The role of glycodelin in the conversion of Cd11b+ cells to MDSC and the regulation of their functional activity
- Authors: Shardina K.Y.1, Zamorina S.A.1,2, Bochkova M.S.1,2, Timganova V.P.1, Uzhviyuk S.V.1, Raev M.B.1,2
-
Affiliations:
- Institute of Ecology and Genetics of Microorganisms, Ural Division of the Russian Academy of Sciences — Branch of Perm State Research Center, Ural Division of the Russian Academy of Sciences
- Perm State National Research University
- Issue: Vol 66, No 2 (2024)
- Pages: 122-130
- Section: Articles
- URL: https://journals.rcsi.science/0041-3771/article/view/262325
- DOI: https://doi.org/10.31857/S0041377124020027
- EDN: https://elibrary.ru/RKMDZW
- ID: 262325
Cite item
Full Text
Abstract
The amniotic variant of glycodelin (Gd) has pronounced immunomodulatory properties and is involved in the formation of immune tolerance during pregnancy. The role of recombinant Gd at physiological (0.2 and 2 μg/ml) and superphysiological (10 μg/ml) concentrations in regulating the differentiation and functional activity of human myeloid-derived suppressor cells (MDSCs) was investigated in vitro. MDSCs were generated from CD11b+ peripheral blood cells of healthy donors by two-step induction (IL-1β + GM-CSF and then lipopolysaccharide (LPS). The effect of Gd on the content of polymorphonuclear MDSC (PMN-MDSC) and monocytic MDSC (M-MDSC), intracellular expression of indoleamine 2.3-dioxygenase (IDO), arginase-1 (Arg1, and cytokine profile in cell cultures was investigated. In general, the transformation of CD11b+ cells into MDSCs exhibits the following characteristics: as a result of cytokine induction, predominantly M-MDSCs but no PMN-MDSCs are formed and Arg1 expression is virtually undetected. Gd was found to increase the number of M-MDSCs at concentrations of 2 and 10 μg/ml. Gd was found not to affect Arg1 expression but increased the percentage of MDSCs expressing IDO (10 μg/ml). Gd also modulated the cytokine profile of CD11b+ cells by suppressing the production of IL-19, IL-26 and TWEAK/TNFsF12 at a physiological concentration of 2 μg/ml and the production of IFN-α2 and IL-26 at a supraphysiological concentration. Thus, the role of Gd in the conversion of CD11b+ cells to MDSCs was examined under conditions of cytokine induction in vitro.
Full Text
Принятые сокращения: АФП – альфа-фетопротеин; ЛПС – липополисахарид; МПК – мононуклеары периферической крови; ТБГ – трофобластический бета-1-гликопротеин; Arg1 – аргиназа-1; GdA и Gd – амниотический гликоделин и рекомбинантный Gd соответственно; DPBS – фосфатно-солевой буферный раствор Дальбекко; GM-CSF – гранулоцитарно-моноцитарный колониестимулирующий фактор; IDO – индоламин-2,3-диоксигеназа; IL – интерлейкин; MDSC – миелоидные супрессорные клетки; M-MDSC – моноцитарные MDSC; PMN-MDSC – полиморфноядерные MDSC.
Иммунная толерантность при беременности – отсутствие у матери иммунной реакции на развивающийся плод и плаценту. Первоначально полагали, что материнско-фетальная толерантность основана на регуляции Т-клеточного звена иммунитета (Saito et al., 2010), однако теперь очевидно, что этот феномен намного сложнее и затрагивает врожденный иммунитет.
Клетки врожденного иммунитета (макрофаги, врожденные лимфоидные клетки, естественные киллерные (NK) клетки) представляют собой самую большую популяцию децидуальных лейкоцитов и играют важную роль в репродукции. С одной стороны, они противостоят инфекционной угрозе для здоровой беременности, а с другой – играют роль в инвазии трофобласта и ремоделировании спиральных артерий, контролируя имплантацию эмбриона и нормальное развитие плацентарного ложа (Weng et al., 2003). Между тем часть клеток врожденного иммунитета, таких как антигенпрезентирующие клетки, взаимодействуют с Т-клетками и подавляют иммунный ответ, чтобы поддерживать оптимальную для развития беременности иммунологическую микросреду на границе между матерью и плодом (Li et al., 2021b).
Относительно недавно стало известно, что миелоидные супрессорные клетки (myeloid-derived suppressor cells, MDSC), являясь клетками врожденного иммунитета, генерируются в процессе нормально протекающей беременности (Ostrand-Rosenberg et al., 2017). В большей степени увеличение MDSC в организме матери проходит за счет субпопуляции полиморфноядерных (PMN) MDSC (PMN-MDSC), однако, концентрация моноцитарных (М) M-MDSC также возрастает, но менее значительно.
Помимо того, что MDSC содержится в периферической крови, показано, что их уровень повышается и в децидуальной оболочке плаценты, и в межворсинчатом пространстве (Köstlin-Gille, 2020). Уровень MDSC также повышен у новорожденных в первые 2 месяца, после чего к 6-му месяцу жизни он снижается до показателей нормы взрослого человека (Gantt et al., 2014). Кроме того, во время беременности MDSC содержатся в пуповинной крови (Rieber et al., 2013).
