что существенно расширяет границы его обитания (Линдберг, Красюкова, 1987; Парин и др., 2014). Сведений о биологии кристаллинового липариса немного и они фрагментарны как для Японского моря, так и для остальной части ареала.
От других представителей семейства вид отличается наличием на теле удлинённых вертикальных полос и большими усиками на нижней челюсти и рыле. Характерные вытянутые кольцеобразные пятна отчётливо прослеживаются даже у мелкоразмерных (длиной от 17.8 мм) рыб (Matsuzaki et al., 2022), чего в Японском море не отмечается у других липаровых. Благодаря сравнительно лёгкой в отношении липаровых рыб видовой идентификации мы имели возможность использовать большой массив данных по биологии этого вида, не опасаясь путаницы с другими видами семейства.
Цель работы – изучить батиметрическое и пространственное распределение кристаллинового липариса в северо-западной части Японского моря, оценить влияние температуры придонного слоя воды на особенности его распределения, выяснить размерный состав, рацион питания и дать количественные оценки вида.
МАТЕРИАЛ И МЕТОДИКА
Материалом послужили данные донных траловых съёмок на шельфе и материковом склоне северной части Японского моря в рейсах научно-исследовательских судов ТИНРО в 1978–2018 гг. Акватория была подразделена на четыре района: зал. Петра Великого (ЗПВ) – от р. Туманная до м. Поворотный, Северное Приморье (СП) – от м. Поворотный до м. Золотой, воды у материкового побережья Татарского пролива (ТП) – от м. Золотой до прол. Невельского и Западный Сахалин (ЗС) – у островного побережья Татарского пролива от прол. Невельского до м. Крильон (рис. 1). Обследованы глубины 20–750 м (в зал. Петра Великого – от 2 м). При анализе сезонного распределения проводили деление на гидрологические сезоны по классификации Зуенко (1994): зимний период включает январь и февраль, весенний – март и апрель, летний – июнь–сентябрь, осенний – ноябрь и декабрь. Май является переходным месяцем между весенним и летним сезонами, октябрь – между летним и осенним. Май мы отнесли к весеннему сезону, октябрь – к осеннему.
Рис. 1. Карта-схема района работ в Японском море в 1978–2018 гг.: (•) – траловые станции, ЗПВ – зал. Петра Великого, СП – Северное Приморье, ТП – Татарский пролив, ЗС – Западный Сахалин.
Для работ использовали суда различного класса и разные типы тралов с мелкоячейной вставкой (10 мм) в кутце. Преимущественно использовали донный трал ДТ/ТВ 27.1. Для сравнимости результатов все уловы пересчитали на час траления (кг/ч траления). Для построения карт пространственного распределения уловы осредняли по квадратам со стороной 10 географических минут. Биомассу рыб определяли площадным методом (Аксютина, 1968) с коэффициентом уловистости 0.5 (Гаврилов и др., 1988). Всего в работе использованы данные 50 съёмок (ЗПВ – 23, СП – 13, ТП – 12, ЗС – 2). Общее число обработанных траловых станций составило 14839 (табл. 1), из них кристаллиновый липарис был отмечен в 1643. У рыб из уловов измеряли общую длину тела (TL). Промерено 1256 экз., из них со взвешиванием 610 экз.
Таблица 1. Общее число тралений, выполненных в российских водах Японского моря в разные сезоны 1978–2018 гг., и частота встречаемости (ЧВ) кристаллинового липариса Crystallias matsushimae по глубинам
Глубины, м | Весна | Лето | Осень | Зима | Всего | ЧВ,٪ |
1–5 | 3 | 80 | 23 | 0 | 106 | 0 |
6–20 | 76 | 1193 | 211 | 2 | 1482 | 0 |
21–50 | 715 | 2030 | 361 | 52 | 3158 | 0.2 |
51–100 | 1086 | 1823 | 419 | 189 | 3517 | 4.2 |
101–200 | 1103 | 665 | 316 | 257 | 2341 | 12.1 |
201–300 | 818 | 328 | 275 | 166 | 1587 | 29.6 |
301–400 | 614 | 167 | 164 | 121 | 1066 | 32.6 |
401–500 | 468 | 103 | 130 | 104 | 805 | 30.7 |
501–700 | 329 | 124 | 218 | 18 | 689 | 20.3 |
701–1000 | 69 | 1 | 18 | 0 | 88 | 4.5 |
Итого | 5281 | 6514 | 2135 | 909 | 14839 |
Материал по питанию липариса (76 желудков) собран в водах Северного Приморья (на глубинах 60–450 м) в апреле–мае. Пробы обрабатывали в соответствии с Методическим пособием (1974). Величину суточного рациона рыб оценивали методом Новиковой (1949) в модификации Чучукало и Напазакова (1999) путём определения продолжительности переваривания исходной (восстановленной) массы пищевых объектов в зависимости от температуры придонного слоя воды. Среднее значение рациона и соотношение в нём пищевых компонентов вычислены с учётом биомасс исследованных размерных групп и их вклада в общее потребление.
