Вкусовые предпочтения карповых рыб (Cyprinidae). Сравнительное исследование
- Авторы: Касумян А.О.1, Исаева О.М.2
-
Учреждения:
- Московский государственный университет
- Камчатский государственный технический университет
- Выпуск: Том 63, № 1 (2023)
- Страницы: 81-109
- Раздел: Статьи
- URL: https://journals.rcsi.science/0042-8752/article/view/135157
- DOI: https://doi.org/10.31857/S0042875223010071
- EDN: https://elibrary.ru/DBWSTD
- ID: 135157
Цитировать
Полный текст
Аннотация
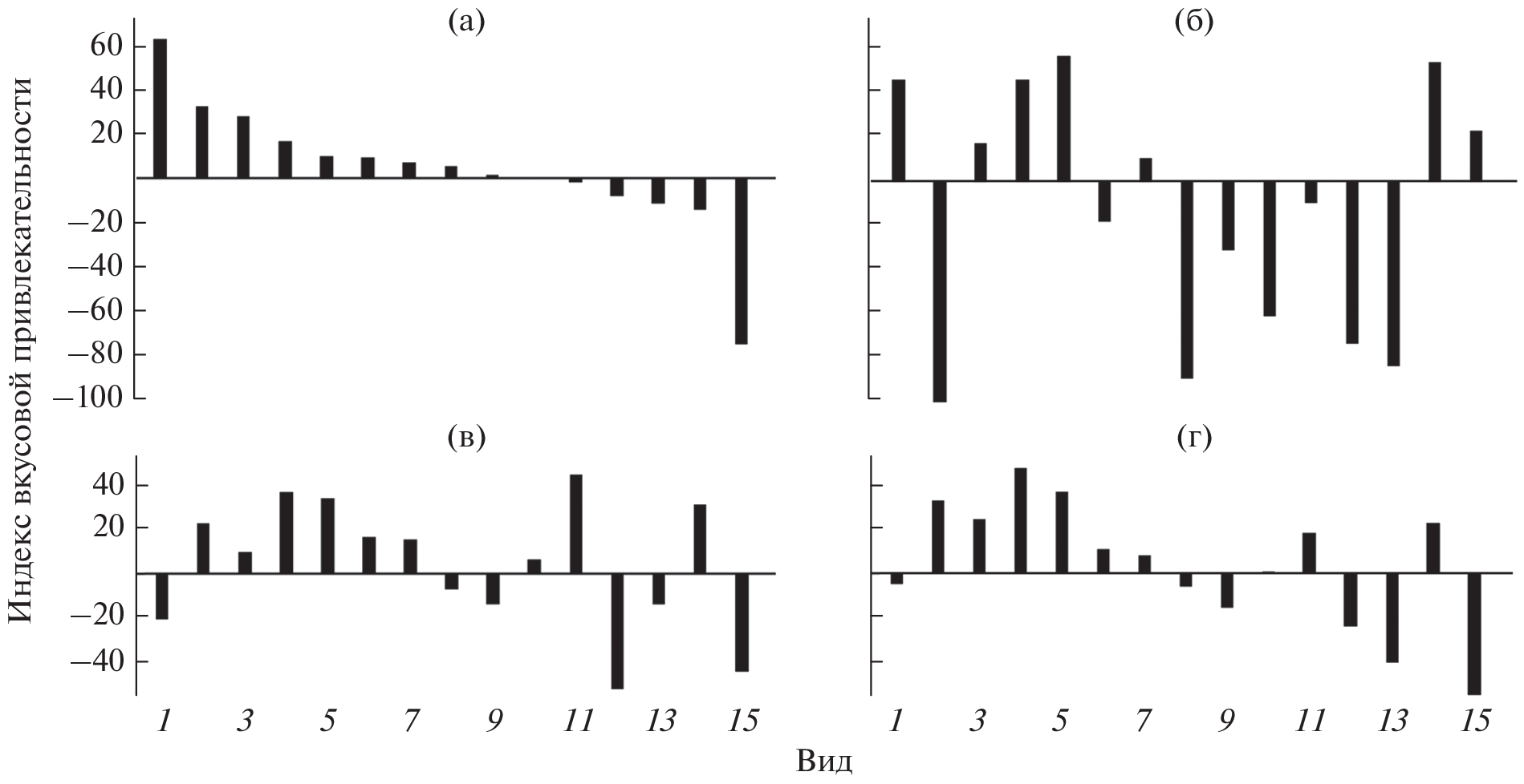
Приведены сведения о вкусовой привлекательности различных веществ (аминокислот, карбоновых и некоторых органических кислот, классических вкусовых веществ) для восьми видов карповых рыб (Cyprinidae) – леща Abramis brama, обыкновенного горчака Rhodeus sericeus amarus, верховки Leucaspius delineatus, золотого карася Carassius carassius, уклеи Alburnus alburnus, ельца Leuciscus leuciscus, голавля L. cephalus и суматранского барбуса Puntigrus tetrazona. Оценён уровень вкусовой чувствительности рыб к некоторым веществам. С привлечением данных по другим видам семейства выполнен сравнительный анализ, который показал высокое видовое своеобразие вкусовых спектров карповых рыб. Не выявлена очевидная связь вкусовых предпочтений с образом жизни рыб, их питанием и филогенетической близостью. Все карповые рыбы удерживают пищевые объекты во рту тем дольше, чем выше их вкусовая привлекательность. Число манипуляций, совершаемых всеми рыбами с пищевым объектом, различается у рыб разного образа жизни и принадлежащих к разным трофическим категориям, но не коррелирует со вкусовыми свойствами объекта. При манипуляциях первое удержание схваченного объекта во рту наиболее длительное, чем последующие. Удержания многократно дольше, если в дальнейшем объект проглатывается, чем при отказе рыб от потребления. Большое сходство поведения, проявляемое карповыми рыбами при оросенсорном тестировании пищи, указывает на консервативность пищевого поведения по сравнению со вкусовой рецепцией.