В настоящее время очевидно, что MDSC принимают участие в поддержании иммунной толерантности. Ключевыми механизмами реализации супрессорной активности является экспрессия ряда поверхностных маркеров, внутриклеточная экспрессия ферментов аргиназы-1 (Arg1), индолемин-2,3-диоксигеназы (IDO) и индуцибельной NO-синтазы (iNOS), а также продукции ряда противовоспалительных цитокинов (Li et al., 2021a). Фенотип MDSC на данном этапе определяется как Lin‒HLA-DR‒CD33+CD11b+. Поскольку генерация клеток в системе in vitro является сложной методической задачей, разработка протоколов получения MDSC ведется до сих пор.
Регуляторный континуум, формируемый белками беременности, также вносит свой вклад в формирование иммунной толерантности, в том числе и на уровне MDSC. Известно, что трофобластический β1-гликопротеин (ТБГ) и альфа-фетопротеин (АФП) способны регулировать дифференцировку и функциональную активность этих клеток в условиях in vitro (Тимганова и др., 2023; Shardina et al., 2023).
Один из ключевых белков беременности, амниотический гликоделин (GdA) (синонимы: PP14, PAEP, альфа-2-микроглобулин фертильности), обладает выраженными иммуномодулирующими свойствами (Uchida et al., 2013). Биологическая активность GdA связана с взаимодействием его уникальных углеводных цепей с мембранными рецепторами сиаловой кислоты (селектины, лектины Ig-связывающего типа), присутствующими на различных типах клеток границы мать–плод (Lam et al., 2011).
Таким образом, целью исследования является изучение влияния рекомбинантного Gd на дифференцировку MDSC в системе in vitro с оценкой ряда показателей функциональной активности этих клеток.
Материал и методика
В работе использовали мононуклеарные клетки периферической крови (МПК) условно здоровых доноров (женщины 22–42 лет, n = 7) с их согласия.
Максимальная концентрация GdA в сыворотке крови к концу первого триместра достигает 2 мкг/мл, а его во II триместре концентрация достигает 0.2 мкг/мл, после чего к третьему триместру уровень GdA снижается (Halttunen et al., 2000). В исследовании использовали физиологические концентрации рекомбинантного Gd (источник E. coli, MyBioSource, США), которые соответствуют уровню GdA в сыворотке беременных женщин, а также превышающую эти значения концентрацию – 10 мкг/мл. Хотя в работе использовали рекомбинантную, а не нативную форму GdA, важно было отследить возможные перспективы эффектов цельного белка для его использования при различных патологиях, когда имеет значение манипулирование уровнем MDSC.
Объекты исследования. МПК получали центрифугированием на градиенте плотности Diacoll (ρ = = 1.077 г/см3, “Диа-М”). Из МПК крови доноров с помощью иммуномагнитной сепарации выделяли CD11b+-клетки для дальнейшего культивирования. Для выделения использовали магнитные сферы MACSiBeads с антителами к молекуле CD11b и разделительную колонку MS (Miltenyi Biotec, Германия).
Культивирование MDSC. Полученные клетки высевали в 96-луночный планшет в концентрации 106/мл с добавлением полной питательной среды (RPMI-1640, 10% FBS, 10 мМ Hepes (ICN Рh., США), 2 мМ L-глутамина (ICN Рh., США) и 100 мкг/мл пенициллина-стрептомицина-амфотерицина (100 мкл на 10 мл среды; BI, Израиль). В первые сутки в культуральный планшет вносили GM-CSF (Miltenyi Biotec, Германия) в концентрации 20 нг/мл, после чего клетки культивировали в CO2-инкубаторе в течение 2 сут. После завершения первого этапа клетки активировали внесением цитокина IL-1β (20 нг/мл; Miltenyi Biotec, Германия) и ЛПС (0.1 мкг/мл; Sigma-Aldrich, США). На следующий день добавляли Gd в концентрациях 0.2, 2.0 или 10.0 мкг/мл. После добавления активационных молекул и Gd клетки культивировали еще 3 сут в тех же условиях. В целом культивирование клеток происходило в течение 7 сут, после чего клеточные культуры собирали с использованием аккутазы, дополнительно промывая лунки холодным фосфатно-солевым буферным раствором Дальбекко (DPBS) (Thermo Fisher Scientific, США) для более качественного сбора.
Проточная цитометрия. Через 7 сут культивирования клетки окрашивали антителами, меченными флюорохромами (HLA-DR-Alexa Fluor 750, anti-CD33-APC, anti-CD11b-Alexa Fluor 405, anti-CD66b-PE и anti-CD14-PerCP; R&D Systems, США). Чтобы исключить возможное присутствие лимфоцитов и NK-клеток, применяли anti-CD19-AF700, anti-CD56-AF700, anti-CD3-AF700 (Lin). В качестве контролей, определяющих негативные популяции, использовали пробы FMO (fluorescence minus one). Исследования проводили на проточном цитометре Cytoflex S (Beckman Coulter, США).
Гейтирование осуществляли по данным бокового (SSC) и прямого (FSC) светорассеяния. С помощью красителя Zombie Aqua (ZA; BioLegend, США) определяли живые клетки (ZA‒) и в этом гейте выделяли регион клеток, не несущих линейные маркеры (Lin) и HLA-DR. После этого строили двухпараметрический график для CD33 и CD11b, демонстрирующий популяцию MDSC (Lin‒HLA-DR‒CD33+CD11b+). Для анализа субпопуляционного состава в гейте MDSC дополнительно определяли маркеры CD66b (PMN-MDSC) и CD14 (M-MDSC).