РЕЗУЛЬТАТЫ
Батиметрическое распределение. Глубины обитания кристаллинового липариса располагались в сравнительно широком диапазоне – 30–749 м. Предпочитаемыми глубинами для него являлись 201–500 м – верхний отдел материкового склона (рис. 2). Летом и осенью его скопления были приурочены к границе шельфовой зоны с глубинами 201–300 м, в зимне-весенний период отмечены на бо́льших глубинах – 401–500 м. Кристаллиновый липарис является типичным представителем мезобентального биотопа.
Рис. 2. Распределение уловов кристаллинового липариса Crystallias matsushimae в российских водах Японского моря по глубинам в разные сезоны 1978–2018 гг.: (▨) – весна, (▦) – лето, (▧) – осень, (▩) – зима.
По частоте встречаемости кристаллиновый липарис относится к обычным видам на материковом и островном склонах, на глубинах 201–500 м он встречался примерно в трети уловов (табл. 1). В меньшей степени он отмечался на глубинах 501–700 м (20.3%) и в пределах шельфовой зоны.
Пространственное распределение. Кристаллиновый липарис встречался во всех обследованных районах российской зоны Японского моря. Он не образовывал концентрированных скоплений, максимальный улов составил 66 кг/ч траления.
На зимний период приходилось наименьшее число тралений, поэтому картина распределения в это время года не охватывает значительную часть исследуемой акватории (рис. 3а). Вид встречался во всей акватории Северного Приморья, но высокие уловы отмечались в западной части зал. Петра Великого. Татарский пролив как с материковой, так и с островной стороны не был охвачен тралениями зимой.
Рис. 3. Распределение уловов кристаллинового липариса Crystallias matsushimae в российских водах Японского моря в разные сезоны 1978–2018 гг.: а – зима, б – весна, в – лето, г – осень.
Весной кристаллиновый липарис избегал шельфовых зон (рис. 3б). В зал. Петра Великого он держался вдоль материкового склона, образуя скопления в западной части залива в координатах 42°20′ с. ш. 131°20′ в. д. – в районе так называемых Гамовских свалов. В Северном Приморье, где шельфовая зона не развита, этот вид встречался в уловах практически от самой береговой черты. Распределение носило довольно равномерный характер. При продвижении на север, с расширением шельфа, заметно смещение уловов на глубины в сторону свала глубин между материком и Сахалином. В мелководной части Татарского пролива, севернее 50° с. ш., кристаллиновый липарис весной не встречался. Вдоль островного побережья Сахалина вид был немногочислен и также избегал шельфовых зон.
Летом кристаллиновый липарис выходил на шельфовые участки (рис. 3в). Особенно это хорошо прослеживалось в зал. Петра Великого, где он попадал в уловы в открытой части и даже заходил в заливы второго порядка (Уссурийский зал.). В верхней части Татарского пролива (севернее 50° с. ш.) также неоднократно присутствовал в уловах донного трала. Однако в целом продолжал держаться предпочтительно на материковом склоне, не образуя больших скоплений.
Осенью кристаллиновый липарис образовывал скопления с повышенными концентрациями вдоль материкового склона зал. Петра Великого и глубоководной части Татарского пролива между материком и Сахалином (рис. 3г). В Северном Приморье относительно высокие уловы вида отмечались также в узкой полосе вдоль материкового склона. При этом в северной, мелководной, части Татарского пролива всё ещё продолжали фиксироваться поимки в тех же местах, что и в летний период.