Об авторах
А. О. Касумян
Московский государственный университет
Email: alex_kasumyan@mail.ru
Россия, Москва
О. М. Исаева
Камчатский государственный технический университет
Автор, ответственный за переписку.
Email: alex_kasumyan@mail.ru
Россия, Петропавловск-Камчатский
Список литературы
- Атлас пресноводных рыб России. 2003. Т. 1. М.: Наука, 379 с.
- Виноградская М.И., Михайлова Е.С., Касумян А.О. 2017. Вкусовые предпочтения, оросенсорное тестирование и генерация звуков при питании у жемчужного гурами Trichopodus leerii (Osphronemidae) // Вопр. ихтиологии. Т. 57. № 3. С. 324–337. https://doi.org/10.7868/S004287521703016X
- Дмитриева Е.Н. 1957. Морфо-экологический анализ двух видов карася // Тр. ИМЖ. Вып. 16. С. 102–170.
- Егоров А.Г. 1988. Рыбы водоемов юга Восточной Сибири (карпообразные, трескообразные, окунеобразные). Иркутск: Изд-во ИГУ, 328 с.
- Жуков П.И. 1965. Рыбы Белоруссии. Минск: Наука и техника, 415 с.
- Касумян A.O. 2016. Вкусовая привлекательность и физико-химические и биологические свойства свободных аминокислот (на примере рыб) // Журн. эволюц. биохимии и физиологии. Т. 52. № 4. С. 245–254.
- Касумян А.О., Виноградская М.И. 2019. Вкусовая привлекательность желчных веществ для рыб // Вопр. ихтиологии. Т. 59. № 4. С. 473–482. https://doi.org/10.1134/S0042875219040118
- Касумян А.О., Марусов Е.А. 2003. Поведенческие ответы интактных и хронически аносмированных обыкновенных гольянов Phoxinus phoxinus (Cyprinidae) на свободные аминокислоты // Вопр. ихтиологии. Т. 43. № 4. С. 528–539.
- Касумян А.О., Михайлова Е.С. 2014. Вкусовые предпочтения и пищевое поведение трёхиглой колюшки Gasterosteus aculeatus популяций бассейнов Атлантического и Тихого океанов // Вопр. ихтиологии. Т. 54. № 4. С. 446–469. https://doi.org/10.7868/S004287521404002X
- Касумян А.О., Морси А.М.Х. 1996. Вкусовая чувствительность карпа к свободным аминокислотам и классическим вкусовым веществам // Вопр. ихтиологии. Т. 36. № 3. С. 386–399.
- Касумян А.О., Морси А.М.Х. 1997. Вкусовые предпочтения классических вкусовых веществ молоди белого амура, Ctenopharyngodon idella (Cyprinidae, Pisces), выращенной на животном и растительном корме // ДАН. Т. 357. № 2. С. 284–286.
- Касумян А.О., Прокопова О.М. 2001. Вкусовые предпочтения и динамика вкусового поведенческого ответа у линя Tinca tinca (Cyprinidae) // Вопр. ихтиологии. Т. 41. № 5. С. 670–685.
- Касумян А.О., Сидоров С.С. 1992. Вкусовая чувствительность кеты Oncorhynchus keta к основным типам вкусовых раздражителей и аминокислотам // Сенсорные системы. Т. 6. № 3. С. 100–103.
