Regulatory Relationship between the Keap1/Nrf2/ARE Signaling System and Transcriptional Regulators of Lysosomal Biogenesis
- Authors: Chechushkov A.V.1, Menshchikova E.B.1
-
Affiliations:
- Federal Research Center for Fundamental and Translational Medicine
- Issue: Vol 65, No 4 (2023)
- Pages: 367-375
- Section: Articles
- URL: https://journals.rcsi.science/0041-3771/article/view/140076
- DOI: https://doi.org/10.31857/S0041377123040041
- EDN: https://elibrary.ru/ZFKNHA
- ID: 140076
Cite item
Full Text
Abstract
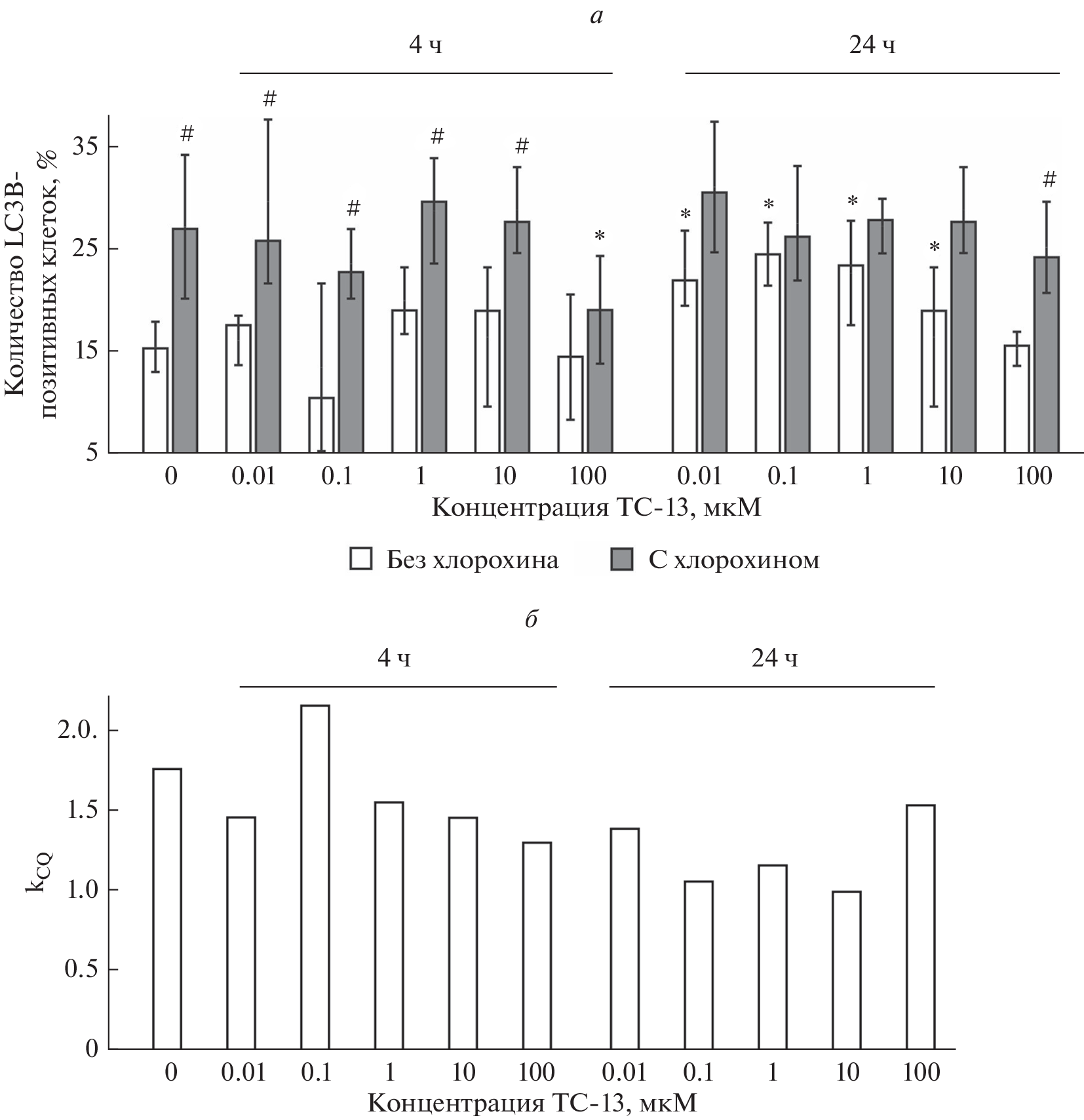
Despite the key role of the Keap1/Nrf2/ARE redox-sensitive signaling system in cellular metabolism, little is known about its relationship to lysosome biogenesis. In this paper, a theoretical and experimental analysis of the possibility of such a link has been carried out. By forming a position frequency matrix in the transcription factor genes TFEB and TFE3, the presence of a large number of ARE-like sequences was found in the non-coding regions. In vitro exposure to J774 cells by Keap1/Nrf2/ARE activators (original synthetic monophenol TS-13 and tert-butylhydroquinone as comparison compound) results in dose-dependent induction of Tfe3 and Tfeb genes, accompanied by a gradual increase in the lysosome number and autosomal-lysosomal fusion intensity. Thus, it can be assumed that the proteins controlling the ARE-dependent genes are able to influence lysosome biogenesis.
About the authors
A. V. Chechushkov
Federal Research Center for Fundamental and Translational Medicine
Email: lemen7383@mail.ru
Russia, 630117, Novosibirsk
E. B. Menshchikova
Federal Research Center for Fundamental and Translational Medicine
Author for correspondence.
Email: lemen7383@mail.ru
Russia, 630117, Novosibirsk
References