В целом в течение года в распределении кристаллинового липариса в северной части Японского моря есть определённые закономерности. В зал. Петра Великого вид редко заходит в заливы второго порядка, предпочитая держаться у внешней кромки шельфа. Здесь он образует довольно плотные скопления в западной и восточной частях залива, где находятся участки дна с крутым свалом глубин. В Северном Приморье, как правило, не выделяли участки скоплений, уловы были рассредоточены по всему району. По мере продвижения на север и с расширением шельфа поимки вида смещались к центральной части Татарского пролива, где и отмечали максимальные концентрации. Вдоль сахалинского побережья кристаллиновый липарис встречался эпизодически, отсутствуя на участках с широким шельфом, а его повышенные концентрации отмечали лишь на свале глубин с островной стороны.
Зависимость распределения от температуры придонного слоя воды. Кристаллиновый липарис является стенотермным видом. Отдельные его поимки были зафиксированы при температуре воды от –0.8°C в феврале на шельфе зал. Петра Великого до 5.4°C в водах Северного Приморья. Однако в основном он держался в узком диапазоне температур, более 80% его поимок находилось в границах одного градуса – от 0.6 до 1.5°C (рис. 4).
Рис. 4. Распределение кристаллинового липариса Crystallias matsushimae в российских водах Японского моря в 1978–2018 гг. в зависимости от температуры придонного слоя воды.
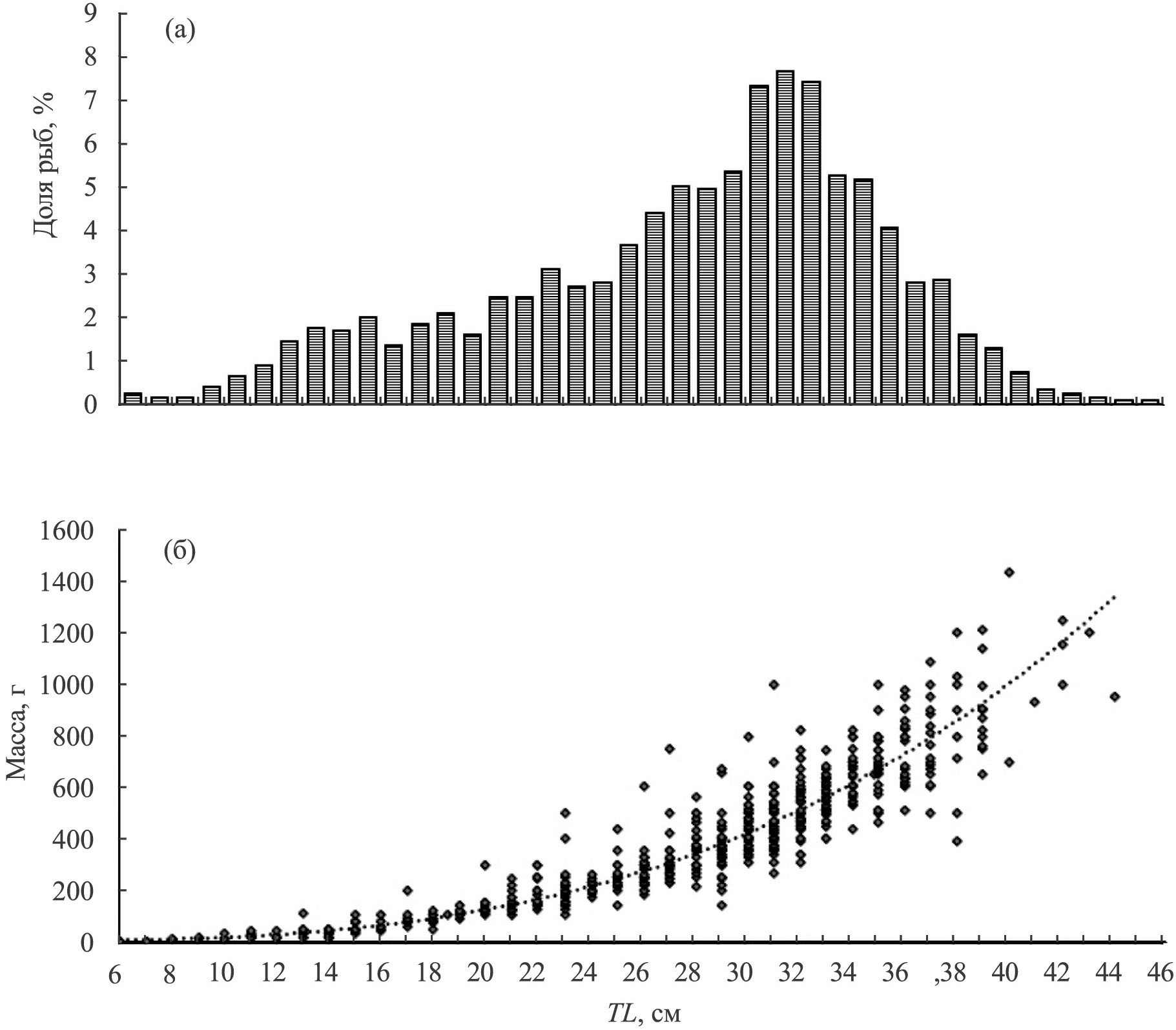