- Касумян А.О., Тинькова Т.В. 2013. Вкусовая привлекательность различных гидробионтов для плотвы Rutilus rutilus, горчака Rhodeus sericeus amarus и радужной форели Parasalmo (=Oncorhynchus) mykiss // Вопр. ихтиологии. Т. 53. № 4. С. 479–489. https://doi.org/10.7868/S0042875213040024
- Михайлова Е.С., Касумян А.О. 2015. Вкусовые предпочтения и пищевое поведение девятииглой колюшки Pungitius pungitius популяций бассейнов Атлантического и Тихого океанов // Вопр. ихтиологии. Т. 55. № 5. С. 541–564. https://doi.org/10.7868/S0042875215050112
- Михайлова Е.С., Касумян А.О. 2018. Вкусовые свойства карбоновых кислот для девятииглой колюшки Pungitius pungitius // Вопр. ихтиологии. Т. 58. № 4. С. 496–502. https://doi.org/10.1134/S0042875218040124
- Михайлова Е.С., Касумян А.О. 2021. Вкусовые предпочтения и оросенсорное тестирование пищи у мраморного гурами Trichopodus trichopterus (Osphronemidae, Perciformes) // Вопр. ихтиологии. Т. 61. № 6. С. 697–712. https://doi.org/10.31857/S0042875221060126
- Никольский Г.В. 1974. Экология рыб. М.: Высшая школа, 174 с.
- Никольский Г.В., Громичева Н.А., Морозова Г.И., Пикулева В.А. 1947. Рыбы бассейна верхней Печоры // Рыбы бассейна верхней Печоры. М.: Изд-во МОИП. С. 5–202.
- Пащенко Н.И., Касумян А.О. 2017. Развитие органа обоняния в онтогенезе карповых рыб (Cyprinidae, Teleostei) // Вопр. ихтиологии. Т. 57. № 1. С. 96–111. https://doi.org/10.7868/S0042875217010106
- Соболев Я.А. 1970. Пищевые взаимоотношения молоди белого амура, обыкновенного толстолобика и карпа при совместном выращивании в прудах Белоруссии // Вопр. ихтиологии. Т. 10. № 4. С. 711–718.
- Соин С.Г. 1963. Морфоло-экологические особенности развития белого амура и толстолобика // Проблемы рыбохозяйственного использования растительноядных рыб в водоемах СССР. Ашхабад: Изд-во АН ТуркмССР. С. 100–137.
- Спановская В.Д., Григораш В.А. 1961. Суточный ритм питания некоторых карповых рыб // Вопр. ихтиологии. Т. 1. № 2. С. 297–306.
- Справочник по химическому составу и технологическим свойствам водорослей, беспозвоночных и морских млекопитающих. 1999. М.: Изд-во ВНИРО, 262 с.
- Строганов Н.С. 1963. Избирательная способность амуров к пище // Проблемы рыбохозяйственного использования растительноядных рыб в водоемах СССР. Ашхабад: Изд-во АН ТуркмССР. С. 181–191.
- Шапошникова Г.Х. 1964. Биология и распределение рыб в реках Уральского типа. М.: Наука, 349 с.
- Adams M.A., Johnsen P.B., Zhou H.Q. 1988. Chemical enhancement of feeding for the herbivorous fish Tilapia zillii // Aquaculture. V. 72. № 1–2. P. 95–107. https://doi.org/10.1016/0044-8486(88)90150-0
- Appelbaum S. 1980. Versuche zur Geschmacksperzeption einiger Süßwasserfische im larvalen und adulten Stadium // Arch. Fischereiwiss. V. 31. № 2. P. 105–114.
- Bănărescu P., Coad B.W. 1991. Cyprinids of Eurasia // Cyprinid fishes. Dordrecht: Springer. P. 127–155. https://doi.org/10.1007/978-94-011-3092-9_5
- Beveridge M.C.M., Begum M., Frerichs G.N., Millar S. 1989. The ingestion of bacteria in suspension by the tilapia Oreochromis niloticus // Aquaculture. V. 81. № 3–4. P. 373–378. https://doi.org/10.1016/0044-8486(89)90161-0
- Bonar S.A., Sehgal H.S., Pauley G.B., Thomas G.L. 1990. Relationship between the chemical composition of aquatic macrophytes and their consumption by grass carp, Ctenopharyngodon idella // J. Fish Biol. V. 36. № 2. P. 149−157. https://doi.org/10.1111/j.1095-8649.1990.tb05591.x
- Bowen S.H. 1982. Feeding, digestion and growth-qualitative considerations // The biology and culture of tilapias. Manila: ICLARM. P. 141–156.