- Мартинович Г.Г., Мартинович И.В., Зенков Н.К., Меньщикова Е.Б., Кандалинцева Н.В., Черенкевич С.Н. 2015. Индуктор экспрессии ARE-регулируемых генов фенольный антиоксидант ТС-13 вызывает гибель опухолевых клеток через митохондриально-опосредованный путь. Биофизика. Т. 60. С. 120. (Martinovich G.G., Martinovich I.V., Zenkov N.K., Menshchikova E.B., Kandalintseva N.V., Cherenkevich S.N. 2015. Phenolic antioxidant TS-13 regulating ARE-driven genes induces tumor cell death by a mitochondria-dependent pathway. Biophysics. V. 60. P. 94.) https://doi.org/10.1134/S0006350915010194
- Меньщикова Е.Б., Зенков Н.К., Кожин П.М., Чечушков А.В., Павлов В.С., Ромах Л.П., Храпова М.В., Серых А.Е., Кандалинцева Н.В. 2020. Влияние новых водорастворимых фенольных антиоксидантов на активность Nrf2-подконтрольных ферментов, систему глутатиона и транслокацию Nrf2 в ядро. Сибирский научный медицинский журнал. Т. 40. № 6. С. 58. (Menshchikova E.B., Zenkov N.K., Kozhin P.M., Chechushkov A.V., Pavlov V.S., Romakh L.P., Khrapova M.V., Serykh A.E., Gritsyk O.B., Kandalintseva N.V. 2020. Effect of new water-soluble phenolic antioxidants on the activity of Nrf2-driven enzymes, glutathione system, and Nrf2 translocation into the nucleus. Sibirskij nauchnyj meditsinskij zhurnal. V. 40. № 6. P. 58.) https://doi.org/10.15372/SSMJ20200606
- Зенков Н.К., Кожин П.М., Чечушков А.В., Мартинович Г.Г., Кандалинцева Н.В., Меньщикова Е.Б. 2017. Лабиринты регуляции Nrf2. Биохимия. Т. 82. С. 757. (Zenkov N.K., Kozhin P.M., Chechushkov A.V., Martinovich G.G., Kandalintseva N.V., Menshchikova E.B. 2017. Mazes of Nrf2 regulation. Biochemistry (Moscow). V. 82. P. 556.)https://doi.org/10.1134/s0006297917050030
- Олейник А.С., Куприна Т.С., Певнева Н.Ю., Марков А.Ф., Кандалинцева Н.В., Просенко А.Е., Григорьев И.А. 2007. Синтез и антиоксидантные свойства S-[3-(гидроксиарил)пропил]тиосульфатов и [3-(гидроксиарил)пропан]-1-сульфонатов натрия. Изв. АН. Серия химическая. № 6. С. 1094. (Oleynik A.S., Kuprina T.S., Pevneva N.Yu., Markov A.F., Kandalintseva N.V., Prosenko A.E., Grigorev I.A. 2007. Synthesis and antioxidant properties of sodium S-[3-(hydroxyaryl)propyl] thiosulfates and [3-(hydroxyaryl)propane]-1-sulfonates. Russian Chemical Bulletin. V. 56. P. 1135.)