Оценка уровня Arg1 и IDO в MDSC. Помимо поверхностных маркеров, оценивали внутриклеточное содержание ферментов Arg1 и IDO путем пермеабилизации клеток с использованием моноклональных антител к IDO и Arg1 (R&D Systems, США). Уровень ферментов в клетках PMN-MDSC и M-MDSC детектировали тоже методом проточной цитофлюориметрии.
Анализ цитокинового профиля в культурах CD11b+-клеток. Уровень цитокинов определяли в супернатантах культур с помощью коммерческого набора Bio-Plex Pro Human Inflammation panel 1, 37-plex (Bio-Rad, США) согласно инструкции производителя. Результаты регистрировали, используя систему мультиплексного анализа Bio-Plex MAGPIX (BioRad, США). Данные обрабатывали в программе Belysa. Для построения стандартных кривых использовали пятипараметрический логистический (5PL) метод анализа. Результаты выражали в пг/мл.
Статистический анализ. Для обработки результатов использовали программу GraphPad Prism 8. Для сравнения зависимых выборок применяли критерий Фридмана – непараметрический аналог дисперсионного анализа повторных измерений. Статистически значимыми считали различия при P < 0.05. Данные представлены в виде медианы (Ме), нижнего и верхнего квартиля (Q1–Q3). Для оценки корреляционной связи между всеми измеренными показателями использовали метод Спирмена.
Результаты и обсуждение
При культивировании периферических мононуклеарных клеток генерируется мало (1–3%) MDSC, поэтому логично выделить клетки по одному из двух главных маркеров MDSC – CD33 (Lechner et al., 2010) или CD11b (Shardina et al., 2023).
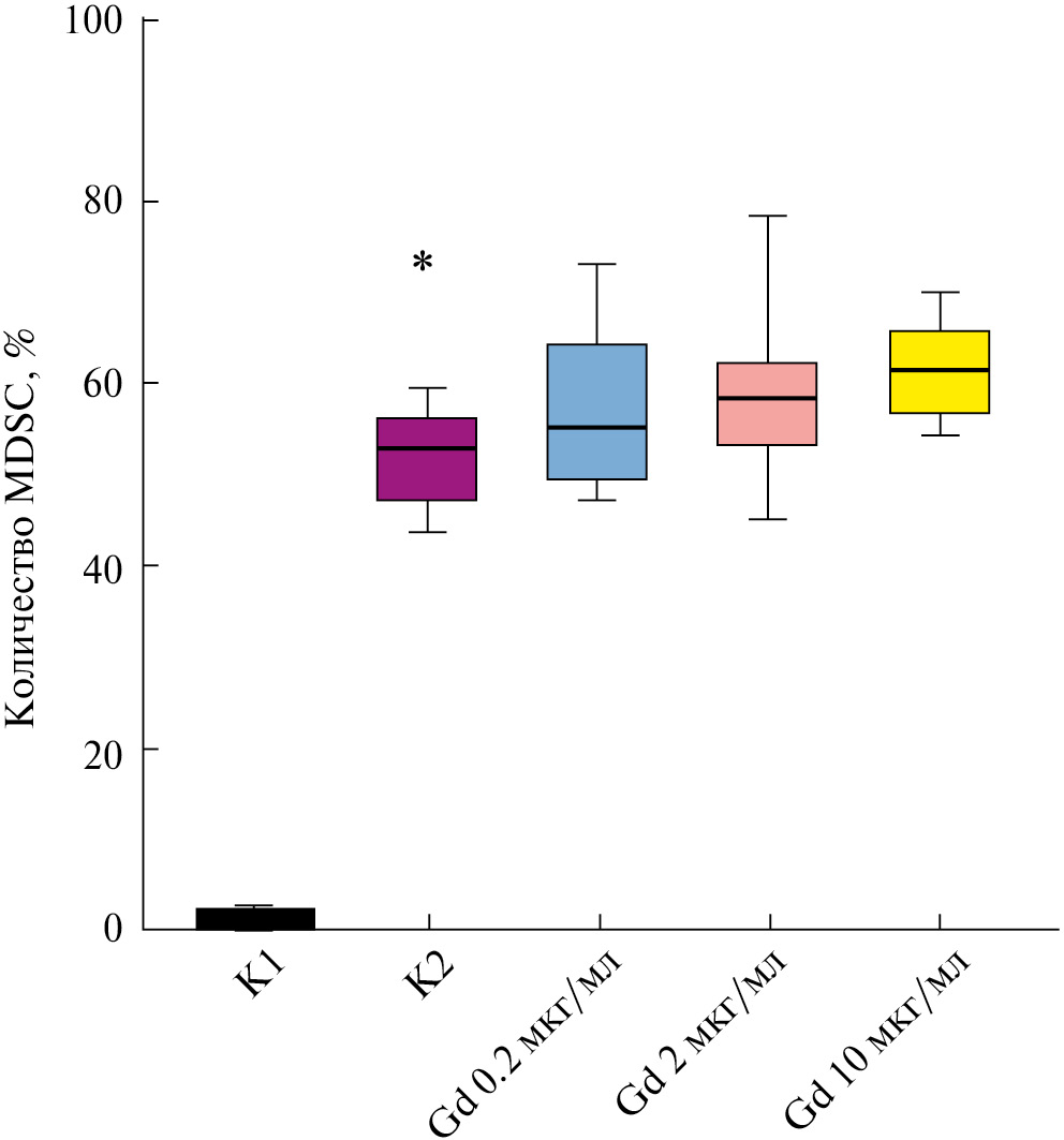
В схеме получения MDSC из CD11b+-клеток показано, что цитокины и ЛПС способны значимо увеличивать уровень MDSC в нашей экспериментальной системе. В то же время не выявлено влияния Gd на конверсию CD11b+-клеток в MDSC (рис. 1).