Размерный состав. В уловах донного трала встречались особи кристаллинового липариса TL 6–45 см. Модальную группу составляли рыбы TL 30–32 см (рис. 5а). Зависимость длина–масса у этого вида из вод Японского моря описывалась уравнением: W = 0.0141TL3.0292 (R² = 0.937), где W – масса рыбы, г; TL – общая длина, см (рис. 5б).
Рис. 5. Размерный состав (а) и зависимость массы тела от общей длины (TL) (б) кристаллинового липариса Crystallias matsushimae из траловых уловов в северо-западной части Японского моря в 1978–2018 гг.
Многолетняя динамика биомассы. Средняя биомасса кристаллинового липариса в разных районах с начала 2000-х гг. находилась примерно на одинаковом уровне – 350–450 т. Максимальные оценки запасов в Северном Приморье и у Западного Сахалина превышали 800 т, а в 2014 г. вдоль материкового побережья Татарского пролива достигали 1033 т (рис. 6). В зал. Петра Великого и среднее, и максимальное значения оценки запасов были гораздо ниже – соответственно 108 и 426 т. С начала 2000-х гг. наблюдалось увеличение биомассы кристаллинового липариса в северной части Японского моря, в зал. Петра Великого пик приходился на 2010–2012 гг., в остальных районах – на 2013–2016 гг.
Рис. 6. Многолетняя динамика биомассы кристаллинового липариса Crystallias matsushimae в разных районах северо-западной части Японского моря по данным донных траловых съёмок: (▤) – зал. Петра Великого, (▨) – Северное Приморье, (◧) – Татарский пролив, (■) – Западный Сахалин.
Питание. По нашим данным, кристаллиновый липарис является нектобентофагом, формирующим свой рацион в основном за счёт двух групп кормовых организмов – амфипод (Amphipoda) и мизид (Mysida) (в сумме 85.6%) (табл. 2).
