Seasonal Distribution and Size Composition of the Purplegray Sculpin Gymnocanthus detrisus off the Mainland Coast of the Russian Waters of the Sea of Japan
- Authors: Panchenko V.V.1, Vdovin A.N.2, Solomatov S.F.1
-
Affiliations:
- National Scientific Center of Marine Biology, Far Eastern Branch, Russian Academy of Sciences, Vladivostok, Russia
- Pacific Branch of the Federal Research Institute of Fisheries and Oceanography, (TINRO), Vladivostok, Russia
- Issue: Vol 63, No 1 (2023)
- Pages: 20-30
- Section: Articles
- URL: https://journals.rcsi.science/0042-8752/article/view/135150
- DOI: https://doi.org/10.31857/S0042875223010101
- EDN: https://elibrary.ru/CZGAOM
- ID: 135150
Cite item
Full Text
Abstract
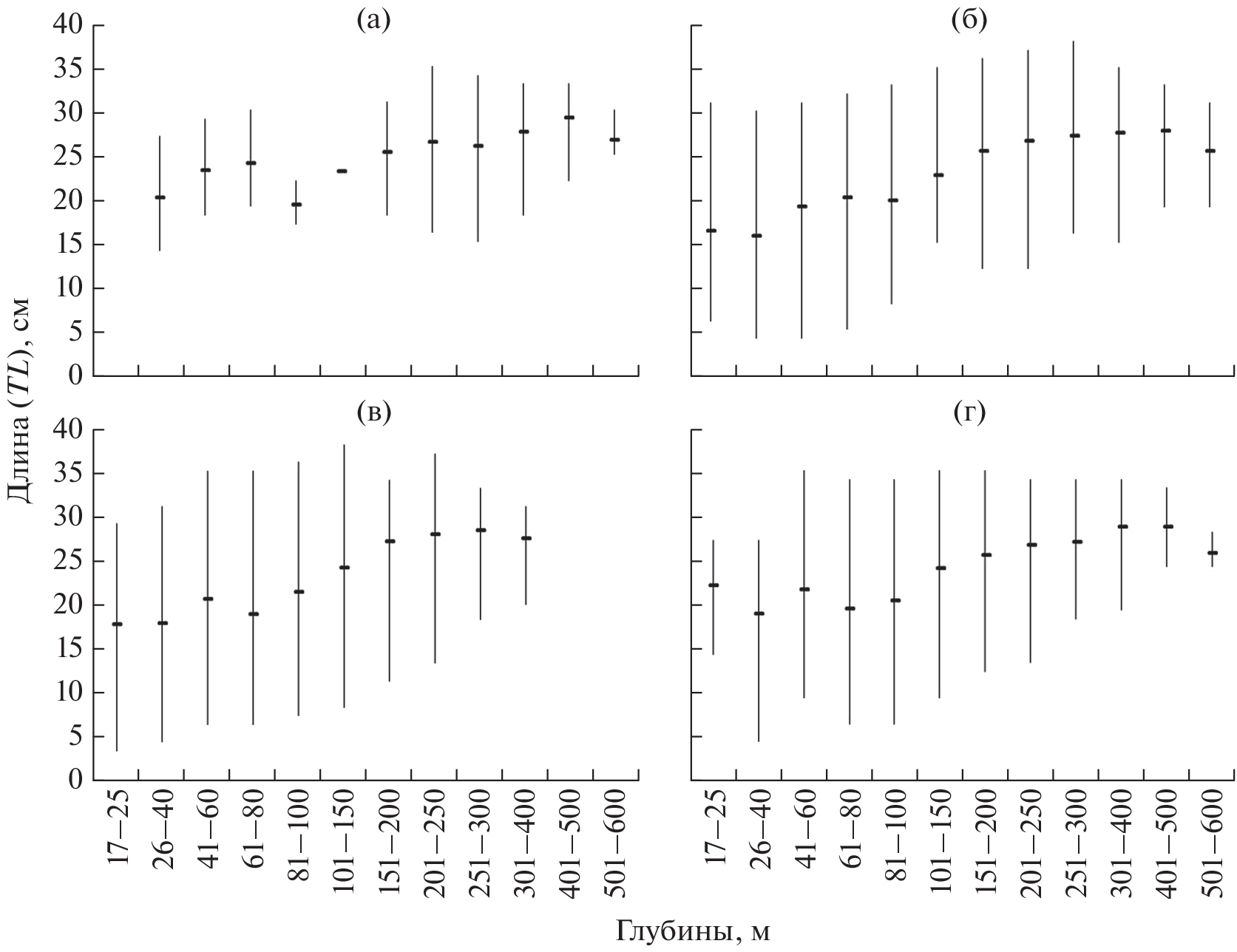
The purplegray sculpin Gymnocanthus detrisus occurs at the depths between of 17 and 595 m at the temperature from –1.1 to+13.2°C off the mainland coast of the Russian waters of the Sea of Japan. In the warm period, the fish are concentrated in the middle and lower parts of the shelf, mainly at a temperature of 1.2–2.0°C, in the cold period, in the lower part of the shelf and the upper part of the continental slope at 0.6–1.4°C. The water area in the north (the waters of the Tatar Strait) is intensively used only in the warm season. The main aggregations are formed in the south (Peter the Great Bay) and in the areas of the central part of the surveyed region. Juveniles are more eurythermal than adult individuals and more adults prefer the shelf zone in all seasons, where the temperature regime is less stable than on the mainland slope.