Рис. 1. Влияние гликоделина (Gd) разной концентрации на конверсию CD11b+-клеток (из мононуклеарных клеток периферической крови доноров) в фенотип MDSC. Представлены медианы, межквартильный диапазон (Q1–Q3, границы столбцов), минимальное и максимальное значения (вертикальные отрезки); по вертикали: доля живых Lin–HLA-DR‒-клеток в гейте; (К1 – контроль, без добавления цитокинов и гликоделина в среду культивирования, К2 – контроль 2, добавление в среду только цитокинов); различия достоверны при P < 0.05: (*) – между К1 и К2 (n = 7, критерий Фридмана).
Учитывая, что MDSC подразделяют на две основные субпопуляции (PMN-MDSC с фенотипом CD33lowCD11b+CD14‒CD15+/CD66b+ и M-MDSC с фенотипом CD33+CD11b+CD14+HLA-DR‒/lowCD15‒/CD66b‒), провели оценку влияния Gd на эти клетки.
Установлено, что на уровне субпопуляций Gd не влиял на пул PMN-MDSC, однако существенно повышал уровень M-MDSC внутри популяции MDSC в концентрациях 2 и 10 мкг/мл (табл. 1).Важно отметить, что фактически наша экспериментальная схема не позволяет генерировать гранулоцитарные MDSC, что может быть связано с двумя причинами – недостаточным количеством гранулоцитарных клеток в МПК, а также не подходящим для PMN-MDSC набором стимуляторов, используемых в работе. Таким образом, Gd усиливал генерацию М-MDSC из CD11b+-клеток в концентрациях 2 и 10 мкг/мл.
Таблица 1. Влияние Gd на количество клеток с фенотипом MDSC (PMN-MDSC и M-MDSC), продуцирующих фермент Arg1
Воздействие | Количество клеток MDSC, % |
Контроль до индукции (без цитокинов и Gd) | 0.150 (0.025–0.447) |
Индукция (GM-CSF, IL-1 β и ЛПС) | |
Контроль (без Gd) | 0.920 (0.212–1.538) |
Gd, 0.2 мкг/мл | 0.510 (0.177–0.985) |
Gd, 2 мкг/мл | 0.215 (0.022–1.143) |
Gd, 10 мкг/мл | 0.905 (0.115–2.745) |
Примечание. Данные представлены в виде медианы (Ме), нижнего и верхнего квартиля (Q1–Q3); (n = 7).
Для идентификации MDSC важно понимать, что на сегодня у этих клеток не найден уникальный маркер, по которому можно безошибочно определить клеточную принадлежность к этой группе. Именно поэтому для определения MDSC дополнительно проводят оценку ряда ферментов, участвующих в подавлении активности и пролиферации иммунных клеток. Для этих целей в исследовании мы измеряли внутриклеточный уровень двух таких ферментов – Arg1 и IDO. MDSC опосредует ингибирующий эффект посредствам многих механизмов, в том числе через истощение L-аргинина (экспрессией гена аргиназы-1) и L-триптофана (экспрессией гена IDO) (Lim et al., 2020).
При оценке уровня Arg1 в MDSC установлено, что этот фермент был экспрессирован небольшим количеством клеток (менее 1%; табл. 2). В результате эксперимента показано, что Gd не влиял на содержание аргиназы-1 в пуле MDSC (см. табл. 2). Однако с учетом того, что Arg1 преимущественно экспрессируется субпопуляцией PMN-MDSC, уровень которых в нашей экспериментальной схеме был крайне низким, основной вывод может быть связан именно с этим. В то же время IDO активно экспрессировался в MDSC. Установлено, что Gd в концентрации 10 мкг/мл повышал экспрессию IDO в MDSC (рис. 2).
Таблица 2. Влияние Gd на продукцию Arg1 в MDSC через 7 сут культивирования CD11b+-клеток
Воздействие | Доля клеток, ٪ | |
PMN-MDSC | M-MDSC | |
К1 (без цитокинов и Gd) | 0.040 (0.020–0.095) | 0.090 (0.065–0.165) |
Индукция (GM-CSF, IL-1 β и ЛПС) | ||
К2 (без Gd) | 0.375 (0.020–1.713) | 7.835(а) (0.767–9.608) |
Gd 0.2 мкг/мл | 0.445 (0.140–3.405) | 23.87 (17.90–29.49) |
Gd 2 мкг/мл | 0.420 (0.202–0.982) | 46.90(б) (39.11–51.18) |
Gd 10 мкг/мл | 0.455 (0.077–2.773) | 59.74(б) (50.09–72.76) |
Примечание. Данные представлены в виде медианы (Ме), нижнего и верхнего квартиля (Q1–Q3); (n = 7); различия достоверны при P < 0.05: (а) – по сравнению с K1 (К1 – контроль, без добавления цитокинов и гликоделина в среду культивирования, К2 – контроль 2, добавление в среду только цитокинов) и (б) – по сравнению с К2.
Рис. 2. Содержание индоламин-2,3-диоксигеназы (IDO) в клетках MDSC при использовании гликоделина (Gd) в разной концентрации. Представлены медианы, межквартильный диапазон (Q1–Q3), минимальное и максимальное значения; различия достоверны при P < 0.05 (критерий Фридмана): (*) – между контролем индукции (К1, культура без добавления цитокинов и Gd) и К2 (культура с добавлением цитокинов и без Gd); (#) – различия с К2.