- Breslin P.A., Kaplan J.M., Spector A.C. et al. 1993. Lick rate analysis of sodium taste-state combinations // Am. J. Physiol. V. 264. № 2. P. R312–R318. https://doi.org/10.1152/ajpregu.1993.264.2.R312
- Briolay J., Galtier N., Brito M., Bouvet Y. 1998. Molecular phylogeny of Cyprinidae inferred from cytochrome b DNA sequences // Mol. Phylogenet. Evol. V. 9. № 1. P. 100–108. https://doi.org/10.1006/mpev.1997.0441
- Brown M.R., Miller K.A. 1992. The ascorbic acid content of eleven species of microalgae used in mariculture // J. Appl. Phycol. V. 4. № 3. P. 205–215. https://doi.org/10.1007/BF02161206
- Cai W., He S., Liang X.-F., Yuan X. 2018. DNA methylation of T1R1 gene in the vegetarian adaptation of grass carp Ctenopharyngodon idella // Sci. Rep. V. 8. Article 6934. https://doi.org/10.1038/s41598-018-25121-4
- Callan W.T., Sanderson S.L. 2003. Feeding mechanisms in carp: crossflow filtration, palatal protrusions, and flow reversals // J. Exp. Biol. V. 206. № 5. P. 883–892. https://doi.org/10.1242/jeb.00195
- Chilton E.W., Muoneke M.I. 1992. Biology and management of grass carp (Ctenopharyngodon idella, Cyprinidae) for vegetation control: a North American perspective // Rev. Fish Biol. Fish. V. 2. № 4. P. 283–320. https://doi.org/10.1007/BF00043520
- Ciccotto P.J., Mendelson T.C. 2016. Phylogenetic correlation between male nuptial color and behavioral responses to color across a diverse and colorful genus of freshwater fish (Etheostoma spp., Teleostei: Percidae) // Ethology. V. 122. № 3. P. 245–256. https://doi.org/10.1111/eth.12465
- Colle D.E., Shireman J.V., Rottmann R.W. 1978. Food selection by grass carp fingerlings in a vegetated pond // Trans. Am. Fish. Soc. V. 107. № 1. P. 149−152. https://doi.org/10.1577/1548-8659(1978)107<149:FSBGCF>2.0.CO;2
- Copp G.H., Warrington S., Wesley K.J. 2008. Management of an ornamental pond as a conservation site for a threatened native fish species, crucian carp Carassius carassius Hydrobiologia. V. 597. № 1. P. 149–155. https://doi.org/10.1007/s10750-007-9220-0
- Devitsina G.V. 2005. Comparative morphology of intraoral taste apparatus in fish // J. Ichthyol. V. 45. Suppl. 2. P. S286–S306.
- Dibble E.D., Kovalenko K. 2009. Ecological impact of grass carp: a review of the available data // J. Aquat. Plant Manag. V. 47. P. 1−15.
- Egger B., Klaefiger Y., Theis A., Salzburger W. 2011. A sensory bias has triggered the evolution of egg-spots in cichlid fishes // PLoS ONE. V 6. № 10. Article e25601. https://doi.org/10.1371/journal.pone.0025601
- Fischer Z. 1973. The elements of energy balance in grass carp (Ctenopharyngodon idella Val.). Pt. IV: Consumption rate of grass carp fed on different types of food // Pol. Arch. Hydrobiol. V. 20. P. 309–318.
- Fowler K.L., Robson T.O. 1978. The effects of the food preferences and stocking rates of grass carp (Ctenopharyngodon idella Val.) on mixed plant communities // Aquat. Bot. V. 5. P. 261–276. https://doi.org/10.1016/0304-3770(78)90069-4
- Frank H.E.R., Amato K., Trautwein M. et al. 2022. The evolution of sour taste // Proc. R. Soc. B. Biol. Sci. V. 289. № 1968. Article 20211918. https://doi.org/10.1098/rspb.2021.1918
- Fricke R., Eschmeyer W.N., van der Laan R. (eds.). 2020. Eschmeyer’s catalog of fishes: genera, species, references. (http://researcharchive.calacademy.org/research/ichthyology/catalog/ fishcatmain.asp. Version 03/2020)
- Gerking S.D. 1994. Feeding ecology of fish. San Diego: Acad. Press, 416 p.