Таблица 2. Состав пищи кристаллинового липариса Crystallias matsushimae разного размера в водах Северного Приморья (апрель–май), % массы
Компонент пищи и другие показатели | Размерная группа, см | В среднем | ||
11–20 | 21–30 | 31–40 | ||
Polychaeta | 29.2 | 1.9 | 1.4 | 2.4 |
Polynoidae gen. spp. | 29.2 | 0.9 | 1.4 | 1.8 |
Polychaeta varia | 1.0 | 0.6 | ||
Isopoda | 2.9 | 1.2 | + | 0.8 |
Amphipoda | 64.6 | 47.3 | 20.1 | 36.0 |
Rhachotropis aculeata | 1.2 | 9.2 | 4.6 | |
Rh. oculata | 5.8 | 20.9 | 3.2 | 12.8 |
Stegocephalus inflatus | 2.1 | 0.9 | ||
Metopa majuscula | 0.2 | 1.1 | 0.8 | |
Syrrhoe crenulata | 4.6 | 0.2 | 0.1 | 0.3 |
Syrrhoe sp. | 44.2 | 23.3 | 2.2 | 14.8 |
Caprella sp. | 10.0 | 0.9 | 0.5 | 0.9 |
Amphipoda varia | 0.6 | 1.7 | 0.9 | |
Mysida | 3.3 | 45.4 | 57.6 | 49.6 |
Inusitatomysis insolita | 37.9 | 47.4 | 41.0 | |
Pseudomma sp. | 3.3 | 6.6 | 10.2 | 8.1 |
Mysida varia | 0.9 | 0.5 | ||
Euphausiacea | 0.6 | 2.6 | 1.4 | |
Decapoda | 2.5 | 14.0 | 7.4 | |
Spirontocaris arcuata | 1.8 | 0.8 | ||
S. brevidigitata | 0.3 | 2.1 | 1.0 | |
S. phippsii | 0.2 | 1.9 | 0.9 | |
Mesocrangon intermedia | 1.5 | 5.5 | 3.2 | |
Pagurus sp. | 2.7 | 1.2 | ||
Decapoda varia | 0.5 | 0.3 | ||
Pisces | 1.1 | 3.7 | 2.2 | |
Прочие | + | 0.6 | 0.2 | |
Средний суточный рацион, % массы тела | 2.5 | 2.0 | 1.4 | 1.7 |
Число желудков, шт. | 5 | 48 | 23 | 76 |
Доля пустых желудков, % | 2.1 | 17.4 | 6.6 | |
Примечание. “+” – доля компонента < ٠.١٪.
Среди второстепенных компонентов его пищи наиболее существенную долю занимали десятиногие раки (Decapoda) и многощетинковые черви (Polychaeta). Молодь липариса TL 11–20 см отдавала предпочтение донным беспозвоночным: амфиподам (преимущественно рода Syrrhoe) и полихетам семейства Polynoidae. По мере роста липариса роль бентоса (особенно полихет) в питании заметно снижалась, но возрастала роль нектобентоса, главным образом, мизид Inusitatomysis insolita и декапод (в основном креветок рода Spirontocaris и шримса Mesocrangon intermedia).
Кроме того, в пище особей TL 21–40 см в небольшом количестве встречались эвфаузииды рода Thysanoessa, а также молодь рогатковых (Cottidae) и бельдюговых (Zoarcidae) рыб.
Наряду с размерно-возрастной, у кристаллинового липариса хорошо выражена батиметрическая изменчивость питания. На шельфе в его рационе доминировали мизиды (58.8% массы), но вследствие значительного роста потребления амфипод по мере увеличения глубины доля мизид, как и доля второстепенных компонентов, сокращалась, в результате чего на материковом склоне амфиподы и мизиды приобретали практически равное значение (соответственно 48.4 и 44.2%) (рис. 7). Выявленные различия, вероятно, связаны с батиметрическими изменениями структуры кормовой базы липариса, однако из-за слабой изученности этого вопроса судить об этом более определённо не представляется возможным.
Рис. 7. Состав пищи (% массы) кристаллинового липариса Crystallias matsushimae на шельфе (а) и материковом склоне (б) Северного Приморья в апреле–мае: 1 – Polychaeta, 2 – Amphipoda, 3 – Mysida, 4 – Decapoda, 5 – Pisces, 6 – прочие.
По нашим расчётам, средняя величина суточного рациона особей кристаллинового липариса TL 11–40 см в весенний период составляла 1.7% массы тела и по мере роста снижалась с 2.5 до 1.4% (табл. 2). Интенсивность питания этого вида на материковом склоне (2.1%) выше, чем на шельфе (1.2%).
ОБСУЖДЕНИЕ
Ряд авторов (Соколовский и др., 2011; Парин и др., 2014) относят кристаллинового липариса к редким видам. По всей видимости, это связано с тем, что в расчёт брались результаты работ на малых глубинах. По материалам нашего исследования, этот вид на глубинах до 51 м встречался лишь в 0.2% уловов, а в диапазоне 51–100 м – в 4.2%. Но если рассматривать рыб мезобентального биотопа, то здесь кристаллиновый липарис является обычным видом, встречаясь практически в каждом третьем улове донного трала.