Обнаружена прямая корреляционная связь (r = 0.80, P < 0.05) между экспрессией IDO и процентным содержанием MDSC в культуре. Известно, что IDO катаболизирует триптофан, создавая локальный дефицит этой незаменимой аминокислоты и подавляя пролиферацию и функцию Т-клеток (Fallarino et al., 2002). Таким образом, Gd в высокой концентрации может вносить свой вклад в угнетение иммунного ответа через повышение экспрессии IDO в миелоидных клетках.
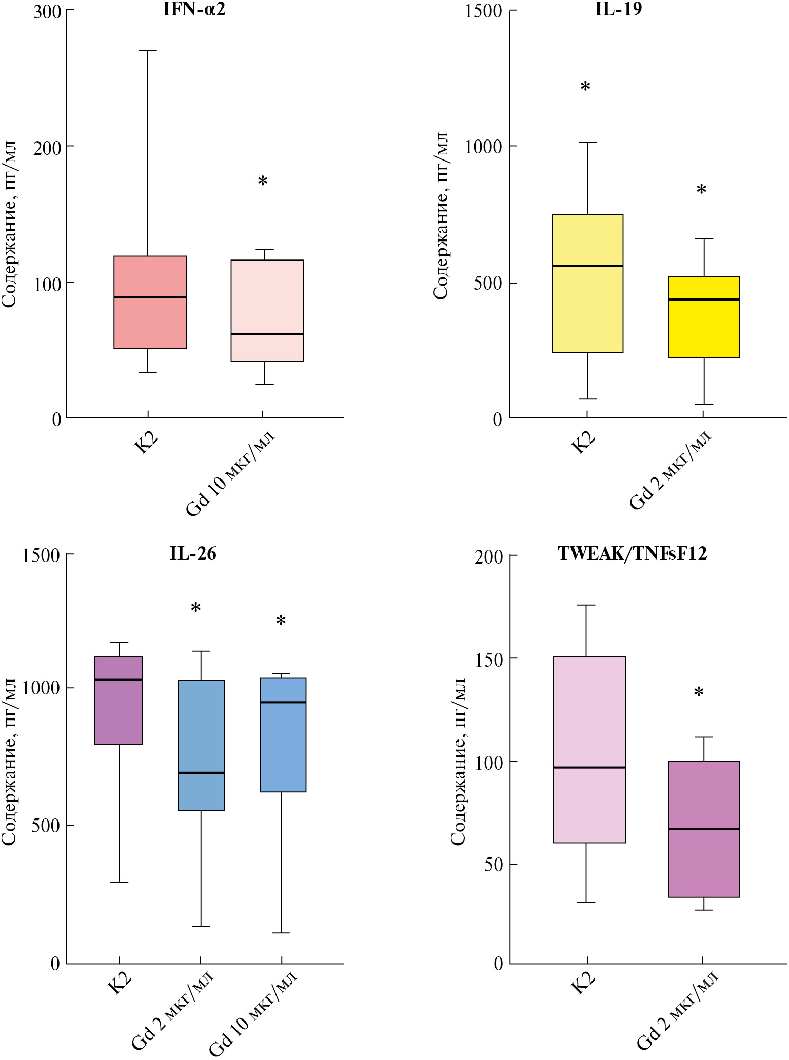
В отношении цитокинового профиля супернатантов CD11b+-клеток, индуцированных в фенотип MDSC, показано, что Gd не оказывал влияния на следующие цитокины: APRIL/TNFSF13, BAFF/TNFSF13B, sCD30/TNFRSF8, sCD163, Chitinase-3-like 1, gp130/sIL-6Rβ, IFN-β, IFN-γ, IL-2, sIL-6Rα, IL-8, IL-10, IL-11, IL-12 (p40), IL-12 (p70), IL-20, IL-22, IL-27 (p28), IL-28A/IFN-λ2, IL-29/IFN-λ1, IL-32, IL-34, IL-35, LIGHT/TNFSF14, MMP-1, MMP-2, MMP-3, osteocalcin, osteopontin, pentraxin-3, sTNF-R1, sTNF-R2, TSLP. Однако Gd (в разных концентрациях) снижал продукцию следующих цитокинов: IFN-α2 (10 мкг/мл), IL-26 (2 и 10 мкг/мл), IL-19 (2 мкг/мл), TWEAK/ TNFsF12 (2 мкг/мл) (рис. 3). Таким образом, Gd в физиологической концентрации 2 мкг/мл подавлял продукцию IL-19, IL-26 и TWEAK/ TNFsF12, а в сверхфизиологической концентрации – продукцию IFN-α 2 и IL-26.
Рис. 3. Продукция цитокинов IFN-α2, IL-19, IL-26 и TWEAK/TNFsF12 клетками CD11b+, индуцированными в фенотип MDSC при использовании гликоделина (Gd) в разной концентрации. Показано содержание цитокинов в супернатантах культур MDSC. Представлены медианы, межквартильный диапазон (Q1–Q3, границы столбцов), минимальное и максимальное значения (вертикальные отрезки). (*) – различия медианных значений (n = 7) достоверны при P < 0.05 по сравнению с К2 (культура с добавлением цитокинов и без Gd; непараметрический критерий Фридмана).
