Качественная оценка состояния и условий эксплуатации запаса сельди-черноспинки Alosa kessleri kessleri (Alosidae) дельты реки Волга на основе метода LBI
- Авторы: Сафаралиев И.А.1, Войнова Т.В.1, Лепилина И.Н.1
-
Учреждения:
- Волжско-Каспийский филиал Всероссийского научно-исследовательского института рыбного хозяйства и океанографии – КаспНИРХ
- Выпуск: Том 63, № 5 (2023)
- Страницы: 569-581
- Раздел: Статьи
- URL: https://journals.rcsi.science/0042-8752/article/view/135232
- DOI: https://doi.org/10.31857/S0042875223050119
- EDN: https://elibrary.ru/RKINSB
- ID: 135232
Цитировать
Полный текст
Аннотация
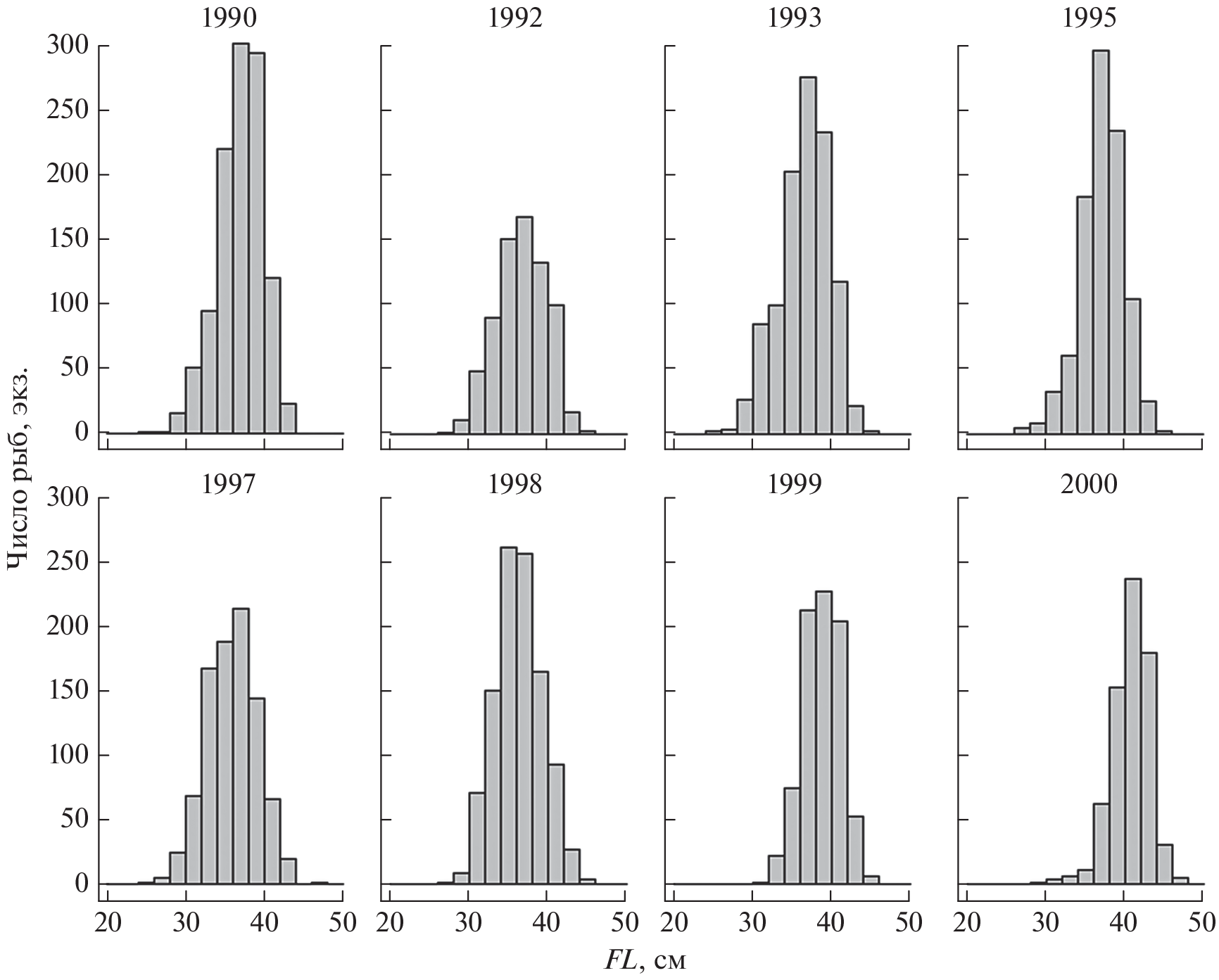
Приведены результаты качественной оценки запаса сельди-черноспинки Alosa kessleri kessleri дельты р. Волга. Использованы данные размерного состава уловов сельди-черноспинки, мигрировавшей на нерестилища р. Волга в период активного промысла вида в 1990–2000 гг., и современные данные 2016–2021 гг., когда для вида были характерны низкие биологические показатели после периода резкого сокращения запаса в начале 2000-х гг. Применён метод Length based indicators, относящийся к методам с ограниченной информацией о запасе, на основании которого определены статусы индикаторов сельди-черноспинки для 1990–2000 и 2016–2021 гг. Использование этого метода позволило оценить качественное состояние запаса и воздействие на него промысла в рассмотренные периоды. Результаты могут быть использованы в рекомендациях по регулированию промысла сельди-черноспинки.
Об авторах
И. А. Сафаралиев
Волжско-Каспийский филиал Всероссийского научно-исследовательского института рыбного хозяйства и океанографии – КаспНИРХ
Email: safaraliev.i.a@mail.ru
Россия, Астрахань
Т. В. Войнова