- Getachew T. 1993. The composition and nutritional status of the diet of Oreochromis niloticus L. in Lake Chamo, Ethiopia // J. Fish Biol. V. 42. № 6. P. 865–874. https://doi.org/10.1111/j.1095-8649.1993.tb00396.x
- Giles N., Street M., Wright R.M. 1990. Diet composition and prey preference of tench, Tinca tinca (L.), common bream, Abramis brama (L.), perch, Perca fluviatilis L. and roach, Rutilus rutilus (L.), in two contrasting gravel pit lakes: potential trophic overlap with wildfowl // Ibid. V. 37. № 6. P. 945–947. https://doi.org/10.1111/j.1095-8649.1990.tb03598.x
- Goli S., Jafari V., Ghorbani R., Kasumyan A. 2015. Taste preferences and taste thresholds to classical taste substances in the carnivorous fish, kutum Rutilus frisii kutum (Teleostei: Cyprinidae) // Physiol. Behav. V. 140. P. 111–117. https://doi.org/10.1016/j.physbeh.2014.12.022
- Gomahr A., Palzenberger M., Kotrschal K. 1992. Density and distribution of external taste buds in cyprinids // Environ. Biol. Fish. V. 33. № 1–2. P. 125–134. https://doi.org/10.1007/BF00002559
- Hänfling B., Bolton P., Harley M., Carvalho G.R. 2005. A molecular approach to detect hybridisation between crucian carp (Carassius carassius) and non-indigenous carp species (Carassius spp. and Cyprinus carpio) // Freshwat. Biol. V. 50. № 3. P. 403–417. https://doi.org/10.1111/j.1365-2427.2004.01330.x
- Harborne J.B. 1993. Introduction to ecological biochemistry. London: Acad. Press, 384 p.
- Hidaka I. 1982. Taste receptor stimulation and feeding behavior in the puffer // Chemoreception in fishes. Amsterdam: Elsevier Sci. Publ. P. 243–257.
- Holopainen I.J., Hyvärinen H. 1985. Ecology and physiology of crucian carp [Carassius carassius (L.)] in small Finnish ponds with anoxic conditions in winter // SIL Proc. 1922–2010. V. 22. № 4. P. 2566–2570. https://doi.org/10.1080/03680770.1983.11897726
- Horppila J. 1994. The diet and growth of roach (Rutilus rutilus (L.)) in Lake Vesijärvi and possible changes in the course of biomanipulation // Hydrobiologia. V. 294. № 1. P. 35–41. https://doi.org/10.1007/BF00017623
- Horppila J., Ruuhijärvi J., Rask M. et al. 2000. Seasonal changes in the diets and relative abundances of perch and roach in the littoral and pelagic zones of the large lake // J. Fish Biol. V. 56. № 1. P. 51–72. https://doi.org/10.1111/j.1095-8649.2000.tb02086.x
- Howes G.J. 1991. Systematics and biogeography: an overview // Cyprinid fishes. Dordrecht: Springer. P. 1–33. https://doi.org/10.1007/978-94-011-3092-9_1
- Hsieh K.-Y., Huang B.-Q., Wu R.-L., Chen C.-T. 2001. Color effects of lures on the hooking rates of mackerel longline fishing // Fish. Sci. V. 67. № 3. P. 408–414. https://doi.org/10.1046/j.1444-2906.2001.00276.x
- Imoto J.M., Saitoh K., Sasaki T. et al. 2013. Phylogeny and biogeography of highly diverged freshwater fish species (Leuciscinae, Cyprinidae, Teleostei) inferred from mitochondrial genome analysis // Gene. V. 514. № 2. P. 112–124. https://doi.org/10.1016/j.gene.2012.10.019
- Jakubowski M., Whitear M. 1990. Comparative morphology and cytology of taste buds in teleosts // Z. Mikrosk. Anat. Forsch. V. 104. P. 529–560.
- Jiang P., Josue J., Li X. et al. 2012. Major taste loss in carnivorous mammals // Proc. Natl. Acad. Sci. USA. V. 109. № 13. P. 4956–4961. https://doi.org/10.1073/pnas.1118360109
- Jiao H., Xie H.-W., Zhang L. et al. 2021. Loss of sweet taste despite the conservation of sweet receptor genes in insectivorous bats // Ibid. V. 118. № 4. Article e2021516118. https://doi.org/10.1073/pnas.2021516118
- Jones L.A., Mandrak N.E., Cudmore B. 2017. Updated (2003–2015) Biological Synopsis of Grass Carp (Ctenopharyngodon idella) // DFO Can. Sci. Advis. Sec. Res. Doc. 2016/102. iv + 63 p.