IFN-α2 – это гликопротеин, обладающий противовирусным и иммуномодулирующим действием. Известно, что IFN-α2 способствует пролиферации наивных CD8-клеток и инактивации регуляторных T-лимфоцитов. IL-26, как и IFN-α2, является провоспалительным цитокином. IL-19 долгое время считали противовоспалительной молекулой, гомологичной IL-10, однако в настоящее время IL-19 считают регуляторным цитокином. С одной стороны, IL-19 способствует продукции цитокинов Th2, а с другой – посредством IL-6 и TNF-α обладает провоспалительными свойствами (Savasan et al., 2012). TWEAK/TNFsF12 – цитокин к рецептору для фактора TNFSF12 из надсемейства факторов TNF, способный к индукции апоптоза в клетках и регуляции ангиогенеза (Wiley et al., 2001). Gd способен подавлять продукцию данных цитокинов в условиях in vitro, формируя противовоспалительный совокупный вектор.
В целом тенденция снижения ряда провоспалительных цитокинов может укладываться в концепцию иммунорегуляторных свойств Gd, направленных на поддержание иммунной толерантности.
В первую очередь стоит отметить, что данный спектр цитокинов был синтезирован CD11b+-клетками, индуцированными в фенотип MDSC. В нашей экспериментальной системе около половины клеток были идентифицированы как MDSC. Поэтому для того, чтобы установить взаимосвязь между цитокинами и MDSC, был проведен корреляционный анализ между процентным содержанием MDSC и цитокинами. Достоверных корреляционных связей между цитокинами и уровнем MDSC не обнаружили.
Однако обнаружена прямая корреляционная связь между экспрессией IDO и продукцией IL-26 (r = 0.8, P < 0,05), но обратная между уровнем IDO и продукцией IFN-α2 (r = ‒0.8, P < 0.05) под воздействием 10 мкг/мл Gd. Пока нет известных взаимосвязей между уровнем IDO и IL-26, однако IFN I типа может индуцировать экспрессию IDO в клетках (Fallarino et al., 2002). В нашем эксперименте Gd в концентрации 10 мкг/мл повышал уровень IDO, одновременно снижая продукцию IFN-α2 клетками, что позволяет предположить: индукция IDO не связана с аутогенной продукцией IFN-α2.
В 2018 г. был продемонстрирован схожий эффект GdA: в эксперименте авторов Gd усиливал экспрессию маркеров IDO децидуальных макрофагов, а блокирование рецептора Siglec-7 на клетках нивелировало биологическое действие Gd на дифференцировку моноцитов, что косвенно указывает на то, что рецептором к GdA может выступать Siglec-7 (Vijayan et al., 2018). Интересно, что позже было проведено исследование, направленное на поиск рецепторов для Siglec на MDSC и в микроокружении опухоли глиомы (Santegoets et al., 2019). Оказалось, что оба подмножества MDSC экспрессируют Siglec-3, -5, -7 и -9, причем на поверхности M-MDSC детектированы более высокие уровни Siglec-3, -7 и -9, а на PMN-MDSC – Siglec-5. Аналогичные профили экспрессии Siglec были обнаружены на MDSC от здоровых доноров. Эти исследования дают основание предположить, что взаимодействие Gd и MDSC происходит как раз за счет рецептора Siglec-7, который в большей степени экспрессируется именно на M-MDSC.
В рамках изучения иммуномодулирующих эффектов Gd мы исследовали его влияние на конверсию мононуклеарных клеток в MDSC. Было показано, что в концентрациях, соответствующих здоровой беременности (0.2 и 2 мкг/мл), Gd увеличивал долю MDSC в индуцированных культурах мононуклеарных клеток человека. При анализе подмножеств было выявлено, что этот эффект был обусловлен повышением уровня PMN-MDSC, в то время как уровень M-MDSC оставался неизменным. Этот результат можно интерпретировать как фетопротекторный эффект Gd, так как повышение уровня PMN-MDSC связано с подавлением иммунного ответа на отцовские антигены (Заморина и др., 2021). В нашей работе мы продемонстрировали, что Gd способен также модулировать и M-MDSC, непосредственно стимулируя их супрессорную активность.
В отношении использованных в работе концентраций Gd можно сказать следующее: очевидно, что высокая концентрация Gd оказывала более выраженные эффекты на MDSC, что может дать основание определить иммунофармакологический потенциал этого белка. В то же время в концентрации 2 мкг/мл, соответствующей II-III триместру беременности, Gd индуцировал генерацию M-MDSC и цитокиновый профиль, снижая продукцию IL-19, IL-26 и TWEAK/TNFsF12.
Важно отметить, что другие фетоплацентарные белки также могут стимулировать дифференцировку MDSC in vitro: так, нами было показано, что ТБГ увеличивал их количество, преимущественно за счет M-MDSC (Timganova et al., 2023), а АФП повышал количество M-MDSC, экспрессию IDO этими клетками, а также снижал уровень IL-19 (Shardina et al., 2023).
Таким образом, при изучении влияния Gd на генерацию MDSC в условиях in vitro установлено следующее.
- В результате цитокиновой индукции CD11b+-клеток генерируются преимущественно M-MDSC, но не PMN-MDSC, и практически не детектируется уровень Arg1.
- Gd в концентрациях 2 и 10 мкг/мл повышает процентное содержание M-MDSC в культурах клеток.
- Gd повышает процентное содержание MDSC, экспрессирующих IDO (10 мкг/мл).
- В физиологической концентрации (2 мкг/мл) Gd модулирует цитокиновый профиль CD11b+-клеток, подавляя продукцию IL-19, IL-26 и TWEAK/TNFsF12, а в сверхфизиологической концентрации (10 мкг/мл) – продукцию IFN-α2 и IL-26.