Для кристаллинового липариса, по нашим данным, характерен оседлый образ жизни – он не совершает продолжительных миграций ни в широтном, ни в батиметрическом направлении. Несмотря на широкий диапазон глубин, на которых были зафиксированы его поимки, в основном он предпочитал верхний отдел материкового склона (201–500 м). По всей видимости, для него характерно откочёвывание в зимний период на бо́льшие глубины. Для зимнего и весеннего периодов отмечены его значительные концентрации в диапазоне 401–500 м, а также высокие уловы на глубинах 501–700 м. Савин (2014) для Южных Курил причисляет кристаллинового липариса к массовым видам в диапазоне 300–400 м в весенний период. Вероятно, отличающиеся гидрологические условия и обилие глубоководных видов рыб (в первую очередь, отсутствующих в Японском море макрурусов) приводят к тому, что здесь для кристаллинового липариса характерен более узкий вертикальный диапазон обитания, а зимует он на меньших глубинах, чем в япономорской зоне.
В летний и осенний периоды кристаллиновый липарис предпочитает глубины 201–300 м. В это время он рассредоточен и не образует плотных скоплений, в осенний период его концентрации повышаются, так что именно осенью отмечены наиболее высокие уловы этого вида в течение года (рис. 3).
Для кристаллинового липариса характерны крупная икра (диаметром 4–5 мм) и отсутствие пелагической стадии у личинок, что также приводит к сужению зоны расселения (Tohkairin et al., 2015). Эти авторы выдвигают предположение о том, что такой оседлый образ жизни при отсутствии географических барьеров привёл к возникновению в Японском море двух морф кристаллинового липариса – жёлтой и красной. Российская зона Японского моря входит в сегмент, где обитает только красная морфа; в экспедициях, в которых принимали участие авторы настоящей работы, не отмечено ни одной поимки особей жёлтой морфы.
В Северном Приморье поимки кристаллинового липариса зарегистрированы вблизи береговой линии в отличие от других районов северной части моря. По всей видимости, здесь причина такая же, как и для некоторых других видов, обитающих преимущественно на материковом склоне, например, японской лисички Percis japonica (Pallas, 1769) (Соломатов, Антоненко, 2023). Отсутствие широкой шельфовой зоны в этой части Японского моря позволяет не совершать протяжённые миграции, чтобы выйти на минимальные глубины обитания.
В уловах донного трала преобладали взрослые особи кристаллинового липариса, модальной размерной группы 30–32 см. Связано это может быть с разными причинами. Во-первых, с селективностью донного трала: рыбы малых размеров элементарно не улавливаются и проходят через ячею крыльев трала. Во-вторых, благодаря своей присоске, которая у мелких особей относительно более крупная (Линдберг, Красюкова, 1987), липаровые могут закрепляться на грунте и не улавливаться тралом (Панченко, Пущина, 2022).
По характеру питания большинство исследованных видов липаровых рыб относят к бенто- или нектобентофагам (Токранов, 2000; Чучукало, 2006; Токранов, Орлов, 2014). Имея относительно большинства рыб мезобентального биотопа сравнительно невысокий средний суточный рацион и биомассу, кристаллиновый липарис занимает незначительную долю в выедании различных гидробионтов на материковом склоне Японского моря. По составу пищевого рациона среди массовых и обычных видов рыб шельфа и материкового склона Северного Приморья кристаллиновый липарис имеет наибольшее сходство с охотским липарисом Liparis ochotensis Schmidt, 1904, пёстрым получешуйником Hemilepidotus gilberti Jordan et Starks, 1904 и навагой Eleginus gracilis (Tilesius, 1810) (Пущина, Соломатов, 2018).
ЗАКЛЮЧЕНИЕ
Кристаллиновый липарис является обычным видом в северной части Японского моря, где частота его встречаемости составляет ~30%. При этом биомасса его лишь в отдельные годы превышает 800 т в разных исследованных районах, обычно находясь на уровне 350–450 т. Основными местами скоплений кристаллинового липариса в Японском море являются материковый склон зал. Петра Великого и центральная часть Татарского пролива.