Волжско-Каспийский филиал Всероссийского научно-исследовательского института рыбного хозяйства и океанографии – КаспНИРХ
Email: safaraliev.i.a@mail.ru
Россия, Астрахань
И. Н. Лепилина
Волжско-Каспийский филиал Всероссийского научно-исследовательского института рыбного хозяйства и океанографии – КаспНИРХ
Автор, ответственный за переписку.
Email: safaraliev.i.a@mail.ru
Россия, Астрахань
Список литературы
- Бабаян В.К., Бобырев А.Е., Булгакова Т.И. и др. 2018. Методические рекомендации по оценке запасов приоритетных видов водных биологических ресурсов. М.: Изд-во ВНИРО, 312 с.
- Беляева В.Н., Казанчеев Е.Н., Распопов В.М. 1989. Каспийское море. М.: Наука, 236 с.
- Бэр К.М. 1854. Материалы для истории рыболовства в России и в принадлежащих ей морях // Учен. зап. Императ. АН по первому и третьему отделениям. Т. 2. № 4. С. 465–544.
- Водовская В.В. 2001. Проходная сельдь (Alosa kessleri Grimm) Каспия: запасы и перспективы промыслового использования // Состояние запасов промысловых объектов на Каспии и их использование. Астрахань: Изд-во КаспНИРХ. С. 246–252.
- Войнова Т.В. 2013. Динамика уловов и биологические показатели сельди-черноспинки в Волго-Каспийском рыбохозяйственном подрайоне в современных условиях (река Волга и ее водотоки) // Вестн. АГТУ. Сер. Рыб. хоз-во. № 3. С. 25–29.
- Войнова Т.В., Барабанов В.В., Чаплыгин В.А. 2022. О причинах снижения нерестового запаса сельди-черноспинки на Нижней Волге // Вопр. рыболовства. Т. 23. № 2. С. 189–200. https://doi.org/10.36038/0234-2774-2022-23-2-189-200
- Голубов Б.Н., Катунин Д.Н. 2002. Импульс гидровулканизма и дегазации недр Дербентской котловины как возможный фактор массовой гибели рыбы в Каспийском море весной 2001 г. // Матер. Междунар. конф. “Дегазация Земли: геодинамика, геофлюиды, нефть и газ”. М.: ГЕОС. С. 31–33.