Таким образом, фетоплацентарные белки способны непосредственно регулировать генерацию MDSC, что в условиях беременности способствует формированию иммунной толерантности.
Финансирование работы
Работа выполнена при поддержке гранта Российского фонда фундаментальных исследований в рамках научного проекта № 19-29-04055 “Изучение роли гликоделина (PP14, PAEP) в регуляции ключевых факторов иммунной толерантности в контексте его потенциального применения в трансплантологии” и темы НИОКТР 124020500027-7 (Институт экологии и генетики микроорганизмов УрО РАН).
Соблюдение этических стандартов
Все исследования проводили в соответствии с принципами биомедицинской этики, изложенными в Хельсинкской декларации 1964 г. и последующих поправках к ней. Изыскания также были одобрены комитетом по этике Института экологии и генетики микроорганизмов Уральского отделения РАН, Пермь, Россия (IRB00010009) от 15 февраля 2022 г., протокол № 15. Каждый участник исследования дал добровольное письменное информированное согласие после получения разъяснений о потенциальных рисках и преимуществах, а также о характере предстоящего исследования.
Конфликт интересов
Авторы данной работы заявляют, что у них нет конфликта интересов.
About the authors
K. Yu. Shardina
Institute of Ecology and Genetics of Microorganisms, Ural Division of the Russian Academy of Sciences — Branch of Perm State Research Center, Ural Division of the Russian Academy of Sciences
Author for correspondence.
Email: Shardinak@gmail.com
Russian Federation, Perm
S. A. Zamorina
Institute of Ecology and Genetics of Microorganisms, Ural Division of the Russian Academy of Sciences — Branch of Perm State Research Center, Ural Division of the Russian Academy of Sciences; Perm State National Research University
Email: Shardinak@gmail.com
Биологический факультет
Russian Federation, Perm; PermM. S. Bochkova
Institute of Ecology and Genetics of Microorganisms, Ural Division of the Russian Academy of Sciences — Branch of Perm State Research Center, Ural Division of the Russian Academy of Sciences; Perm State National Research University
Email: Shardinak@gmail.com
Биологический факультет
Russian Federation, Perm; PermV. P. Timganova
Institute of Ecology and Genetics of Microorganisms, Ural Division of the Russian Academy of Sciences — Branch of Perm State Research Center, Ural Division of the Russian Academy of Sciences
Email: Shardinak@gmail.com
Russian Federation, Perm
S. V. Uzhviyuk
Institute of Ecology and Genetics of Microorganisms, Ural Division of the Russian Academy of Sciences — Branch of Perm State Research Center, Ural Division of the Russian Academy of Sciences
Email: Shardinak@gmail.com
Russian Federation, Perm
M. B. Raev
Institute of Ecology and Genetics of Microorganisms, Ural Division of the Russian Academy of Sciences — Branch of Perm State Research Center, Ural Division of the Russian Academy of Sciences; Perm State National Research University
Email: Shardinak@gmail.com
Биологический факультет
Russian Federation, Perm; PermReferences
- Заморина С.А., Тимганова В.П., Бочкова М.С., Шардина К.Ю., Ужвиюк С.В., Храмцов П.В., Кропанева М.Д., Раев М.Б. 2021. Роль гликоделина в регуляции дифференцировки миелоидных супрессорных клеток. Мед. иммунология. Т. 21. № 4. С. 603 (Zamorina S.A., Timganova V.P., Bochkova M.S., Shardina K.Yu., Uzhviuk S.V., Khramtsov P.V., Kropaneva M.D., Raev M.B. 2021. The role of glycodelin in the regulation of differentiation of myeloid-derived suppressor cells. Meditsinskaya Immunologiya. V. 23. P. 641). https://doi.org/10.15789/1563-0625-ROG-2209
- Тимганова В.П., Шардина К.Ю., Бочкова М.С., Ужвиюк С.В., Усанина Д.И., Заморина С.А. 2023. Влияние трофобластического β1-гликопротеина на дифференцировку миелоидных супрессорных клеток. Мед. иммунология. T. 25. № 3. С. 513. (Timganova V.P., Shardina K.Yu., Bochkova M.S., Uzhviuk S.V., Usanina D.I., Zamorina S.A. 2023. Effect of pregnancy-specific β1-glycoprotein on myeloid-derived suppressor cell differentiation. V. 25. P. 513). https://doi.org/10.15789/1563-0625-EOP-2838
- Fallarino F., Grohmann U., Vacca C., Bianchi R., Orabona C., Spreca A., Fioretti M.C., Puccetti P. 2002. T cell apoptosis by tryptophan catabolism. Cell. Death. Differ. V. 9. P. 1069. https://doi.org/10.1038/sj.cdd.4401073
- Gantt S., Gervassi A., Jaspan H., Horton H. 2014. The role of myeloid-derived suppressor cells in immune ontogeny. Front. Immunol. V. 5. P. 1. https://doi.org/ 10.3389/fimmu.2014.00387