В водах Северного Приморья кристаллиновый липарис является нектобентофагом, формирующим свой рацион в основном за счёт двух групп беспозвоночных – амфипод (36.0%) и мизид (49.6%). По мере роста липариса роль бентоса (амфипод, полихет) в его пище сокращается и возрастает роль нектобентоса (преимущественно мизид и декапод). В весенний период средняя величина суточного рациона составляет 1.7% массы тела, при этом интенсивность питания вида на материковом склоне выше, чем на шельфе (соответственно 2.1 и 1.2%).
Несмотря на относительно широкий диапазон температуры воды и глубин, при которых в уловах встречался кристаллиновый липарис, предпочтительными для него являются довольно узкие термические и батиметрические границы: 0.6–1.5°C и 200–500 м.
Об авторах
С. Ф. Соломатов
Национальный научный центр морской биологии Дальневосточного отделения РАН – ННЦМБ ДВО РАН
Автор, ответственный за переписку.
Email: solosf@yandex.ru
Россия, Владивосток
О. И. Пущина
Всероссийский научно-исследовательский институт рыбного хозяйства и океанографии – ТИНРО
Email: solosf@yandex.ru
Тихоокеанский филиал
Россия, ВладивостокН. Л. Асеева
Всероссийский научно-исследовательский институт рыбного хозяйства и океанографии – ТИНРО
Email: solosf@yandex.ru
Тихоокеанский филиал
Россия, ВладивостокСписок литературы
- Аксютина З.М. 1968. Элементы математической оценки результатов наблюдений в биологических и рыбохозяйственных исследованиях. М.: Пищ. пром-сть, 289 с.
- Борец Л.А. 1997. Донные ихтиоцены российского шельфа дальневосточных морей: состав, структура, элементы функционирования и промысловое значение. Владивосток: Изд-во ТИНРО-центр, 217 с.
- Борец Л.А. 2000. Аннотированный список рыб дальневосточных морей. Владивосток: Изд-во ТИНРО-центр, 192 с.
- Гаврилов Г.М., Пушкарева Н.Ф., Стрельцов М.С. 1988. Состав и биомасса донных и придонных рыб экономической зоны СССР Японского моря // Изменчивость состава ихтиофауны, урожайности поколений и методы прогнозирования запасов рыб в северной части Тихого океана. Владивосток: Изд-во ТИНРО. С. 37–55.
- Зуенко Ю.И. 1994. Типы термической стратификации вод на шельфе Приморья // Комплексные исследования морских гидробионтов и условий их обитания. Владивосток: Изд-во ТИНРО. С. 20–39.
- Линдберг Г.У., Красюкова З.В. 1987. Рыбы Японского моря и сопредельных частей Охотского и Желтого морей. Ч. 5. Л.: Наука, 526 с.
- Методическое пособие по изучению питания и пищевых отношений рыб в естественных условиях. 1974. М.: Наука, 254 с.
- Новиков Н.П., Соколовский А.С., Соколовская Т.Г., Яковлев Ю.М. 2002. Рыбы Приморья. Владивосток: Изд-во Дальрыбвтуз, 552 с.
- Новикова Н.С. 1949. О возможности определения суточного рациона рыб в естественных условиях // Вестн. МГУ. № 9. С. 107–111.
- Панченко В.В., Пущина О.И. 2022. Распределение, размерный состав и питание охотского липариса Liparis ochotensis (Liparidae) в водах Приморья (Японское море) // Вопр. ихтиологии. Т. 62. № 1. С. 69–78. https://doi.org/10.31857/S004287522201012X
- Парин Н.В., Евсеенко С.А., Васильева Е.Д. 2014. Рыбы морей России: аннотированный каталог. М.: Т-во науч. изд. КМК, 733 с.
- Питрук Д.Л. 1990. Предварительный список видового состава и распространение рыб семейства Liparididae в Охотском море // Тр. ЗИН АН СССР. Т. 213. С. 35–45.
- Пущина О.И., Соломатов С.Ф. 2018. Структура потребления пищевых ресурсов демерсальными рыбами на шельфе Северного Приморья (Японское море) в ранневесенний период // Матер. IX Всерос. науч.-практ. конф. “Природные ресурсы, их современное состояние, охрана, промысловое и техническое использование”. Петропавловск-Камчатский: Изд-во КГТУ. С. 79–83.