- Baixauli F., Acin-Perez R., Villarroya-Beltri C., Mazzeo C., Nunez-Andrade N., Gabande-Rodriguez E., Ledesma M.D., Blazquez A., Martin M.A., Falcon-Perez J.M., Redondo J.M., Enriquez J.A., Mittelbrunn M. 2015. Mitochondrial respiration controls lysosomal function during inflammatory T cell responses. Cell Metab. V. 22. P. 485. https://doi.org/10.1016/j.cmet.2015.07.020
- Egbujor M.C., Petrosino M., Zuhra K., Saso L. 2022. The role of organosulfur compounds as Nrf2 activators and their antioxidant effects. Antioxidants (Basel). V. 11. P. 1255. https://doi.org/10.3390/antiox11071255
- Klionsky D.J., Abdel-Aziz A.K., Abdelfatah S., Abdellatif M., Abdoli A., Abel S., Abeliovich H., Abildgaard M.H., Abudu Y.P., Acevedo-Arozena A., Adamopoulos I.E., Adeli K., Adolph T.E., Adornetto A., Aflaki E. et al. 2021. Guidelines for the use and interpretation of assays for monitoring autophagy (4th edition). Autophagy. V. 17. P. 1. https://doi.org/10.1080/15548627.2020.1797280
- Li S., Li J., Shen C., Zhang X., Sun S., Cho M., Sun C., Song Z. 2014. Tert-Butylhydroquinone (tBHQ) protects hepatocytes against lipotoxicity via inducing autophagy independently of Nrf2 activation. Biochim. Biophys. Acta. V. 1841. P. 22. https://doi.org/10.1016/j.bbalip.2013.09.004
- Mahapatra K.K., Mishra S.R., Behera B.P., Patil S., Gewirtz D.A., Bhutia S.K. 2021. The lysosome as an imperative regulator of autophagy and cell death. Cell. Mol. Life Sci. V. 78. P. 7435. https://doi.org/10.1007/s00018-021-03988-3
- Maniganda S., Sankar V., Nair J.B., Raghu K.G., Maiti K.K. 2014. A lysosome-targeted drug delivery system based on sorbitol backbone towards efficient cancer therapy. Org. Biomol. Chem. V. 12. P. 6564–9. https://doi.org/10.1039/c4ob01153h
- Maurya S.S. 2021. Role of enhancers in development and diseases. Epigenomes. V. 5. P. 21. https://doi.org/10.3390/epigenomes5040021
- Ngo V., Duennwald M.L. 2022. Nrf2 and oxidative stress: a general overview of mechanisms and implications in human disease. Antioxidants (Basel). V. 11. P. 2345. https://doi.org/10.3390/antiox11122345
- Pearson R.G. 2016. Reasons to conserve Nature. Trends Ecol. Evol. V. 31. P. 366. https://doi.org/10.1016/j.tree.2016.02.005
- Qiu S., Liang Z., Wu Q., Wang M., Yang M., Chen C., Zheng H., Zhu Z., Li L., Yang G. 2022. Hepatic lipid accumulation induced by a high-fat diet is regulated by Nrf2 through multiple pathways. FASEB J. V. 36. P. e22280. https://doi.org/10.1096/fj.202101456R