- Johnsen P.B., Adams M.F. 1986. Chemical feeding stimulants for the herbivorous fish, Tilapia zillii // Comp. Biochem. Physiol. A Physiol. V. 83. № 1. P. 109–112. https://doi.org/10.1016/0300-9629(86)90096-4
- Johnsen P.B., Zhou H., Adams M.F. 1990. Gustatory sensitivity of the herbivore Tilapia zillii to amino acids // J. Fish Biol. V. 36. № 4. P. 587–593. https://doi.org/10.1111/j.1095-8649.1990.tb03559.x
- Jondeung A., Sangthong P., Zardoya R. 2007. The complete mitochondrial DNA sequence of the Mekong giant catfish (Pangasianodon gigas), and the phylogenetic relationships among Siluriformes // Gene. V. 387. № 1–2. P. 49–57. https://doi.org/10.1016/j.gene.2006.08.001
- Kasumyan A.O. 2004. The olfactory system in fish: structure, function, and role in behavior // J. Ichthyol. V. 44. Suppl. 2. P. S180–S223.
- Kasumyan A.O. 2014. Behavior and gustatory reception of air-breathing catfishes (Clariidae) // Ibid. V. 54. № 10. P. 934–943. https://doi.org/10.1134/S0032945214100075
- Kasumyan A. 2018. Olfaction and gustation in Acipenseridae, with special references to the Siberian sturgeon, Acipenser baerii // The Siberian sturgeon (Acipenser baerii, Brandt, 1869). V. 1. Biology. Cham: Springer. P. 173–205. https://doi.org/10.1007/978-3-319-61664-3_10
- Kasumyan A., Døving K.B. 2003. Taste preferences in fish // Fish Fish. (Oxf.) V. 4. № 4. P. 289–347. https://doi.org/10.1046/j.1467-2979.2003.00121.x
- Kasumyan A.O., Nikolaeva E.V. 2002. Comparative analysis of taste preferences in fishes with different ecology and feeding // J. Ichthyol. V. 42. Suppl. 2. P. S203–S214.
- Kasumyan A.O., Sidorov S.S. 2010. Behavior of food objects testing by taste in the carp Cyprinus carpio in the norm and at chronic anosmia // Ibid. V. 50. № 11. P. 1043–1059. https://doi.org/10.1134/S003294521011010X
- Kiyohara S., Yamashita S., Harada S. 1981. High sensitivity of minnow gustatory receptors to amino acids // Physiol. Behav. V. 24. № 6. P. 1103–1108. https://doi.org/10.1016/0031-9384(81)90215-8
- Kotrschal K. 1992. Quantitative scanning electron microscopy of solitary chemoreceptor cells in cyprinids and other teleosts // Environ. Biol. Fish. V. 35. № 3. P. 273–282. https://doi.org/10.1007/BF00001894
- Kotrschal K., Palzenberger M. 1992. Neuroecology of cyprinids: comparative, quantitative histology reveals diverse brain patterns // Ibid. V. 33. № 1–2. P. 135–152. https://doi.org/10.1007/BF00002560
- Kotrschal K., Brandstätter R., Gomahr A. et al. 1991. Brain and sensory systems // Cyprinid fishes. Dordrecht: Springer. P. 284−331. https://doi.org/10.1007/978-94-011-3092-9_10
- Lammens E.H.R.R., Hoogenboezem W. 1991. Diets and feeding behavior // Ibid. P. 353–376. https://doi.org/10.1007/978-94-011-3092-9_12
- Levina A.D., Mikhailova E.S., Kasumyan A.O. 2021. Taste preferences and feeding behavior in the facultative herbivore fish, Nile tilapia Oreochromis niloticus // J. Fish Biol. V. 98. № 5. P. 1385–1400. https://doi.org/10.1111/jfb.14675
- Li X., Li W., Wang H. et al. 2005. Pseudogenization of a sweet-receptor gene accounts for cats’ indifference toward sugar // PLoS Genet. V. 1. № 1. Article e3. P. 27–35. https://doi.org/10.1371/journal.pgen.0010003
- Lim L.S., Lai S.K.J., Yong A.S.K. et al. 2017. Feeding response of marble goby (Oxyeleotris marmorata) to organic acids, amino acids, sugars and some classical taste substances // Appl. Anim. Behav. Sci. V. 196. P. 113–118. https://doi.org/10.1016/j.applanim.2017.06.014
- Mann R.H.K. 1974. Observations on the age, growth, reproduction and food of the dace Leuciscus leuciscus L. in two rivers in Southern England // J. Fish Biol. V. 6. № 3. P. 237–253. https://doi.org/10.1111/j.1095-8649.1974.tb04542.x
- Marui T., Caprio J. 1992. Teleost gustation // Chemoreception in fishes. Dordrecht: Springer. P. 171–198. https://doi.org/10.1007/978-94-011-2332-7_9
- Marui T., Harada S., Kasahara Y. 1983. Gustatory specificity for amino acids in the facial taste system of the carp, Cyprinus carpio L. // J. Comp. Physiol. V. 153. № 3. P. 299–308. https://doi.org/10.1007/BF00612584