About the authors
V. V. Panchenko
National Scientific Center of Marine Biology, Far Eastern Branch, Russian Academy of Sciences, Vladivostok, Russia
Email: vlad-panch@yandex.ru
Россия, Владивосток
A. N. Vdovin
Pacific Branch of the Federal Research Institute of Fisheries and Oceanography, (TINRO), Vladivostok, Russia
Email: vlad-panch@yandex.ru
Россия, Владивосток
S. F. Solomatov
National Scientific Center of Marine Biology, Far Eastern Branch, Russian Academy of Sciences, Vladivostok, Russia
Author for correspondence.
Email: vlad-panch@yandex.ru
Россия, Владивосток
References
- Борец Л.А. 1997. Донные ихтиоцены российского шельфа дальневосточных морей: состав, структура, элементы функционирования и промысловое значение. Владивосток: Изд-во ТИНРО-центр, 217 с.
- Бретт Д.Р., Гроувс Д.Д. 1983. Физиологическая энергетика // Биоэнергетика и рост рыб. М.: Лег. и пищ. пром-сть. С. 203–274.
- Вдовин А.Н. 2000. Динамика уловистости рыб донным тралом в зависимости от размерного состава и плотности скоплений // Изв. ТИНРО. Т. 127. С. 137–148.
- Вдовин А.Н., Зуенко Ю.И. 1997. Вертикальная зональность и экологические группировки рыб залива Петра Великого // Изв. ТИНРО. Т. 122. С. 152–176.
- Вдовин А.Н., Четырбоцкий А.Н. 2018. Рост и стадийность онтогенеза южного однопёрого терпуга в водах Приморья (Японское море) // Тр. ВНИРО. Т. 170. С. 26–46. https://doi.org/10.36038/2307-3497-2018-170-26-46
- Вдовин А.Н., Измятинский Д.В., Соломатов С.Ф. 2004. Основные результаты исследований рыб морского прибрежного комплекса Приморья // Изв. ТИНРО. Т. 138. С. 168–190.
- Грант В. 1980. Эволюция организмов. М.: Мир, 410 с.
- Зуенко Ю.И. 1994. Типы термической стратификации вод на шельфе Приморья // Комплексные исследования морских гидробионтов и условий их обитания. Владивосток: Изд-во ТИНРО. С. 20–39.
- Зуенко Ю.И. 2008. Промысловая океанография Японского моря. Владивосток: Изд-во ТИНРО-центр, 227 с.
- Калчугин П.В., Бойко М.И., Соломатов С.Ф., Черниенко Э.П. 2016. Современное состояние ресурсов донных и придонных видов рыб в российских водах Японского моря // Изв. ТИНРО. Т. 184. С. 54–69. https://doi.org/10.26428/1606-9919-2016-184-54-69
- Линдберг Г.У., Красюкова З.В. 1987. Рыбы Японского моря и сопредельных частей Охотского и Желтого морей. Ч. 5. Л.: Наука, 526 с.
- Лучин В.А. 2007. Сезонная изменчивость температуры воды в деятельном слое дальневосточных морей // Дальневосточные моря России. Кн. 1. Океанологические исследования. М.: Наука. С. 232–252.
- Матвеев А.А., Стокоз А.К. 2019. Среднемноголетнее распределение и размерный состав Gymnocanthus detrisus Gilbert et Burke, 1912 (Cottidae) в летний период у западного побережья Камчатки // Матер. VII Науч.-практ. конф. “Современные проблемы и перспективы развития рыбохозяйственного комплекса”. М.: Изд-во ВНИРО. С. 305–308.