- Гримм О.А. 1887. Астраханская селедка. СПб: Тип. В. Демакова, 43 с.
- Зыков Л.А., Сидорова М.А., Кушнаренко А.И. и др. 2000. Состояние запасов и прогноз добычи полупроходных и речных рыб, проходной сельди и белорыбицы на 2001 г. в водоемах России и северокаспийского района // Рыбохозяйственные исследования на Каспии: Результаты НИР за 1999 г. Астрахань: Изд-во КаспНИРХ. С. 103–108.
- Иванов В.П. 2000. Биологические ресурсы Каспийского моря. Астрахань: Изд-во КаспНИРХ, 100 с.
- Кесслер К.Ф. 1874. Описание рыб, принадлежащих къ семействамъ, общим Черному и Каспийскому морям // Тр. СПб о-ва естествоиспытателей. Т. 5. Вып. 1. С. 191–324.
- Кесслер К.Ф. 1877. Рыбы, водящиеся и встречающиеся в Арало-Каспийско-Понтийской ихтиологической области // Тр. Арало-Касп. экспед. Вып. 4. 399 с.
- Киселевич К.А. 1937. Сельди Северного Каспия (научно-популярный очерк). Сталинград: Обл. книгоизд-во, 92 с.
- Козоброд И.Д., Пятинский M.M., Власенко Е.С. 2021. Индикаторная оценка состояния популяции рыбца в условиях дефицита биологической информации в Азовском море методом LBI // Рыб. хоз-во. № 3. С. 68–75.
- Лепилина И.Н., Николенков А.А., Войнова Т.В., Степанова Т.Г. 2016. Состояние запасов сельди-черноспинки, биологические, физиолого-биохимические показатели и трофологический анализ производителей, мигрирующих в реку Волгу // Вестн. АГТУ. Сер. Рыб. хоз-во. № 2. С. 43–52
- Лукашов В.Н. 1970. Метод расчета наименьшей промысловой меры на рыбу // Тр. ВНИРО. Т. 71. № 2. С. 281–293.
- Мина М.В., Клевезаль Г.А. 1976. Рост животных. М.: Наука, 291 с.
- Правдин И.Ф. 1966. Руководство по изучению рыб. М.: Пищ. пром-сть, 323 с.
- Седов С.И., Парицкий Ю.А., Зыков Л.А. и др. 2004. Состояние запасов каспийских морских рыб и перспективы их промыслового использования // Рыбохозяйственные исследования на Каспии: Результаты НИР за 2003 г. Астрахань: Изд-во КаспНИРХ. С. 360–368.
- Судаков Г.А., Власенко А.Д., Ходоревская Р.П. и др. 2011. Инструкции по сбору и первичной обработке материалов водных биоресурсов Каспийского бассейна и среды их обитания. Астрахань: Изд-во КаспНИРХ, 193 с.
- Тюрин П.В. 1962. Фактор естественной смертности рыб и его значение при регулировании рыболовства // Вопр. ихтиологии. Т. 2. Вып. 3 (24). С. 403–427.
- Чугунова Н.И. 1959. Руководство по изучению возраста и роста рыб. М.: Изд-во АН СССР, 164 с.
- Шибаев С.В. 2014. Промысловая ихтиология. Калининград: Аксиос, 535 с.