- Halttunen M., Kämäräinen M., Koistinen H. 2000. Glycodelin: a reproduction-related lipocalin. Biochim. Biophys. Acta. Protein Struct. Mol. Enzymol. V. 1482. P. 149. https://doi.org/10.1016/S0167-4838(00)00158-8
- Köstlin-Gille N., Gille C. 2020. Myeloid-derived suppressor cells in pregnancy and the neonatal period. Front. Immunol. V. 11. 10.3389/fimmu.2020.584712' target='_blank'>https://doi: 10.3389/fimmu.2020.584712
- Lam K. K., Chiu P. C., Lee C., Pang R.T., Leung C.O., Koistinen H., Seppala M., Ho P.C., Yeung W.S. 2011. Glycodelin-A protein interacts with siglec-6 protein to suppress trophoblast invasiveness by down-regulating extracellular signal-regulated kinase (ERK)/c-Jun Signaling Pathway. J. Biol. Chem. V. 286. P. 37118. 10.1074/jbc.M111.233841' target='_blank'>https://doi: 10.1074/jbc.M111.233841
- Li K., Shi H., Zhang B., Ou X., Ma Q., Chen Y., Shu P., Li D., Wang Y. 2021a. Myeloid-derived suppressor cells as immunosuppressive regulators and therapeutic targets in cancer. Sig. Transduct. Target. Ther. V. 6. P. 362. https://doi.org/10.1038/s41392-021-00670-9
- Li W.X., Xu X.H., Jin L.P. 2021b. Regulation of the innate immune cells during pregnancy: an immune checkpoint perspective. J. Cell. Mol. Med. V. 25. P. 10362. 10.1111/jcmm.17022' target='_blank'>https://doi: 10.1111/jcmm.17022
- Lim H.X., Kim T.S., Poh C.L. 2020. Understanding the differentiation. expansion. recruitment and suppressive activities of myeloid-derived suppressor cells in cancers. Int. J. Mol. Sci. V. 21. P. 3599. https://doi.org/10.3390/ijms21103599
- Ostrand-Rosenberg S., Sinha P., Figley C., Long R., Park D., Carter D., Clements V.K. 2017. Frontline Science: Myeloid-derived suppressor cells (MDSCs) facilitate maternal-fetal tolerance in mice. J. Leukoc. Biol. V. 101. P. 1091. https://doi.org/10.1189/jlb.1HI1016-306RR
- Rieber N., Gille C., Köstlin N., Schäfer I., Spring B., Ost M., Spieles H., Kugel H.A., Pfeiffer M., Heininger V., Alkhaled M., Hector A., Mays L., Kormann M., Zundel S., Fuchs J., Handgretinger R., Poets C.F., Hartl D. 2013. Neutrophilic myeloid-derived suppressor cells in cord blood modulate innate and adaptive immune responses. Clin. Exp. Immunol. V. 174. P. 45. https://doi.org/10.1111/cei.12143
- Saito S., Nakashima A., Shima T., Ito M. 2010. Th1/Th2/Th17 and regulatory T-cell paradigm in pregnancy. Am. J. Reprod. Immunol. V. 63. P. 601. https://doi.org/10.1111/j.1600-0897.2010.00852.x
- Santegoets K.C.M., Gielen P.R., Büll C., Schulte B.M., Kers-Rebel E.D., Küsters B., Bossman S.A.J.F.H., Ter Laan M., Wesseling P., Adema G.J. 2019. Expression profiling of immune inhibitory Siglecs and their ligands in patients with glioma. Cancer. Immunol. Immunother. V. 68. P. 937. https://doi.org/10.1007/s00262-019-02332-w
- Savasan Z.A., Chaiworapongsa T., Romero R., Hussein Y., Kusanovic J.P., Xu Y., Dong Z., Kim C.J., Hassan S.S. 2012. Interleukin-19 in fetal systemic inflammation. J. Matern. Fetal. Neonatal. Med. V. 25. P. 995. https://doi.org/10.3109/14767058.2011.605917
- Shardina K., Timganova V., Bochkova M., Uzhviyuk S. 2023. Generation of human myeloid-derived suppressor cells from CD11b+ cells in vitro. In: Isaeva E., Rocha Á. (eds) Science and Global Challenges of the 21st Century – Innovations and Technologies in Interdisciplinary Applications. Perm Forum 2022. Lect. Not. in Netw. and Syst. 622. Springer. Cham. https://doi.org/10.1007/978-3-031-28086-3_49
- Timganova V.P., Shardina K.Yu., Bochkova M.S., Uzhviyuk S.V., Usanina D.I, Zamorina S.A. 2023. Effect of pregnancy-specific β1-glycoprotein on myeloid-derived suppressor cell differentiation. Med. Immun. (Russia). V. 25. P. 513. https://doi.org/10.15789/1563-0625-EOP-2838
- Uchida H., Maruyama T., Nishikawa-Uchida S., Miyazaki K., Masuda H., Yoshimura Y. 2013. Glycodelin in reproduction. Reprod. Med Biol. V. 12. P. 79–84. https://doi.org/10.1007/s12522-013-0144-2
- Vijayan M., Lee C-L., Chiu P.C.N., Lee K.F. 2018. Glycodelin-A polarized human macrophages exhibit characteristics and functions similar to decidual macrophages. Am. J. of Reprod. Immun. V. 80. P. 81. https://doi.org/10.1111/aji.55_12984
- Weng J., Couture C., Girard S. 2003. Innate and adaptive immune systems in physiological and patholog. pregn. biology. V. 12. P. 402. https://doi.org/10.3390/biology12030402
- Wiley S.R., Cassiano L., Lofton T., Davis-Smith T., Winkles J.A., Lindner V., Liu H., Daniel T.O., Smith C.A., Fanslow W.C. 2001. A novel TNF receptor family member binds TWEAK and is implicated in angiogenesis. Immunity. V. 15. P. 837. https://doi.org/10.1016/s1074-7613(01)00232-1
Supplementary files