- Redza-Dutordoir M., Averill-Bates D.A. 2021. Interactions between reactive oxygen species and autophagy: Special issue: Death mechanisms in cellular homeostasis. Biochim. Biophys. Acta Mol. Cell. Res. V. 1868. P. 119041. https://doi.org/10.1016/j.bbamcr.2021.119041
- Roopra A. 2020. MAGIC: A tool for predicting transcription factors and cofactors driving gene sets using ENCODE data. PLoS Comput. Biol. V. 16. P. e1007800. https://doi.org/10.1371/journal.pcbi.1007800
- Santana-Garcia W., Castro-Mondragon J.A., Padilla-Galvez M., Nguyen N.T.T., Elizondo-Salas A., Ksouri N., Gerbes F., Thieffry D., Vincens P., Contreras-Moreira B., Van Helden J., Thomas-Chollier M., Medina-Rivera A. 2022. RSAT 2022: regulatory sequence analysis tools. Nucleic Acids Res. V. 50. https://doi.org/10.1093/nar/gkac312
- Sardiello M., Palmieri M., Di Ronza A., Medina D.L., Valenza M., Gennarino V.A., Di Malta C., Donaudy F., Embrione V., Polishchuk R.S., Banfi S., Parenti G., Cattaneo E., Ballabio A. 2009. A gene network regulating lysosomal biogenesis and function. Science. V. 325. P. 473. https://doi.org/10.1126/science.1174447
- Sharifi-Zarchi A., Gerovska D., Adachi K., Totonchi M., Pezeshk H., Taft R.J., Scholer H.R., Chitsaz H., Sadeghi M., Baharvand H., Arauzo-Bravo M.J. 2017. DNA methylation regulates discrimination of enhancers from promoters through a H3K4me1-H3K4me3 seesaw mechanism. BMC Genomics. V. 18. P. 964. https://doi.org/10.1186/s12864-017-4353-7
- Simov V., Altman M.D., Bianchi E., Delrizzo S., Dinunzio E.N., Feng G., Goldenblatt P., Ingenito R., Johnson S.A., Mansueto M.S., Mayhood T., Mortison J.D., Serebrov V., Sondey C., Sriraman V. et al. 2021. Discovery and characterization of novel peptide inhibitors of the NRF2/MAFG/DNA ternary complex for the treatment of cancer. Eur. J. Med. Chem. V. 224. P. 113686. https://doi.org/10.1016/j.ejmech.2021.113686
- Wang X., Tomso D.J., Chorley B.N., Cho H.Y., Cheung V.G., Kleeberger S.R., Bell D.A. 2007. Identification of polymorphic antioxidant response elements in the human genome. Hum. Mol. Genet. V. 16. P. 1188. https://doi.org/10.1093/hmg/ddm066
- Zhang W., Feng C., Jiang H. 2021. Novel target for treating Alzheimer’s diseases: crosstalk between the Nrf2 pathway and autophagy. Ageing Res. Rev. V. 65. P. 101207. https://doi.org/10.1016/j.arr.2020.101207
- Zhu L., He S., Huang L., Ren D., Nie T., Tao K., Xia L., Lu F., Mao Z., Yang Q. 2022. Chaperone-mediated autophagy degrades Keap1 and promotes Nrf2-mediated antioxidative response. Aging Cell. V. 21. P. e13616. https://doi.org/10.1111/acel.13616
Supplementary files