- Матвеев А.А., Терентьев Д.А. 2016. Промысел, многолетняя динамика биомассы, распределение и размерный состав массовых видов рогатковых Cottidae у западного побережья Камчатки // Исслед. вод. биол. ресурсов Камчатки и сев.-зап. части Тихого океана. № 41. С. 17–42. https://doi.org/10.15853/2072-8212.2016.41.17-42
- Никольский Г.В. 1974. Теория динамики стада рыб как биологическая основа рациональной эксплуатации и воспроизводства рыбных ресурсов. М.: Пищ. пром-сть, 447 с.
- Новиков Н.П., Соколовский А.С., Соколовская Т.Г., Яковлев Ю.М. 2002. Рыбы Приморья. Владивосток: Изд-во Дальрыбвтуз, 552 с.
- Панченко В.В. 2009. Распределение широколобого шлемоносца Gymnocanthus detrisus (Cottidae) в водах Приморья (Японское море) в летний период // Биология моря. Т. 35. № 1. С. 3–8.
- Панченко В.В. 2012. Возраст и рост шлемоносных бычков рода Gymnocanthus (Cottidae) в заливе Петра Великого и прилегающих районах Приморья // Вопр. ихтиологии. Т. 52. № 2. С. 234–247.
- Панченко В.В., Калчугин П.В., Соломатов С.Ф. 2016. Уточнение глубин обитания и максимальных размеров донных и придонных видов рыб в российских водах Японского моря // Вопр. ихтиологии. Т. 56. № 3. С. 264–283. https://doi.org/10.7868/S0042875216030152
- Парин Н.В., Евсеенко С.А., Васильева Е.Д. 2014. Рыбы морей России: аннотированный каталог. М.: Т-во науч. изд. КМК, 733 с.
- Пущина О.И., Панченко В.В., Бойко М.И., Галеев А.И. 2021. Распределение и некоторые черты биологии рогатковых рода Triglops (Cottidae) в Японском море // Вопр. ихтиологии. Т. 61. № 1. С. 88–99. https://doi.org/10.31857/S0042875221010161
- Радзинская Л.И., Никольская И.С., Чудакова И.В. 1987. Влияние аллатектомии на дыхание, вес и продолжительность жизни домового сверчка Acheta domestica L. // Онтогенез. Т. 18. № 3. С. 281–287.
- Рикер У.Е. 1979. Методы оценки и интерпретация биологических показателей популяций рыб. М.: Пищ. пром-сть, 408 с.
- Соколовский А.С., Соколовская Т.Г. 1997. К идентификации личинок шлемоносных бычков (gen. Gymnocanthus, Cottidae) залива Петра Великого (Японское море) // Изв. ТИНРО. Т. 122. С. 571–578.
- Соколовский А.С., Дударев В.А., Соколовская Т.Г., Соломатов С.Ф. 2007. Рыбы российских вод Японского моря: аннотированный и иллюстрированный каталог. Владивосток: Дальнаука, 200 с.
- Токранов А.М. 1981. Темп полового созревания и плодовитость шлемоносного бычка Gymnocanthus detrisus Gilbert et Burke (Cottidae) у восточного побережья Камчатки // Вопр. ихтиологии. Т. 21. Вып. 1 (126). С. 84–89.
- Токранов А.М. 1988. Размножение массовых видов керчаковых рыб прикамчатских вод // Биология моря. № 4. С. 28–32.
- Токранов А.М. 2017. Рогатковые рыбы рода Gymnacanthus (Cottidae) прикамчатских вод и проблемы использования их ресурсов // Матер. VIII Всерос. науч.-практ. конф. “Природные ресурсы, их современное состояние, охрана, промысловое и техническое использование”. Ч. 1. Петропавловск-Камчатский: Изд-во КамчатГТУ. С. 176–180.
- Токранов А.М., Орлов А.М. 2012. Особенности распределения и экология рогатковых рыб рода Gymnocanthus (Cottidae) в тихоокеанских водах северных Курильских островов и юго-восточной Камчатки // Вопр. ихтиологии. Т. 52. № 6. С. 658–671.
- Федоров В.В., Черешнев И.А., Назаркин М.В. и др. 2003. Каталог морских и пресноводных рыб северной части Охотского моря. Владивосток: Дальнаука, 204 с.
- Шмидт-Ниельсен К. 1987. Размеры животных: почему они так важны? М.: Мир, 259 с.
- Яблоков А.В. 1980. Фенетика. М.: Наука, 132 с.
- Amaoka K., Nakaya K., Yabe M. 1995. The fishes of Northern Japan. Sapporo: Kita-Nihon Kaiyo Center Co. Ltd., 391 p.
- Mecklenburg C.W., Mecklenburg T.A., Thorsteinson L.K. 2002. Fishes of Alaska. Bethesda, Maryland: Am. Fish. Soc., 1037 p.
Supplementary files