- Bertalanffy L. 1964. Basic concepts in quantitative biology of metabolism // Helgoländ. Wiss. Meeresunter. V. 9. P. 5–37. https://doi.org/10.1007/BF01610024
- Beverton R.J.H. 1987. Longevity in fish: some ecological and evolutionary considerations // Evolution of longevity in animals. Boston: Springer. P. 161–185. https://doi.org/10.1007/978-1-4613-1939-9_12
- Caddy J.F., Wade E., Surette T. et al. 2005. Using an empirical traffic light procedure for monitoring and forecasting in the Gulf of St. Lawrence fishery for the snow crab, Chio-noecetes opilio // Fish. Res. V. 76. № 1. P. 123–145. https://doi.org/10.1016/j.fishres.2005.06.003
- Cope J.M., Punt A.E. 2009. Length-based reference points for data-limited situations: applications and restrictions // Mar. Coast. Fish. V. 1. № 1. P. 169–186. https://doi.org/10.1577/C08-025.1
- Craig J.F. 1985. Aging in fish // Can. J. Zool. V. 63. № 1. P. 1–8. https://doi.org/10.1139/z85-001
- Froese R. 2004. Keep it simple: Three indicators for controlling overfishing // Fish Fish. V. 5. № 1. P. 86–91. https://doi.org/10.1111/j.1467-2979.2004.00144.x
- Froese R., Binohlan C. 2000. Empirical relationships to estimate asymptotic length, length at first maturity and length at maximum yield per recruit in fishes, with a simple method to evaluate length frequency data // J. Fish Biol. V. 56. № 4. P. 758–773. https://doi.org/10.1111/j.1095-8649.2000.tb00870.x
- Hordyk A.R., Ono K., Sainsbury K.J. et al. 2015a. Some explorations of the life history ratios to describe length composition, spawning-per-recruit, and the spawning potential ratio // ICES J. Mar. Sci. V. 72. № 1. P. 204–216. https://doi.org/10.1093/icesjms/fst235
- Hordyk A.R., Ono K., Valencia S.R. et al. 2015b. A novel length-based empirical estimation method of spawning potential ratio (SPR), and tests of its performance, for small-scale, data-poor fisheries // Ibid. V. 72. № 1. P. 217–231. https://doi.org/10.1093/icesjms/fsu004
- ICES. 2014. Report of the workshop on the development of quantitative assessment methodologies based on life-history traits, exploitation characteristics and other relevant parameters for data-limited stocks (WKLIFE IV) // ICES CM 2014/ACOM:54. Copenhagen: ICES Headquarters, 223 p.
- ICES. 2015. Report of the fifth workshop on the development of quantitative assessment methodologies based on life-history traits, exploitation characteristics and other relevant parameters for data-limited stocks (WKLIFE V) // ICES CM 2015/ACOM:56. Copenhagen: ICES Headquarters, 157 p.
- ICES. 2018. Technical Guidelines – ICES reference points for stocks in categories 3 and 4 // ICES Tech. Guidelines. Report. Copenhagen: ICES Headquarters, 50 p. https://doi.org/10.17895/ices.pub.4128
- ICES. 2020. Baltic fisheries assessment working group (WGBFAS) // ICES Sci. Rep. V. 2. № 45. 643 p. https://doi.org/10.17895/ices.pub.6024
- McDonald G., Harford B., Arrivillaga A. et al. 2017. An indicator-based adaptive management framework and its development for data-limited fisheries in Belize // Mar. Policy. V. 76. P. 28–37. https://doi.org/10.1016/j.marpol.2016.11.027
- Ogle D.H., Wheeler P., Dinno A. 2021. FSA: Fisheries Stock Analysis. R package version 0.8.32 (https://github.com/ droglenc/FSA. Version 09/2022).
- Probst W.N., Kloppmann M., Kraus G. 2013. Indicator-based status assessment of commercial fish species in the North Sea according to the EU Marine Strategy Framework Directive (MSFD) // ICES J. Mar. Sci. V. 70. № 3. P. 694–706. https://doi.org/10.1093/icesjms/fst010
- R Core Team. 2021. R: A language and environment for statistical computing. R Foundation for Statistical Computing, Vienna, Austria (https://www.R-project.org. Version 09/2022).
- Solemdal P. 1997. Maternal effects – a link between the past and the future // J. Sea Res. V. 37. № 3–4. P. 213–227. https://doi.org/10.1016/S1385-1101(97)00029-4
Дополнительные файлы




