- Савин А.Б. 2014. Батиметрические группировки демерсальных рыб на склоне и внешнем крае шельфа с океанской стороны южных Курильских островов в весенний период // Изв. ТИНРО. Т. 177. С. 167–181. https://doi.org/10.26428/1606-9919-2014-177-167-181
- Соколовский А.С., Дударев В.А., Соколовская Т.Г., Соломатов С.Ф. 2007. Рыбы российских вод Японского моря: аннотированный и иллюстрированный каталог. Владивосток: Дальнаука, 200 с.
- Соколовский А.С., Соколовская Т.Г., Яковлев Ю.М. 2011. Рыбы залива Петра Великого. Владивосток: Дальнаука, 431 с.
- Соломатов С.Ф, Антоненко Д.В. 2023. Распределение японской лисички Percis japonica (Agonidae) в российских водах Японского моря // Вопр. ихтиологии. Т. 63. № 2. С. 144–151. https://doi.org/10.31857/S004287522302025X
- Сон Ён Хо. 1986. О распределении рыб в прибрежных водах Восточного моря // Тр. Вонсан. ин-та рыб. хоз-ва Восточного моря. № 1. С. 132–150.
- Токранов А.М. 2000. Питание липаровых рыб (Liparidae) в тихоокеанских водах юго-восточной Камчатки и северных Курильских островов // Вопр. ихтиологии Т. 40. № 4. С. 530–536.
- Токранов А.М, Орлов А.М. 2014. Особенности распределения, экология и динамика уловов щелеглазого липариса Crystallichthys mirabilis (Liparidae) в тихоокеанских водах северных Курильских островов и юго-восточной Камчатки // Там же. Т. 54. № 3. С. 323–331. https://doi.org/10.7868/S0042875214030151
- Федоров В.В. 2000. Видовой состав, распределение и глубины обитания видов рыбообразных и рыб северных Курильских островов // Промыслово-биологические исследования рыб в тихоокеанских водах Курильских островов и прилежащих районах Охотского и Берингова морей в 1992–1998 гг. М.: Изд-во ВНИРО. С. 7–41.
- Федоров В.В., Парин Н.В. 1998. Пелагические и бентопелагические рыбы тихоокеанских вод России (в пределах 200-мильной экономической зоны). М.: Изд-во ВНИРО, 154 с.
- Чучукало В.И. 2006. Питание и пищевые отношения нектона и нектобентоса в дальневосточных морях. Владивосток: Изд-во ТИНРО-Центр, 483 с.
- Чучукало В.И., Напазаков В.В. 1999. К методике определения суточных рационов питания и скорости переваривания пищи у хищных и бентосоядных рыб // Изв. ТИНРО. Т. 126. С. 160–171.
- Chernova N.V., Stein D.L., Andriashev A.P. 2004. Family Liparidae Scopoli 1777 – snailfishes // Annotated Checklists of Fishes. № 31. San Francisco: Calif. Acad. Sci. , 72 p.
- Fricke R., Eschmeyer W.N., van der Laan R. (eds.). 2023. Eschmeyerʼs catalog of fishes: genera, species, references (http://researcharchive.calacademy.org/research/ichthyology/catalog/fishcatmain.asp. Version 05/2023).
- Kim I.S., Choi Y., Lee C.L. et al. 2005. Illustrated book of Korean fishes. Seoul: Kyo-Hak Publ., 615 p.
- Matsuzaki K., Mori T., Kai Y. et al. 2022. Morphological development of laboratory-reared Crystallichthys matsushimae (Cottoidei: Liparidae) // Ichthyol. Res. V. 69. № 4. P. 505–512. https://doi.org/10.1007/s10228-021-00853-y
- Nakabo T. 2002. Fishes of Japan with pictorial keys and species. V. I–II. Tokyo: Tokai Univ. Press, 1749 p.
- Tohkairin A., Kai Y., Ueda Y. et al. 2015. Morphological divergence between two color morphotypes of Crystallichthys matsushimae (Cottoidei: Liparidae) // Ichthyol. Res. P. 145–155. V. 62. № 2. https://doi.org/10.1007/s10228-014-0414-y
Дополнительные файлы