- Navodaru I., Buijse A.D., Staras M. 2002. Effects of hydrology and water quality on the fish community in Danube delta lakes // Intern. Rev. Hydrobiol. V. 87. № 2–3. P. 329–348. https://doi.org/10.1002/1522-2632(200205)87:2/3<329::AID-IROH329>3.0.CO;2-J
- Nelson J.S., Grande T.C., Wilson M.V.H. 2016. Fishes of the World. Fifth edition. Hoboken: John Wiley and Sons, xxxix + 707 p. https://doi.org/10.1002/9781119174844
- Oike H., Nagai T., Furuyama A. et al. 2007. Characterization of ligands for fish taste receptors // J. Neurosci. V. 27. № 21. P. 5584–5592. https://doi.org/10.1523/JNEUROSCI.0651-07.2007
- Olsén K.H., Lundh T. 2016. Feeding stimulants in an omnivorous species, crucian carp Carassius carassius (Linnaeus 1758) // Aquacult. Repts. V. 4. P. 66–73. https://doi.org/10.1016/j.aqrep.2016.06.005
- Omran N.E., Salem H.K., Eissa S.H. et al. 2020. Chemotaxonomic study of the most abundant Egyptian sea‑cucumbers using ultra‑performance liquid chromatography (UPLC) coupled to high‑resolution mass spectrometry (HRMS) // Chemoecology. V. 30. № 1. P. 35–48. https://doi.org/10.1007/s00049-019-00296-y
- Osse J.W.M., Sibbing F.A., Van den Boogaart J.G.M. 1997. Intra-oral food manipulation of carp and other cyprinids: adaptations and limitations // Acta Physiol. Scand. V. 161. Suppl. 638. P. 47–57. Available: https://www.ncbi.nlm.nih.gov/pubmed/9421579
- Payne A.I. 1971. An experiment on the culture of Tilapia esculenta (Graham) and Tilapia zillii (Gervais) (Cichlidae) in fish ponds // J. Fish Biol. V. 3. № 3. P. 325–340. https://doi.org/10.1111/j.1095-8649.1971.tb03688.x
- Penttinen O.-P., Holopainen I.J. 1992. Seasonal feeding activity and ontogenetic dietary shifts in crucian carp, Carassius carassius // Environmental biology of European cyprinids Dordrecht: Springer. P. 215–222. https://doi.org/10.1007/978-94-011-2544-4_19
- Perea S., Böhme M., Zupančič P. et al. 2010. Phylogenetic relationships and biogeographical patterns in Circum-Mediterranean subfamily Leuciscinae (Teleostei, Cyprinidae) inferred from both mitochondrial and nuclear data // BMC Evol. Biol. V. 10. Article 265. https://doi.org/10.1186/1471-2148-10-265
- Pekař Č., Krupauer V. 1968: Food relationships between two-year old carp and tench in mixed multispecies stock. Práce VÚRH Vodňany. V. 8. P. 29–54.
- Petridis D. 1990. The influence of grass carp on habitat structure and its subsequent effect on the diet of tench // J. Fish Biol. V. 36. № 4. P. 533–544. https://doi.org/10.1111/j.1095-8649.1990.tb03555.x
- Pipalova I. 2006. A review of grass carp use for aquatic weed control and its impact on water bodies // J. Aquat. Plant Manag. V. 44. P. 1−12.
- Prejs A. 1984. Herbivory by freshwater fishes and its consequences // Environ. Biol. Fish. V. 10. № 4. P. 281–296. https://doi.org/10.1007/BF00001481
- Sayer C.D., Copp G.H., Emson D. et al. 2011. Towards the conservation of crucian carp Carassius carassius: Understanding the extent and causes of decline within part of its native English range // J. Fish Biol. V. 79. № 6. P. 1608–1624. https://doi.org/10.1111/j.1095-8649.2011.03059.x
- Shamushaki V.A.J., Abtahi B., Kasumyan A.O. 2011. Olfactory and taste attractiveness of free amino acids for Persian sturgeon Acipenser persicus: a comparison with other acipenserids // J. Appl. Ichthyol. V. 27. № 2. P. 241–245. https://doi.org/10.1111/j.1439-0426.2011.01687.x
- Sibbing F.A., Osse J.W.M., Terlouw A. 1986. Food handling in the carp (Cyprinus carpio): its movement patterns, mechanisms and limitations // J. Zool. V. 210. № 2. P. 161–203. https://doi.org/10.1111/j.1469-7998.1986.tb03629.x
- Smith C., Barber I., Wootton R.J., Chittka L. 2004. A receiver bias in the origin of three-spined stickleback mate choice // Proc. R. Soc. B: Biol. Sci. V. 271. № 1542. P. 949–955. https://doi.org/10.1098/rspb.2004.2690
- Specziár A., Tölg L., Bíró P. 1997. Feeding strategy and growth of cyprinids in the littoral zone of Lake Balaton // J. Fish Biol. V. 51. № 6. P. 1109–1124. https://doi.org/10.1111/j.1095-8649.1997.tb01130.x
- Sukop I., Adamek Z. 1995. Food biology of one-, two- and three-year-old tench in polycultures with carp and herbivorous fish // Pol. Arch. Hydrobiol. V. 42. № 1–2. P. 9–18.
- Sutterlin A.M., Sutterlin N. 1970. Taste responses in Atlantic salmon (Salmo salar) parr // J. Fish. Res. Board Can. V. 27. № 11. P. 1927–1942. https://doi.org/10.1139/f70-218
- Trewavas E. 1983. Tilapiine fishes of the genera Sarotherodon, Oreochromis and Danakilia. London: BMNH, 583 p. https://doi.org/10.5962/bhl.title.123198
- Tu Y.-H., Cooper A.J., Teng B. et al. 2018. An evolutionarily conserved gene family encodes proton-selective ion channels // Science. V. 359. № 6379. P. 1047–1050. https://doi.org/10.1126/science.aao3264
- Wang X., Li J., He S. 2007. Molecular evidence for the monophyly of East Asian groups of Cyprinidae (Teleostei: Cypriniformes) derived from the nuclear recombination activating gene 2 sequences // Mol. Phylogenet. Evol. V. 42. № 1. P. 157–170. https://doi.org/10.1016/j.ympev.2006.06.014
- Wheeler A.C. 2000. Status of the crucian carp, Carassius carassius (L.), in the UK // Fish. Manag. Ecol. V. 7. № 4. P. 315–322. https://doi.org/10.1046/j.1365-2400.2000.007004315.x
- Wieser W. 1991. Physiological energetics and ecophysiology // Cyprinid fishes. Dordrecht: Springer. P. 426−455. https://doi.org/10.1007/978-94-011-3092-9_15
- Wiley M.J., Pescitelli S.M., Wike L.D. 1986. The relationship between feeding preferences and consumption rates in grass carp and grass carp x bighead carp hybrids // J. Fish Biol. V. 29. № 4. P. 507−514. https://doi.org/10.1111/j.1095-8649.1986.tb04966.x
- Wootton R.J. 1998. Ecology of teleost fishes. Dordrecht: Kluwer Acad. Publ., 386 c.
- Yamamoto M., Ueda K. 1978. Comparative morphology of fish olfactory epithelium. III. Cypriniformes // Nippon Suisan Gakkaishi V. 44. № 11. P. 1201–1206. https://doi.org/10.2331/suisan.44.1201
- Yang L., Sado T., Hirt M.V. et al. 2015. Phylogeny and polyploidy: resolving the classification of Cyprinine fishes (Teleostei: Cypriniformes) // Mol. Phylogenet. Evol. V. 85. P. 97–116. https://doi.org/10.1016/j.ympev.2015.01.014
- Yoshii K., Kamo N., Kurihara K., Kobatake Y. 1979. Gustatory responses of eel palatine receptors to amino acids and carboxylic acids // J. Gen. Physiol. V. 74. № 3. P. 301–317. https://doi.org/10.1085/jgp.74.3.301
- Yuan C.-X., Liang X.-F., Cai W.-J. et al. 2020. Expansion of sweet taste receptor genes in grass carp (Ctenopharyngodon idellus) coincided with vegetarian adaptation // BMC Evol. Biol. V. 20. Article 25. https://doi.org/10.1186/s12862-020-1590-1
- Zhao H., Yang J.R., Xu H., Zhang J. 2010. Pseudogenization of the umami taste receptor gene Tas1r1 in the giant panda coincided with its dietary switch to bamboo // Mol. Biol. Evol. V. 27. № 12. P. 2669–2673. https://doi.org/10.1093/molbev/msq153
- Zhao Y., Zhang L., Wang C., Xie C. 2020. Biology and ecology of grass carp in China: a review and synthesis // N. Am. J. Fish. Manag. V. 40. № 6. P. 1379–1399. https://doi.org/10.1002/nafm.10512
Дополнительные файлы












